PET-Uptake in Liver Metastases as Method to Predict Tumor Biological Behavior in Patients Transplanted for Colorectal Liver Metastases Developing Lung Recurrence
Abstract
Simple Summary
Abstract
1. Introduction
2. Materials and Methods
Statistical Analyses
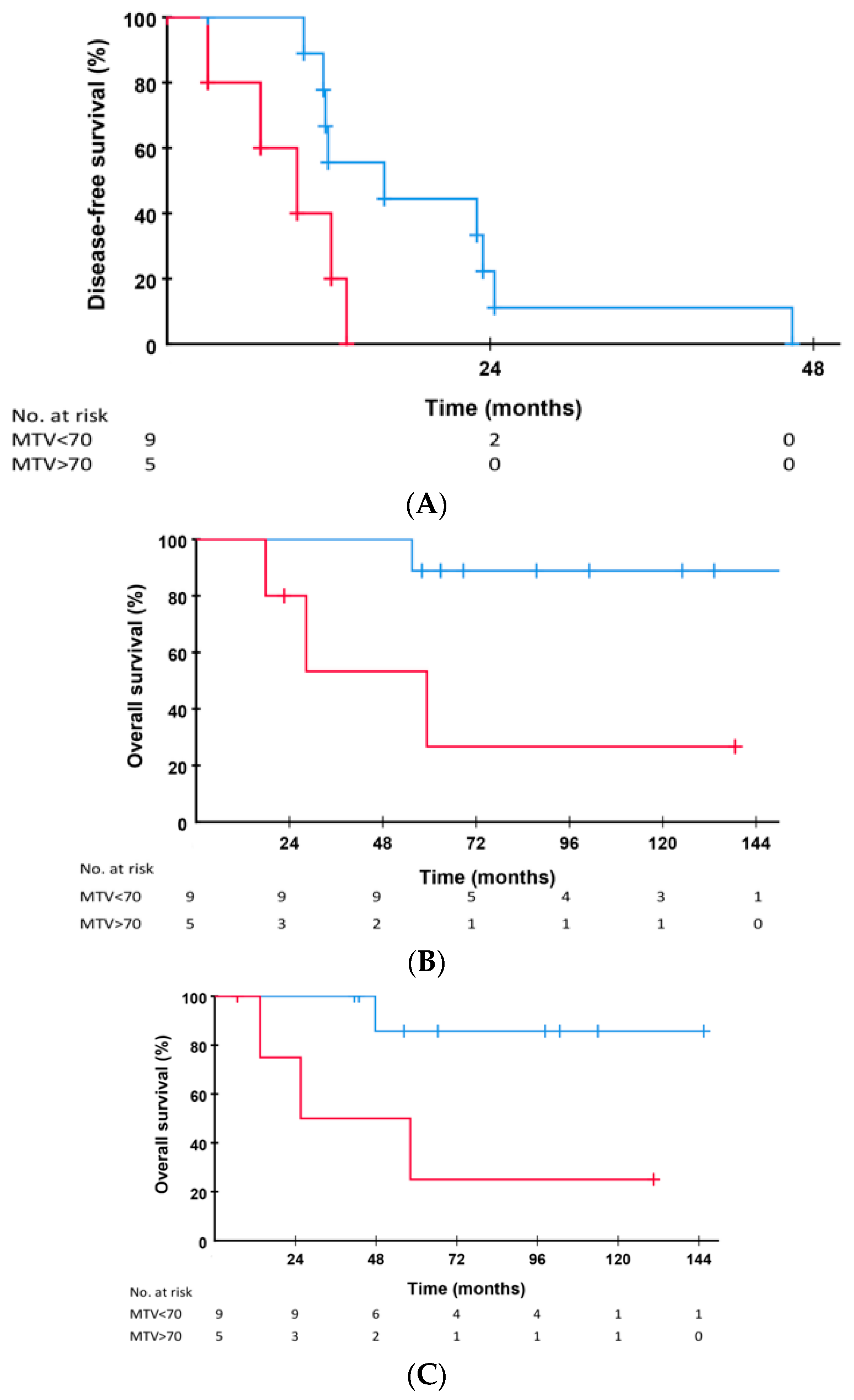
3. Results
3.1. PET-Metabolic Tumor Volume in Liver
3.2. Fong Clinical Risk Score (FCRS, Oslo Score and GAME Score)
3.3. Other Factors
4. Discussion
5. Conclusions
Author Contributions
Funding
Institutional Review Board Statement
Informed Consent Statement
Data Availability Statement
Conflicts of Interest
References
- Ferlay, J.; Soerjomataram, I.; Dikshit, R.; Eser, S.; Mathers, C.; Rebelo, M.; Parkin, D.M.; Forman, D.; Bray, F. Cancer incidence and mortality worldwide: Sources, methods and major patterns in GLOBOCAN 2012. Int. J. Cancer 2015, 136, E359–E386. [Google Scholar] [CrossRef]
- Quan, D.; Gallinger, S.; Nhan, C.; Auer, R.A.; Biagi, J.J.; Fletcher, G.G.; Law, C.H.; Moulton, C.A.; Ruo, L.; Wei, A.C.; et al. The role of liver resection for colorectal cancer metastases in an era of multimodality treatment: A systematic review. Surgery 2012, 151, 860–870. [Google Scholar] [CrossRef]
- Parnaby, C.N.; Bailey, W.; Balasingam, A.; Beckert, L.; Eglinton, T.; Fife, J.; Frizelle, F.A.; Jeffery, M.; Watson, A.J. Pulmonary staging in colorectal cancer: A review. Color. Dis. 2012, 14, 660–670. [Google Scholar] [CrossRef]
- Abbas, S.; Lam, V.; Hollands, M. Ten-year survival after liver resection for colorectal metastases: Systematic review and meta-analysis. ISRN Oncol. 2011, 2011, 763245. [Google Scholar] [CrossRef][Green Version]
- Adam, R.; de Haas, R.J.; Wicherts, D.A.; Aloia, T.A.; Delvart, V.; Azoulay, D.; Bismuth, H.; Castaing, D. Is hepatic resection justified after chemotherapy in patients with colorectal liver metastases and lymph node involvement? J. Clin. Oncol. 2008, 26, 3672–3680. [Google Scholar] [CrossRef]
- Kopetz, S.; Chang, G.J.; Overman, M.J.; Eng, C.; Sargent, D.J.; Larson, D.W.; Grothey, A.; Vauthey, J.N.; Nagorney, D.M.; McWilliams, R.R. Improved survival in metastatic colorectal cancer is associated with adoption of hepatic resection and improved chemotherapy. J. Clin. Oncol. 2009, 27, 3677–3683. [Google Scholar] [CrossRef]
- Internullo, E.; Cassivi, S.D.; Van Raemdonck, D.; Friedel, G.; Treasure, T. Pulmonary metastasectomy: A survey of current practice amongst members of the European Society of Thoracic Surgeons. J. Thorac. Oncol. 2008, 3, 1257–1266. [Google Scholar] [CrossRef]
