Simple Summary
Research interest in Immuno-oncology and the role of the adaptative immune system in the progression and prognosis of colon cancer (CC) is growing. In this study, we evaluated the prognostic value of the consensus Immunoscore in 423 patients with AJCC/UICC-TNM stages I–III CC from Asian care centers. Immunoscore (IS) is a bench-to-digital pathology assay that quantifies CD3+ and cytotoxic CD8+ T-lymphocyte densities within the tumor and its invasive margin, stratifying patients into three categories: Low IS, Intermediate IS, and High IS. Multivariable Cox models stratified by center were used to assess the associations between Immunoscore and outcomes, adjusting for potential confounders, including gender, T-stage, N-stage, sidedness, and MSI. A comparison of the performance of risk prediction models was performed using the likelihood ratio test p-value. In uni/multivariable analyses, a High Immunoscore was significantly associated with prolonged survival of CC patients within the Asian population.
Abstract
BACKGROUND: In this study, we evaluated the prognostic value of Immunoscore in patients with stage I–III colon cancer (CC) in the Asian population. These patients were originally included in an international study led by the Society for Immunotherapy of Cancer (SITC) on 2681 patients with AJCC/UICC-TNM stages I–III CC. METHODS: CD3+ and cytotoxic CD8+ T-lymphocyte densities were quantified in the tumor and invasive margin by digital pathology. The association of Immunoscore with prognosis was evaluated for time to recurrence (TTR), disease-free survival (DFS), and overall survival (OS). RESULTS: Immunoscore stratified Asian patients (n = 423) into different risk categories and was not impacted by age. Recurrence-free rates at 3 years were 78.5%, 85.2%, and 98.3% for a Low, Intermediate, and High Immunoscore, respectively (HR[Low-vs-High] = 7.26 (95% CI 1.75−30.19); p = 0.0064). A High Immunoscore showed a significant association with prolonged TTR, OS, and DFS (p < 0.05). In Cox multivariable analysis stratified by center, Immunoscore association with TTR was independent (HR[Low-vs-Int+High] = 2.22 (95% CI 1.10–4.55) p = 0.0269) of the patient’s gender, T-stage, N-stage, sidedness, and MSI status. A significant association of a High Immunoscore with prolonged TTR was also found among MSS (HR[Low-vs-Int+High] = 4.58 (95% CI 2.27−9.23); p ≤ 0.0001), stage II (HR[Low-vs-Int+High] = 2.72 (95% CI 1.35−5.51); p = 0.0052), low-risk stage-II (HR[Low-vs-Int+High] = 2.62 (95% CI 1.21−5.68); p = 0.0146), and high-risk stage II patients (HR[Low-vs-Int+High] = 3.11 (95% CI 1.39−6.91); p = 0.0055). CONCLUSION: A High Immunoscore is significantly associated with the prolonged survival of CC patients within the Asian population.
1. Introduction
The AJCC/UICC-TNM classification system based on the anatomopathological evaluation of tumors provides useful yet limited prognostic data [1]. Recent methods established to classify cancer that focus on tumor cells have demonstrated limitations in their clinical efficiency to reliably estimate outcomes [1,2]. Nevertheless, extensive studies have shed light on the adequate prognostic accuracy of the in situ immune cell infiltrate in tumors [1,3,4,5,6,7,8,9,10,11,12]. Our previous works on colorectal cancer (CRC) have shown important correlations between tumor recurrence, overall survival, and the strength of the in situ adaptive immune response [3,8,12,13,14] at the center of the tumor (CT) and its invasive margin (IM). A systematic review of 200 relevant publications depicting the role of immune cell subpopulations in the prognosis of cancer patients in 20 different cancer types showed that, in 97% of the studies, cytotoxic CD8+ T cells were associated with a good prognosis [15]. We have also reported that within specific regions of primary tumors, tumor recurrence and overall survival rates of patients with CC were mostly dependent on the presence of cytotoxic and memory T cells. In our earlier clinical study on human CRC, we showed that cytotoxic and memory T cells could predict the clinical outcome in early-stage (I/II) CRC patients. Furthermore, we revealed that the state of the local immune reaction was correlated with the histopathology-based prognostic factors of CRC. In combined tumor regions, the analysis of CD8+ cytotoxic T-lymphocyte density proved to be a better indicator of tumor recurrence than the TNM staging score [16,17,18]. This indicates that the patient’s intratumoral native adaptive immune reaction is of utmost importance for survival, strongly hinting that the immune parameters are more relevant than tumor progression and invasion classifications. This immune response was defined as the “Immunoscore” [15,19,20,21].
An international consortium of 14 care centers enrolled patients with TNM stage I–III CC and showed that Immunoscore was the first worldwide standardized consensus assay to quantify pre-existing immunity. According to these results, the consensus Immunoscore is recognized as a pertinent and powerful tool to predict the prognosis of patients [22]. The consensus Immunoscore provides a reliable assessment method for predicting the recurrence risk in CC, as confirmed by a meta-analysis of the prognostic value of Immunoscore on more than 10,000 patients [23].
Recent publications have demonstrated the prognostic value of Immunoscore in stage III CC patients and its predictive value for response to chemotherapy, thus reinforcing Immunoscore’s clinical relevance [24,25]. In the latest (5th) edition of the WHO Digestive System Tumours classification, the immune response evaluated with the consensus Immunoscore was defined as an “essential and desirable diagnostic criteria for colorectal cancer”. Immunoscore was also introduced into the 2020 ESMO Clinical Practice Guidelines for CC to improve the prognosis and thus adjust the chemotherapy decision-making process in stage II and even in low-risk stage III patients. However, the clinical performance of the consensus Immunoscore in the Asian population remained to be established.
2. Materials and Methods
2.1. Patients
An international consortium composed of 14 pathology expert centers from 13 countries was initiated to evaluate the standardized Immunoscore assay in primary tumors from 2681 patients with stage I/II/III CC. The selected patients are a subset of the SITC study cohort based on an Asian population of 423 patients (Centers from Japan, China, and India). The results of this particular cohort (Asia) have not been reported before and were not shown in Pages et al. [22]. Clinical data from Asia and the complete international consortium datasets are presented in Table S1. The outcomes of interest were time to recurrence (TTR), defined as time from surgery to disease recurrence; overall survival (OS), defined as time from surgery to death due to any cause; and disease-free survival (DFS), defined as time from surgery to disease recurrence or death from any cause. Ethical, legal, and social implications were approved by the ethical review board of each center.
2.2. Immunohistochemistry
At every care center, a tumor block containing the CT and IM was selected for each patient by the center’s pathologist. Two FFPE slides of 4 microns were generated per block and processed for immunohistochemistry according to a protocol recommended by the reference center and as previously described [22]. An example image of CD3 and CD8 staining is provided in Supplementary Figure S2. Digital slides were obtained with a 20× magnification and a resolution of 0.45 µm/pixel.
2.3. Image Analysis
The stained CD3 and CD8 cell densities were determined in CT and IM regions using in-house Immunoscore software (INSERM, Paris, France). The means and distributions of staining intensities and cell densities were monitored, with an internal quality control for each slide.
2.4. Immunoscore Determination
For each slide, the Immunoscore was assessed: CD3 and CD8 densities in CT and IM regions were converted into percentiles, as previously described [22]. The mean of the four percentiles obtained (two markers, two regions) was calculated and translated into the Immunoscore scoring system. The Immunoscore categories were previously defined independently of clinical data [22]. These pre-defined categories were used herein, with three Immunoscore categories being defined as follows: mean percentiles of 0–25%, >25–70%, and >70–100% were Low (Lo), Intermediate (Int), and High (Hi) Immunoscore, respectively. Additionally, analyses were performed with two Immunoscore categories (Low (0–25%) and Int+Hi (25–100%) groups) and five Immunoscore categories (I0 (0–10%), I1 (>10–25%), I2 (>25–70%), I3 (>70–95%), and I4 (>95–100%) groups).
2.5. Monitoring of the Study
The biomarker reference center (Immunomonitoring platform, Hôpital Européen Georges Pompidou AP-HP, INSERM, Paris, France) optimized immunostaining protocols, provided the Immunoscore software user’s manual, and validated data from each cohort analyzed within each of the 14 participating centers [22]. Exclusion criteria include: missing counts at either tumor region, poor/low staining intensity (≤152 AU), damaged FFPE slides during staining, and several (>3) failed attempts at antigen retrieval. After quality control exclusion, analyses were performed on 423 Asian patients and compared to the 2681 patients included in the international consortium.
2.6. Statistics
Statistical analyses of demographics and disease characteristics were descriptively compared across Asia and the rest of the world and compared by t-test, Fisher’s exact test, and Chi-square test when applicable. The bivariable association between Immunoscore and time-to-event outcomes was evaluated by the log-rank test and by a participating-center-stratified Cox proportional hazards model. Multivariable Cox models stratified by center were used to assess the associations between Immunoscore and outcomes, adjusting for potential confounders (survival, R package). Model performance was assessed by Harrell’s C-statistics. The centers were used as the stratification factors, and the variables adjusted in the multivariable models were Immunoscore, gender, T-stage, N-stage, sidedness, and MSI. A comparison of the performance of risk prediction models was performed using the likelihood ratio test p-value. The relative importance of each parameter to survival risk was assessed using the chi-squared proportion (χ2) (rms, R package). An alternative measure of the survival time distribution was used, the restricted mean survival time (RMST), for two-sample comparisons (survRM2, R package) [26].
3. Results
3.1. Immune Densities and Immunoscore in Relation to the Age of the Patients
Biomarker data from 423 colon cancer patients from the Asian population (Japan, China, and India) from the AJCC/UICC-TNM stage I–III part of the consensus Immunoscore international validation study [22] were investigated. Clinical characteristics of patients from the Asian population (n = 423) were compared to the 2681 patients from the SITC international study (Table S1). Balanced clinical characteristics were observed, with no statistical differences between cohorts in gender, T-stage, N-stage, or UICC/AJCC-TNM stages (Table S1). However, the Asian population had slightly fewer dMMR (MSI-H) patients (6.1% vs. 11.3%), and Asian patients were more frequently younger (47.3% vs. 38.2% below 65 years old) and more frequently received chemotherapy (62.7% vs. 28%) (Table S1). Overall, Asian patients were 54.6% male, with a mean age of 64.7 ± 12.1 years. The mean number of lymph nodes (LN) examined was 16.3 ± 9.9. Across all patients analyzed, 65 relapses (15.4% of patients) and 62 deaths (14.7% of patients) were observed. The median follow-up times (95% CI) were 73.6 (69.8–76.9), 75.0 (71.1–78.4), and 78.3 (75.0–81.6) months for TTR, DFS, and OS, respectively. The 5-year relapse or survival rates were 83.0% (79.3–86.9), 81.0% (77.2–85.0), and 87.9% (84.7–91.1) for TTR, DFS and OS, respectively (Table S2).