- Jegatheeswaran, S.; Satyadas, T.; Sheen, A.J.; Treasure, T.; Siriwardena, A.K. Thoracic surgical management of colorectal lung metastases: A questionnaire survey of members of the Society for Cardiothoracic Surgery in Great Britain and Ireland. Ann. R. Coll. Surg. Engl 2013, 95, 140–143. [Google Scholar] [CrossRef]
- Pfannschmidt, J.; Dienemann, H.; Hoffmann, H. Surgical resection of pulmonary metastases from colorectal cancer: A systematic review of published series. Ann. Thorac. Surg. 2007, 84, 324–338. [Google Scholar] [CrossRef]
- Treasure, T.; Farewell, V.; Macbeth, F.; Monson, K.; Williams, N.R.; Brew-Graves, C.; Lees, B.; Grigg, O.; Fallowfield, L.; Treasure, T.; et al. Pulmonary Metastasectomy versus Continued Active Monitoring in Colorectal Cancer (PulMiCC): A multicentre randomised clinical trial. Trials 2019, 20, 718. [Google Scholar] [CrossRef]
- Cremolini, C.; Loupakis, F.; Antoniotti, C.; Lupi, C.; Sensi, E.; Lonardi, S.; Mezi, S.; Tomasello, G.; Ronzoni, M.; Zaniboni, A.; et al. FOLFOXIRI plus bevacizumab versus FOLFIRI plus bevacizumab as first-line treatment of patients with metastatic colorectal cancer: Updated overall survival and molecular subgroup analyses of the open-label, phase 3 TRIBE study. Lancet Oncol. 2015, 16, 1306–1315. [Google Scholar] [CrossRef]
- Douillard, J.Y.; Siena, S.; Cassidy, J.; Tabernero, J.; Burkes, R.; Barugel, M.; Humblet, Y.; Bodoky, G.; Cunningham, D.; Jassem, J.; et al. Randomized, phase III trial of panitumumab with infusional fluorouracil, leucovorin, and oxaliplatin (FOLFOX4) versus FOLFOX4 alone as first-line treatment in patients with previously untreated metastatic colorectal cancer: The PRIME study. J. Clin. Oncol. 2010, 28, 4697–4705. [Google Scholar] [CrossRef]
- Van Cutsem, E.; Kohne, C.H.; Lang, I.; Folprecht, G.; Nowacki, M.P.; Cascinu, S.; Shchepotin, I.; Maurel, J.; Cunningham, D.; Tejpar, S.; et al. Cetuximab plus irinotecan, fluorouracil, and leucovorin as first-line treatment for metastatic colorectal cancer: Updated analysis of overall survival according to tumor KRAS and BRAF mutation status. J. Clin. Oncol. 2011, 29, 2011–2019. [Google Scholar] [CrossRef]
- Holch, J.W.; Ricard, I.; Stintzing, S.; Modest, D.P.; Heinemann, V. The relevance of primary tumour location in patients with metastatic colorectal cancer: A meta-analysis of first-line clinical trials. Eur. J. Cancer 2017, 70, 87–98. [Google Scholar] [CrossRef]
- Snyder, M.; Bottiglieri, S.; Almhanna, K. Impact of Primary Tumor Location on First-line Bevacizumab or Cetuximab in Metastatic Colorectal Cancer. Rev. Recent Clin. Trials 2018, 13, 139–149. [Google Scholar] [CrossRef]