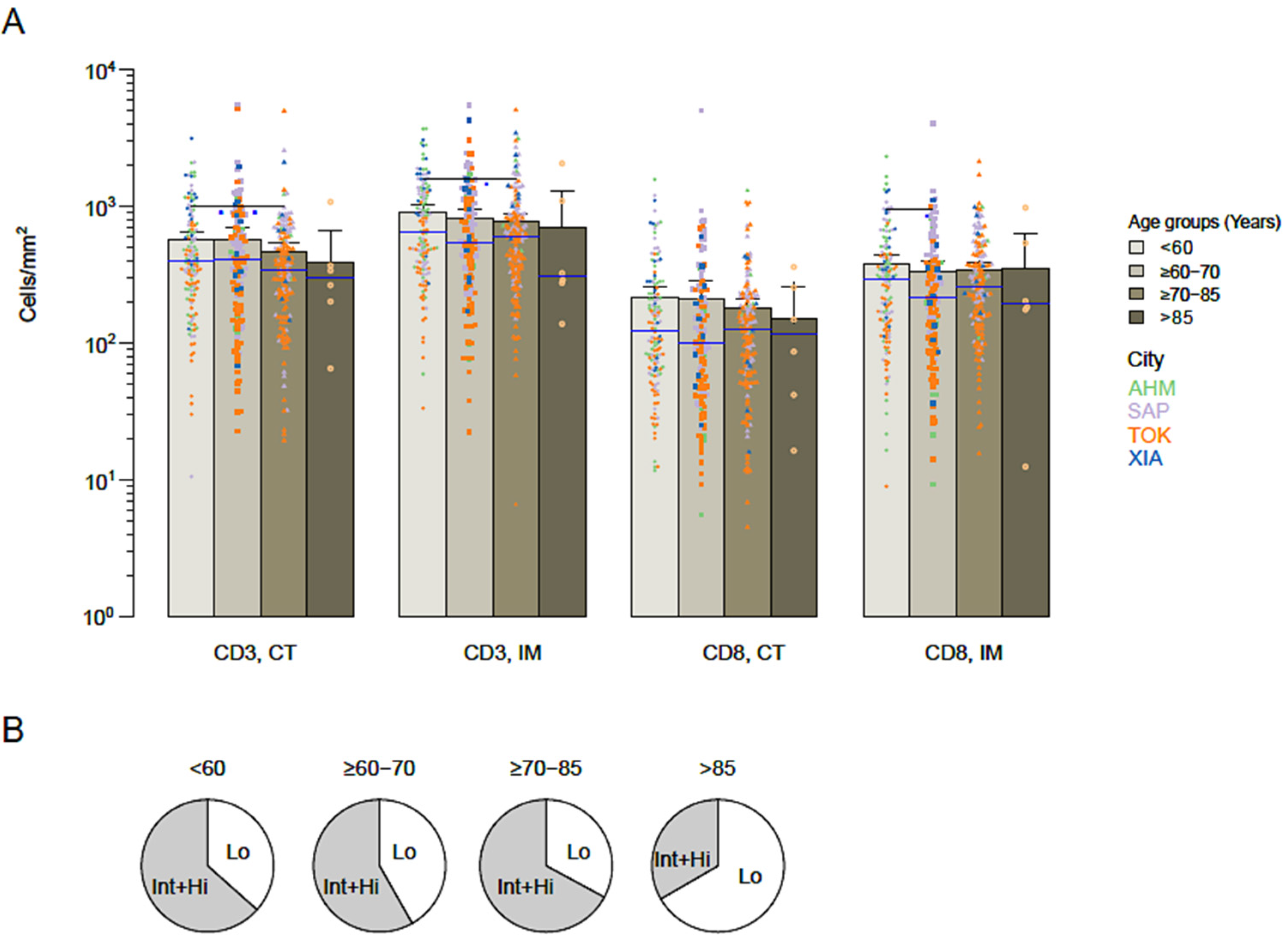
Pre-defined consensus Immunoscore cut-points [22] were applied to the Asian cohort to convert CD3 and CD8 immune densities into percentiles and Immunoscore categories. The intra-tumoral densities quantified in the core of the tumor and in the invasive margin were not influenced by the age of the patients (Figure 1A). Similarly, the proportions of High-, Intermediate- and Low-Immunoscore patients were independent of the age interval (Figure 1B). Thus, Immunoscore did not significantly differ between young and elderly Asian patients.
Figure 1.