- Giantonio, B.J.; Catalano, P.J.; Meropol, N.J.; O’Dwyer, P.J.; Mitchell, E.P.; Alberts, S.R.; Schwartz, M.A.; Benson, A.B., III. Bevacizumab in combination with oxaliplatin, fluorouracil, and leucovorin (FOLFOX4) for previously treated metastatic colorectal cancer: Results from the Eastern Cooperative Oncology Group Study E3200. J. Clin. Oncol. 2007, 25, 1539–1544. [Google Scholar] [CrossRef]
- Grothey, A.; Van Cutsem, E.; Sobrero, A.; Siena, S.; Falcone, A.; Ychou, M.; Humblet, Y.; Bouche, O.; Mineur, L.; Barone, C.; et al. Regorafenib monotherapy for previously treated metastatic colorectal cancer (CORRECT): An international, multicentre, randomised, placebo-controlled, phase 3 trial. Lancet 2013, 381, 303–312. [Google Scholar] [CrossRef]
- Mayer, R.J.; Van Cutsem, E.; Falcone, A.; Yoshino, T.; Garcia-Carbonero, R.; Mizunuma, N.; Yamazaki, K.; Shimada, Y.; Tabernero, J.; Komatsu, Y.; et al. Randomized trial of TAS-102 for refractory metastatic colorectal cancer. N. Engl. J. Med. 2015, 372, 1909–1919. [Google Scholar] [CrossRef]
- Mazzaferro, V.; Regalia, E.; Doci, R.; Andreola, S.; Pulvirenti, A.; Bozzetti, F.; Montalto, F.; Ammatuna, M.; Morabito, A.; Gennari, L. Liver transplantation for the treatment of small hepatocellular carcinomas in patients with cirrhosis. N. Engl. J. Med. 1996, 334, 693–699. [Google Scholar] [CrossRef]
- Le Treut, Y.P.; Gregoire, E.; Klempnauer, J.; Belghiti, J.; Jouve, E.; Lerut, J.; Castaing, D.; Soubrane, O.; Boillot, O.; Mantion, G.; et al. Liver transplantation for neuroendocrine tumors in Europe-results and trends in patient selection: A 213-case European liver transplant registry study. Ann. Surg. 2013, 257, 807–815. [Google Scholar] [CrossRef]
- Rosen, C.B.; Darwish Murad, S.; Heimbach, J.K.; Nyberg, S.L.; Nagorney, D.M.; Gores, G.J. Neoadjuvant therapy and liver transplantation for hilar cholangiocarcinoma: Is pretreatment pathological confirmation of diagnosis necessary? J. Am. Coll. Surg. 2012, 215, 31–38, discussion 38–40. [Google Scholar] [CrossRef] [PubMed]
- Hagness, M.; Foss, A.; Line, P.D.; Scholz, T.; Jorgensen, P.F.; Fosby, B.; Boberg, K.M.; Mathisen, O.; Gladhaug, I.P.; Egge, T.S.; et al. Liver transplantation for nonresectable liver metastases from colorectal cancer. Ann. Surg. 2013, 257, 800–806. [Google Scholar] [CrossRef] [PubMed]
- Dueland, S.; Syversveen, T.; Solheim, J.M.; Solberg, S.; Grut, H.; Bjornbeth, B.A.; Hagness, M.; Line, P.D. Survival Following Liver Transplantation for Patients with Nonresectable Liver-only Colorectal Metastases. Ann. Surg. 2020, 271, 212–218. [Google Scholar] [CrossRef]