The immune infiltrate and Immunoscore in patients based on age. (A) Patients were grouped according to their age: <60 years (orange), ≥60–70 (yellow), ≥70–85 (purple), and ≥85 (blue). Immune densities of CD3 and CD8 quantified in the tumor core (CT) and invasive margin (IM). Each dot represents the mean whole-slide quantification for one patient. (B) Distribution of Intermediate and High (Int+Hi) versus Low (Lo) Immunoscore in age-based patient groups. AHM (Ahmedabad, India); SAP (Sapporo, Japan); TOK (Tokyo, Japan); XIA (Xi’an, China).
3.2. Immunoscore and the Outcome of Asian Colon Cancer Patients
The prognostic value of two, three, and five categories of Immunoscore for TTR, DFS, and OS of 423 stage I–III CC patients was further evaluated in the Asian population using pre-defined cut-points (Figure 2 and Table 1).
Figure 2.
The outcomes of stage I–III colon cancer patients according to Immunoscore. (A–C) Kaplan–Meier curves of Immunoscore for stage I–III patients are shown for time to recurrence (TTR). (A) Two Immunoscore categories: Lo (0–25%, black) and Int+Hi (>25–100%, red). (B) Three Immunoscore categories: Lo (0–25%, black), Int (>25–70%, green), and Hi (>70–100%, red). (C) Five Immunoscore categories: I0 (0–10%, black), I1 (>10–25%, green), I2 (>25–70%, azure), I3 (>70–95%, orange), and I4 (>95–100%, red). Significant log-rank p-values are marked as *** p < 0.005, ** 0.005 ≥ p < 0.01, and * 0.01 ≥ p < 0.05.
Table 1.
Stage I–III bivariable analysis for clinical parameters for TTR.
The distribution of Immunoscore was 62.6% High+Int and 37.4% Low in two categories; 16.1% High, 46.6% Intermediate, and 37.4% Low in three categories; and 1.4%, 14.7%, 46.6%, 20.6%, and 16.8% in Immunoscore I4, I3, I2, I1, and I0, respectively. The two categories of Immunoscore enabled the identification of patients with distinct clinical outcomes for TTR (Figure 2A and Table 1). High-Immunoscore patients (63%) had a significantly longer survival for TTR (Hazard Ratio of HRLo/Int+Hi = 1.9 (1.17−3.1), p = 0.0097) and a higher 5-year recurrence-free rate (Hi: 86.9% (82.7–91.4%); Lo: 77% (70.5–84.1%)). The three categories of Immunoscore also enabled the identification of patients with distinct clinical outcomes for TTR (Figure 2B, Table 1). High-Immunoscore patients had a significantly longer survival for TTR (HRLo/Hi = 7.26 (1.75−30.19), p = 0.0064, and Trend p = 0.0025) and a higher 5-year recurrence-free rate (Hi: 96.3% (91.3–100%), Int: 84% (78.7–89.6%), and Lo: 77% (70.5–84.1%)). Even more striking differences were observed for the Immunoscore in five categories (Figure 2C and Table 1). High-Immunoscore patients had a significantly longer survival for TTR (HR(I0/I3) = 7.75 (1.8−33.4), p = 0.006, and Trend p = 0.0019) and a higher 5-year recurrence-free rate (I4: 100% (100–100%), I3: 96% (90.7–100%), I2: 84% (78.7–89.6%), I1: 80% (71.7–89.3%), and I0: 73.5% (63.6–84.8%)) (Table 1). Forest plots are illustrated in Figure S1. Similar results were found for OS and DFS (Table S2).
3.3. Immunoscore in Microsatellite-Stable (MSS) Tumors
The impact of Immunoscore was further investigated in relation to the MMR status of the patients. When stratified into two Immunoscore categories, MSS tumors were associated with an Int+Hi Immunoscore in 61.8% (152/246) of cases, while a Low Immunoscore was observed in 38.2% (94/246) of MSS tumors. For the Immunoscore in two categories, MSS patients with an Int+Hi Immunoscore had significantly longer TTR (Figure 3A and Table S3) (HRLo/Int+Hi = 4.58 (2.27−9.23), p < 0.0001) and a higher 5-year recurrence-free rate (Int+Hi: 92.8% (88.7–97%) and Lo: 71.2% (62.7–81%)).
Figure 3.
The outcomes of stage I–III microsatellite-stable (MSS) colon cancer according to Immunoscore. (A–C) Kaplan–Meier curves of Immunoscore for stage I–III MSS patients are shown for TTR. (A) Two Immunoscore categories: Lo (0–25%, black) and Int+Hi (>25–100%, red). (B) Three Immunoscore categories: Lo (0–25%, black), Int (>25–70 %, green), and Hi (>70–100 %, red). (C) Five Immunoscore categories: I0 (0–10%, black), I1 (>10–25%, green), I2 (>25–70%, azure), I3 (>70–95%, orange), and I4 (>95–100%, red). Significant log-rank p-values are marked as *** p < 0.005 and ** 0.005 ≥ p < 0.01.
The 5-year OS survival rates were: 98.0% for Int+Hi and 80.9% for Lo; HRLo/Int+Hi = 5.3 (2.25–12.49), p = 0.0001. Patients with highly infiltrated MSS tumors had a survival advantage in both TTR (5-year recurrence rate, Hi: 96.9%, Int: 91.7%, and Lo: 71.2%; HRLo+Hi = 10.93 (1.49–80.49), p = 0.0188) and OS (5-year survival rate, Hi: 96.9%, Int: 98.3%, and Lo: 80.9%; HRLo+Hi = 7.67 (1.03–57.09), p = 0.0466) compared to patients with weakly infiltrated tumors. Similar results were found for DFS (Table S3).
A similar profile was observed when three (Figure 3B) and five (Figure 3C) Immunoscore categories were applied. This analysis identified low-risk MSS patients (I4) with a significantly longer TTR compared to Immunoscore I0 MSS patients (Figure 3C). High-Immunoscore patients had a significantly longer survival for TTR (HR I0/I3 = 12.85 (1.68−98.28), p = 0.0139, and Trend p = 0.0005) and a higher 5-year recurrence-free rate (I4: 100% (100–100%), I3: 96.8% (90.8–100%), I2: 91.7% (86.9–96.7%), I1: 74.5% (63.9–87%), and I0: 66.6% (53.3–83.2%)). Similar results were found for OS and DFS (Table S3).
3.4. Immunoscore and Time-to-Event Analysis among Patients with Stage II Colon Cancer
Stage II patients from the Asian population (n = 251) were analyzed. Low-risk patients with an Int+Hi Immunoscore presented significantly better outcomes for TTR compared to Low-Immunoscore patients (Figure 4A). The 5-year recurrence rate for patients with a High Immunoscore was 91.1% (86.4–96.1%) and only 78.3% (70.4–86.9%) for those with a Low Immunoscore. High-Immunoscore patients had a significantly longer survival for TTR (HRLo/Int+Hi = 2.72 (1.35−5.51), p = 0.0052). The three categories of Immunoscore also enabled the identification of patients with distinct clinical outcomes for TTR (Figure 4B). High-Immunoscore patients had a significantly longer survival for TTR (HRLo/Hi = 3.82 (0.9−16.24), p = 0.0697, and Trend p = 0.0089) and a higher 5-year recurrence-free rate (Hi: 93.5% (85.2–100%), Int: 90.5% (85–96.3%), and Lo: 78.3% (70.4–86.9%)) (Table S3). For the Immunoscore in five categories, High-Immunoscore patients had a significantly longer survival for TTR (HRI0/I3 = 3.89 (0.86−17.57), Trend p = 0.0771) and a higher 5-year recurrence-free rate (I4: 100% (100–100%), I3: 93.2% (84.6–100%), I2: 90.5% (85–96.3%), I1: 80.4% (70.3–92.2%), and I0: 75.8% (64.3–89.4%)) (Figure 4C, Table S3).
Figure 4.
The outcomes of stage II colon cancer patients according to Immunoscore. (A–C) Kaplan–Meier curves of Immunoscore for stage II patients are shown for time to recurrence (TTR). (A) Two Immunoscore categories: Lo (0–25%, black) and Int+Hi (>25–100%, red). (B) Three Immunoscore categories: Lo (0–25%, black), Int (>25–70%, green), and Hi (>70–100%, red). (C) Five Immunoscore categories: I0 (0–10%, black), I1 (>10–25%, green), I2 (>25–70%, azure), I3 (>70–95%, orange), and I4 (>95–100%, red). Significant log-rank p-values are marked as *** p < 0.005 and * 0.01 ≥ p < 0.05.
Among all stage II patients (n = 251), patient risk groups were defined using histopathological parameters: low risk, high risk (the extent of the primary tumor T4 or VELIPI+), and very high risk (T4 primary tumors and VELIPI+). In all risk groups (low risk (n = 224), high risk (n = 185), and very high risk (n = 27)), a High Immunoscore was associated with prolonged survival (Figure 5A–C, Table S3).
Figure 5.
The impact of Immunoscore on the outcome of low- and high-risk colon cancer patients. Kaplan–Meier curves of Low (Lo, 0–25%) and Intermediate+High (Int+Hi, >25–100%) Immunoscore are shown for TTR (A–C). (A) Low-risk patients, Immunoscore Lo (green) and Int+Hi (red). (B) High-risk patients (T4 and VELIPI+), Immunoscore Lo (black) and Int+Hi (blue). (C) Very high-risk patients (T4 or VELIPI+), Immunoscore Lo (black) and Int+Hi (blue). (D) Low and high-risk patients (T4 or VELIPI+). (E) Low and very high-risk patients (T4 and VELIPI+). Significant log-rank p-values are marked as *** p < 0.005, ** 0.005 ≥ p < 0.01, and * 0.01 ≥ p < 0.05.