- Dueland, S.; Smedman, T.M.; Rosok, B.; Grut, H.; Syversveen, T.; Jorgensen, L.H.; Line, P.D. Treatment of relapse and survival outcomes after liver transplantation in patients with colorectal liver metastases. Transpl. Int. 2021, 34, 2205–2213. [Google Scholar] [CrossRef] [PubMed]
- Dueland, S.; Grut, H.; Syversveen, T.; Hagness, M.; Line, P.D. Selection criteria related to long-term survival following liver transplantation for colorectal liver metastasis. Am. J. Transpl. 2020, 20, 530–537. [Google Scholar] [CrossRef] [PubMed]
- Smedman, T.M.; Line, P.D.; Hagness, M.; Syversveen, T.; Grut, H.; Dueland, S. Liver transplantation for unresectable colorectal liver metastases in patients and donors with extended criteria (SECA-II arm D study). BJS Open 2020, 4, 467–477. [Google Scholar] [CrossRef] [PubMed]
- Dueland, S.; Yaqub, S.; Syversveen, T.; Carling, U.; Hagness, M.; Brudvik, K.W.; Line, P.D. Survival Outcomes After Portal Vein Embolization and Liver Resection Compared with Liver Transplant for Patients with Extensive Colorectal Cancer Liver Metastases. JAMA Surg. 2021, 156, 550–557. [Google Scholar] [CrossRef]
- Bonney, G.K.; Chew, C.A.; Lodge, P.; Hubbard, J.; Halazun, K.J.; Trunecka, P.; Muiesan, P.; Mirza, D.F.; Isaac, J.; Laing, R.W.; et al. Liver transplantation for non-resectable colorectal liver metastases: The International Hepato-Pancreato-Biliary Association consensus guidelines. Lancet Gastroenterol. Hepatol. 2021, 6, 933–946. [Google Scholar] [CrossRef]
- Varley, R.; Tarazi, M.; Dave, M.; Mobarak, S.; Stott, M.C.; Baltatzis, M.; Satyadas, T. Liver Transplantation for Non-Resectable Liver Metastases from Colorectal Cancer: A Systematic Review and Meta-Analysis. World J. Surg. 2021, 45, 3404–3413. [Google Scholar] [CrossRef]
- Dueland, S.; Foss, A.; Solheim, J.M.; Hagness, M.; Line, P.D. Survival following liver transplantation for liver-only colorectal metastases compared with hepatocellular carcinoma. Br. J. Surg. 2018, 105, 736–742. [Google Scholar] [CrossRef]
- Grut, H.; Dueland, S.; Line, P.D.; Revheim, M.E. The prognostic value of (18)F-FDG PET/CT prior to liver transplantation for nonresectable colorectal liver metastases. Eur. J. Nucl. Med. Mol. Imaging 2018, 45, 218–225. [Google Scholar] [CrossRef] [PubMed]
- Fong, Y.; Fortner, J.; Sun, R.L.; Brennan, M.F.; Blumgart, L.H. Clinical score for predicting recurrence after hepatic resection for metastatic colorectal cancer: Analysis of 1001 consecutive cases. Ann. Surg. 1999, 230, 309–318, discussion 318–321. [Google Scholar] [CrossRef] [PubMed]
- D’Angelica, M.; Kornprat, P.; Gonen, M.; DeMatteo, R.P.; Fong, Y.; Blumgart, L.H.; Jarnagin, W.R. Effect on Outcome of Recurrence Patterns After Hepatectomy for Colorectal Metastases. Ann. Surg. Oncol. 2011, 18, 1096–1103. [Google Scholar] [CrossRef]
- Adam, R.; Kitano, Y. Multidisciplinary approach of liver metastases from colorectal cancer. Ann. Gastroenterol. Surg. 2019, 3, 50–56. [Google Scholar] [CrossRef]
- Lanari, J.; Hagness, M.; Sartori, A.; Rosso, E.; Gringeri, E.; Dueland, S.; Cillo, U.; Line, P.D. Liver transplantation versus liver resection for colorectal liver metastasis: A survival benefit analysis in patients stratified according to tumor burden score. Transpl. Int. 2021, 34, 1722–1732. [Google Scholar] [CrossRef] [PubMed]
- Mazzaferro, V.; Sposito, C.; Zhou, J.; Pinna, A.D.; De Carlis, L.; Fan, J.; Cescon, M.; Di Sandro, S.; Yi-Feng, H.; Lauterio, A.; et al. Metroticket 2.0 Model for Analysis of Competing Risks of Death After Liver Transplantation for Hepatocellular Carcinoma. Gastroenterology 2018, 154, 128–139. [Google Scholar] [CrossRef] [PubMed]
- Mariathasan, A.B.; Boye, K.; Dueland, S.; Flatmark, K.; Larsen, S.G. Metastases in locally advanced rectal cancer undergoing curatively intended treatment. Eur. J. Surg. Oncol. 2021, 47, 2377–2383. [Google Scholar] [CrossRef] [PubMed]
- Grut, H.; Stern, N.M.; Dueland, S.; Labori, K.J.; Dormagen, J.B.; Schulz, A. Preoperative 18F-FDG PET/computed tomography predicts survival following resection for colorectal liver metastases. Nucl. Med. Commun. 2020, 41, 916–923. [Google Scholar] [CrossRef]
- Tandberg, D.J.; Tong, B.C.; Ackerson, B.G.; Kelsey, C.R. Surgery versus stereotactic body radiation therapy for stage I non-small cell lung cancer: A comprehensive review. Cancer 2018, 124, 667–678. [Google Scholar] [CrossRef]



| Lung Resection n = 14 | Other Treatments n = 11 | p-Values * | |
|---|---|---|---|
| Age, median (range) | 54. years (28.7–64.2 years) | 58.2 years (42.0.70.0 years) | 0.406 |
| Sex | 11 male/3 female | 5 male/6 female | 0.087 |
| ypT (0/1/2/3) | 1/0/3/10 | 0/1/2/6/2 | 0.297 |
| ypN (0/1/2) | 7/3/4 | 2/3/6 | 0.239 |
| Location of primary tumor | Ascending colon 2, left colon 3, sigmoid 2, rectal 7 | Ascending colon 5, left colon 1, sigmoid 4, rectal 1 | 0.066 |
| Prior lines of chemotherapy | 1. line 5, 2. line 7, 3. line 2 | 1. line 1, 2. line 9, 3. line 1 | |
| Progressive disease at LT | No = 9, Yes = 5 | No = 6, Yes = 5 | 0.622 |
| KRAS mutant | No = 9, Yes = 5 | No = 6, Yes = 5 | 0.622 |
| Number of liver metastases (median, range) | 7 lesions (5–40 lesions) | 20 lesions (1–40 lesions) | 0.126 |