In low-risk stage II patients, Immunoscore was also significantly associated with TTR (unadjusted HRLo/Int+Hi = 2.62 (1.21−5.68), p = 0.0146), and the 5-year recurrence rate was 91.6% (86.7–96.7%) for patients with a High Immunoscore and only 80.2% (72.2–89.1%) for those with a Low Immunoscore (Figure 5A). Thus, patients with a Low Immunoscore at low pathological risk were in fact at high risk of recurrence. In high-risk stage II patients (T4 or VELIPI+), Immunoscore was significantly associated with TTR (unadjusted HRLo/Int+Hi = 3.11 (1.39−6.91), p = 0.0055), and the 5-year recurrence rate was 91.5% (86.4–97%) for patients with a High Immunoscore and only 75.8% (66.6–86.2%) for those with a Low Immunoscore (Figure 5B). In very high-risk stage II patients, Immunoscore was also associated with TTR, with a 5-year recurrence rate of 87.5% (72.7–100%) for patients with a High Immunoscore and only 63.6% (40.7–99.5%) for those with a Low Immunoscore (Figure 5C). Strikingly, patients with high-risk or very high-risk stage II and a High Immunoscore had a good outcome, similar to the rest of the Stage II cohort with lower risk (Figure 5D,E; Table S3).
3.5. Performance of Immunoscore in Multivariable Analyses
Cox multivariable analyses adjusted for Immunoscore, age, gender, T-stage, N-stage, sidedness, and MSI and stratified by city center revealed the significant prognostic value of Immunoscore (Figure 6). In a multivariable model, age, gender, T-stage (T3 vs. T1–2), N-stage (N1 vs. N0), sidedness, and MSI were not significant. Among tumor-related parameters, only T-stage ((T4 vs. T1–2), HR = 14.35 (1.73–119.27), p = 0.0137) and N-stage ((N2 vs. N0), HR = 2.35 (1.13–4.89), p = 0.0223) were significant for TTR (Table S4). The Immunoscore in two categories (Lo/Int+Hi) was significant in Cox multivariable analyses, with HR = 2.22 (1.10–4.55), p = 0.0269. Cox multivariable analyses for OS and DFS showed similar results, with significant p-values for Immunoscore in OS (p = 0.0304) and DFS (p = 0.0516).
Figure 6.
Clinical performance of tumor- and immune-related risk parameters. Cox multivariable regression analysis of TTR (A) and OS (B) combining clinical parameters and Immunoscore with two (0–25% and 25–100%) categories. Clinical parameters: age, gender, T-stage, N-stage, sidedness, and MSI status. The relative importance of each risk parameter to survival risk using the χ2 proportion test for clinical parameters and Immunoscore (right).
The power of Immunoscore in OS was also evaluated using the contribution to risk. Indeed, variables with the most important relative contribution to the risk of death (Chi2 proportion) were: Immunoscore (25%), T-Stage (28%), age (18%), MSI (17%), N-Stage (12%), and gender (1%). In multivariable analysis, the only variables shown to be of significant predictive value were Immunoscore, T-stage, and N-stage. Moreover, the predictive power of Immunoscore for recurrence (likelihood ratio test, p < 0.0001) and death (likelihood ratio test, p < 0.0001) was further strengthened when adding it to a model combining all clinical variables.
4. Discussion
The major prognostic impact of the immune contexture has been demonstrated in several studies [27,28,29]. The powerful assessment of immune cells in the tumor using digital pathology led to the international validation of the Immunoscore assay in stage I/II/III CC [22], as well as in stage III patients [24,25,30], and in two randomized phase 3 clinical trials [24,25]. The prognostic impact of the tumor microenvironment and Immunoscore has been clearly established, from pre-cancer lesions [31] to primary tumors [3,7,8,12,14,22,27,32] to metastasis [29,33,34,35,36]. The study complied with the STARD reporting guidelines (Table S5). Beyond the results obtained for stages I/II/III [3,8,22], for localized cancers [14,22], and for metastatic diseases (stage IV) [29,33,34,35,36,37], the relevance of the consensus Immunoscore in the Asian population remained to be established. Based on immune parameters alone, we highlighted the ability of the consensus Immunoscore to accurately layer all patients and, on an anatomopathological basis, defined high- and low-risk patients with significant differences in clinical survival. Interestingly, one of the most used tools in clinical oncology (i.e., MSI status) was shown to be dependent on the Immunoscore, as presented in our Cox multivariable analyses. We also found that the local intra-tumoral immune environment was not affected by patient age in the Asian population, thus contrasting with previous reports suggesting that peripheral and intra-tumoral immunity were known to decline over time [30,38].
In addition to its strong prognostic value, Immunoscore also predicted the response to chemotherapy in an international cohort study [30] and in a randomized phase 3 clinical trial [24]. Many guidelines include chemotherapy as a potent treatment for all stage III CC. Indeed, following surgical resection, the risk of death decreases by 10% to 15% when patients are treated with 5-FU and by 20% when treated with the oxaliplatin–fluoropyrimidine combination [39,40,41]. However, in stage III CC, a mere 20% of patients can benefit from adjuvant chemotherapy (AC), leaving 80% of patients susceptible to unneeded toxicity. In fact, 50% of those patients could be cured by surgery alone, and even with AC treatment, 30% of patients experience events of recurrence that lead to death within 2-3 years [42].
Previously, it has been shown that chemotherapy’s anti-tumoral activity is tightly linked to the immune response within the tumor, as it can modulate the immune system both positively and negatively [43,44,45,46]. Accordingly, Immunoscore was developed to help segregate patients who could benefit from chemotherapy. In this study, we showed that patients with better pre-built immunity (i.e., Intermediate and High Immunoscores) do benefit the most from chemotherapy, whereas Low-Immunoscore patients fall short in response to chemotherapy. Similar findings were observed in all stage III and low-risk and high-risk stage III patients, suggesting that effective chemotherapy partly relies on the modulation of the immune system and the high density of pre-existing tumor-infiltrating T cells, a hallmark of immune surveillance. Interestingly, none of the few patients with the highest Immunoscores (I4) relapsed, even when they were not treated with chemotherapy [30], supporting the idea of sparing these patients from unnecessary chemotherapy.