| Size of largest liver metastases (median, range) | 37 mm (10–105 mm) | 45 mm (3–130 mm) | 0.247 |
| Plasma CEA values µg/L (median, range) | 5.0 (1–671) | 10.0 (1–4346) | 0.462 |
| PET-liver MTV value (median, range) | 32.5 cm3 (0–387 cm3) | 61.6 cm3 (0–397 cm3) | 0.453 |
| Fong Clinical Risk Score (median, range) | 3 (1–5) | 4 (2–5) | 0.288 |
| Oslo Score (median, range) | 1 (0–4) | 2 (0–4) | 0.653 |
| Liver PET MTV < 70 cm3 | Liver PET MTV > 70 cm3 | p-Value | |
|---|---|---|---|
| Diameter at diagnosis (median, range) | 7 mm, 5–10 mm | 6 mm, 9–15 mm | p = 0.301 |
| Diameter at resection (median, range) | 13 mm, 7–14 mm | 13 mm, 9–15 mm | p = 0.580 |
| Doubling-time (median, range) | 196 days, 77–282 days | 104 days, 35–172 days | p = 0.266 |
| Size at histology (median, range) | 10 mm, 8–17 mm | 14 mm, 9–23 mm | p = 1.000 |
Publisher’s Note: MDPI stays neutral with regard to jurisdictional claims in published maps and institutional affiliations. |
© 2022 by the authors. Licensee MDPI, Basel, Switzerland. This article is an open access article distributed under the terms and conditions of the Creative Commons Attribution (CC BY) license (https://creativecommons.org/licenses/by/4.0/).
Share and Cite
Dueland, S.; Smedman, T.M.; Grut, H.; Syversveen, T.; Jørgensen, L.H.; Line, P.-D. PET-Uptake in Liver Metastases as Method to Predict Tumor Biological Behavior in Patients Transplanted for Colorectal Liver Metastases Developing Lung Recurrence. Cancers 2022, 14, 5042. https://doi.org/10.3390/cancers14205042
Dueland S, Smedman TM, Grut H, Syversveen T, Jørgensen LH, Line P-D. PET-Uptake in Liver Metastases as Method to Predict Tumor Biological Behavior in Patients Transplanted for Colorectal Liver Metastases Developing Lung Recurrence. Cancers. 2022; 14(20):5042. https://doi.org/10.3390/cancers14205042
Chicago/Turabian StyleDueland, Svein, Tor Magnus Smedman, Harald Grut, Trygve Syversveen, Lars Hilmar Jørgensen, and Pål-Dag Line. 2022. "PET-Uptake in Liver Metastases as Method to Predict Tumor Biological Behavior in Patients Transplanted for Colorectal Liver Metastases Developing Lung Recurrence" Cancers 14, no. 20: 5042. https://doi.org/10.3390/cancers14205042
APA StyleDueland, S., Smedman, T. M., Grut, H., Syversveen, T., Jørgensen, L. H., & Line, P.-D. (2022). PET-Uptake in Liver Metastases as Method to Predict Tumor Biological Behavior in Patients Transplanted for Colorectal Liver Metastases Developing Lung Recurrence. Cancers, 14(20), 5042. https://doi.org/10.3390/cancers14205042