A limitation of the study might be the heterogeneity of the patient population, having come from three large countries, namely, China, India, and Japan. However, this non-randomized approach aimed at enhancing the robustness of the consensus Immunoscore within the Asian population. In particular, the use of chemotherapy and its impact on survival cannot be analyzed in an overall population including stages I, II, and III, since these patients have different outcomes and do not receive chemotherapy to equal extents (stage I does not receive chemotherapy, stage II may be provided with chemotherapy depending on risk factors, and stage III should undergo chemotherapy based on international recommendations).
For this aim, subgroup analysis has to be performed. However, in our present study, the sample size did not allow us to appropriately evaluate the benefit of chemotherapy.
Within stage III (n = 105 patients), only 11 did not receive chemotherapy. This is related to different reasons, such as patient refusal or a critical health condition. Sub-dividing these 11 patients into Immunoscore categories would not lead to ultimate statistical conclusions. Indeed, there was no significant difference in survival between patients receiving or not receiving chemotherapy in this cohort.
Within stage II (n = 251 patients), 148 received chemotherapy. Since the use of chemotherapy is not recommended for all stage II patients, decisions were made based on risk factors. So far, no randomized studies have shown a significant benefit of chemotherapy within the subgroup of stage II patients. Thus, the limited number of patients analyzed herein would not provide statistical conclusions, and much larger stage II groups should be analyzed to reach significant conclusions.
Moving forward, it will be important to further validate the standardized Immunoscore assay in randomized clinical trials of stage II and/or III CC treated with adjuvant chemotherapy in the Asian population [47,48].
A meta-analysis of the prognostic value of Immunoscore conducted on more than 10,000 patients confirmed that Immunoscore provided a reliable estimate of the recurrence risk in colon cancer [23].
5. Conclusions
The present study further enhances the clinical utility of Immunoscore in Asian CC patients. Developed as an in vitro diagnostic test, the Immunoscore assay is available in FDA CLIA-certified laboratories and in China for clinical use (CE-IVD). Moreover, the 5th edition of the WHO Digestive System Tumours classification introduced, for the first time, the immune response as “essential and desirable diagnostic criteria for colorectal cancer” while citing the consensus Immunoscore as the “best clinical evidence in colon cancer”. In fact, Immunoscore was also introduced in the 2020 ESMO Clinical Practice Guidelines for colon cancer patient support, allowing physicians to refine the prognosis and thus adjust the chemotherapy decision-making process in stage II and even in low-risk stage III patients [49]. Recently, Immunoscore was introduced into the Pan-Asian-adapted ESMO Clinical Practice Guidelines for the diagnosis, treatment, and follow-up of patients with localized colon cancer. Immunoscore was considered for its full-range indication in colon cancers, stage II and stage III, with the inclusion of all risk groups [50]. Supported by the multicentric international SITC study, the results of Immunoscore in the Asian population and its recent inclusion in the above-cited guidelines argue for the benefit of implementing Immunoscore in routine clinical practice as well as its introduction in other international guidelines. This would allow patients and physicians to benefit from this powerful predictive tool in colorectal cancer support.
6. Patents
J.G., F.P. and B.M. have patents associated with the immune prognostic biomarkers. Immunoscore® is a registered trademark owned by the National Institute of Health and Medical Research (INSERM) and licensed to Veracyte. Michael Roehrl is a member of the Scientific Advisory Boards of Azenta and Universal DX. All other authors declare no conflict of interest.
Supplementary Materials
The following supporting information can be downloaded at: https://www.mdpi.com/article/10.3390/cancers14184346/s1, Figure S1: Forest Plot of Effect of Int+Hi (25–100%) vs. Lo (0–25%) Immunoscore on Time To Recurrence (TTR) Stage I–III Patients; Figure S2: Images of CD3 and CD8 staining; Table S1: Demographic distribution; Table S2: Stage I–III bivariable analysis of clinical parameters for OS and DFS; Table S3: Stage I–III MSS and stage II bivariable analysis for IS parameters for TTR, OS, and DFS, Table S4: Multivariable analysis IS vs. clinical parameters for TTR, OS, and DFS in stages I–III; Table S5: STARD checklist.
Author Contributions
J.G., G.B. (Gabriela Bindea) and B.M. wrote the draft report. J.G. designed, initiated, and coordinated the study. J.G., F.M.M., P.A.A., B.A.F. and C.B. represented the International Immunoscore Steering Committee. B.M. and J.-K.J.L. performed and validated the statistical analyses. All authors performed Immunoscore on their respective cohorts. All authors discussed the draft and provided comments and suggestions for change. All authors have read and agreed to the published version of the manuscript.
Funding
This research was funded by INSERM, the LabEx Immuno-oncology, the Transcan ERAnet European project, the Society for Immunotherapy of Cancer (SITC), Association pour la Recherche contre le Cancer (ARC), Site de Recherche intégrée sur le Cancer (SIRIC), CAncer Research for PErsonalized Medicine (CARPEM), La Ligue contre le Cancer, Assistance publique-Hôpitaux de Paris (AP-HP), HalioDx (Grant number UMRS1138), Japan-AMED (P-DIRECT), and MEXT (Grants-in-aid for Scientific Research-S); The Society for Immunotherapy of Cancer (SITC) (grant number UMRS1138) provided organizational support. National academic organizations supported each center. MHR acknowledges the Farmer foundation, an investigator grant from the Neuroendocrine Tumor Research Foundation (NETRF), and NIH/NCI grants R21 CA251992 and R21 CA263262. This research was funded in part through the MSKCC NIH/NCI Cancer Center Support Grant P30 CA008748.
Institutional Review Board Statement
The study was approved by the ethics committees from each center. Ethical, legal, and social implications were approved by an ethical review board of each center (#0912082, #262-60, #2011-159-5, and #24-060).
Informed Consent Statement
Informed consent was obtained from all subjects involved in the study.
Data Availability Statement
Data are available upon request to the corresponding author.
Acknowledgments
The work was supported and led by the Society for Immunotherapy of Cancer (SITC), which provided organizational and financial support, and the steering committee that oversaw the performance of this study and managed potential conflicts of interest. This work was also supported by grants from INSERM, the LabEx Immuno-oncology, the Transcan ERAnet european project, Association pour la Recherche contre le Cancer (ARC), Site de Recherche intégrée sur le Cancer (SIRIC) CAncer Research for PErsonalized Medicine (CARPEM), La Ligue contre le Cancer, Assistance publique-Hôpitaux de Paris (AP-HP), Agence Nationale de la Recherche (ANR Grant TERMM ANR-20-CE92-0001), The Qatar National Research Fund (QNRF) grant number NPRP11S-0121-180351, Assistance publique-Hôpitaux de Paris (AP-HP), the Louis Jeantet Prize foundation, Japan-AMED (P-DIRECT, P-CREATE), and MEXT (Grants-in-aid for Scientific Research-S). The authors wish to acknowledge the following organizations supporting the Immunoscore project following the World Immunotherapy Cancer (WIC) meeting in 2012: European Academy of Tumor Immunology (EATI); La Fondazione Melanoma Onlus; National Cancer Institute, USA (NCI); Biotherapy Development Association (BDA); Canadian Cancer Immunotherapy Consortium (CCIC); Cancer Immunotherapy Consortium (CIC); Cancer Research Institute (CRI); Association for Cancer Immunotherapy (CIMT); Committee for Tumor Immunology and Bio-therapy (TIBT); European Society for Cancer Immunology and Immunotherapy (ESCII); Italian Network for Tumor Biotherapy (NIBIT); Japanese Association of Cancer Immunology (JACI); Nordic Center for Development of Antitumor Vaccines (NCV-network); Progress in Vaccination Against Cancer (PIVAC); Adoptive engineered T cell Targeting to Activate Cancer Killing (ATTACK); Tumor Vaccine and Cell Therapy Working Group (TVACT); and Institut National du Cancer, France (INCa).
Conflicts of Interest
J.G., F.P. and B.M. have patents associated with the immune prognostic biomarkers. Michael Roehrl is a member of the Scientific Advisory Boards of Azenta and Universal DX. All other authors declare no conflict of interest. The funders had no role in the design of the study; in the collection, analyses, or interpretation of data; in the writing of the manuscript; or in the decision to publish the results.
References
- Galon, J.; Mlecnik, B.; Bindea, G.; Angell, H.K.; Berger, A.; Lagorce, C.; Lugli, A.; Zlobec, I.; Hartmann, A.; Bifulco, C.; et al. Towards the introduction of the ‘Immunoscore’ in the classification of malignant tumours. J. Pathol. 2014, 232, 199–209. [Google Scholar] [CrossRef] [PubMed]
- Guinney, J.; Dienstmann, R.; Wang, X.; de Reynies, A.; Schlicker, A.; Soneson, C.; Marisa, L.; Roepman, P.; Nyamundanda, G.; Angelino, P.; et al. The consensus molecular subtypes of colorectal cancer. Nat. Med. 2015, 21, 1350–1356. [Google Scholar] [CrossRef] [PubMed]
- Galon, J.; Costes, A.; Sanchez-Cabo, F.; Kirilovsky, A.; Mlecnik, B.; Lagorce-Pages, C.; Tosolini, M.; Camus, M.; Berger, A.; Wind, P.; et al. Type, density, and location of immune cells within human colorectal tumors predict clinical outcome. Science 2006, 313, 1960–1964. [Google Scholar] [CrossRef] [PubMed]
- Koelzer, V.H.; Dawson, H.; Andersson, E.; Karamitopoulou, E.; Masucci, G.V.; Lugli, A.; Zlobec, I. Active immunosurveillance in the tumor microenvironment of colorectal cancer is associated with low frequency tumor budding and improved outcome. Transl. Res. 2015, 166, 207–217. [Google Scholar] [CrossRef]
- Laghi, L.; Bianchi, P.; Miranda, E.; Balladore, E.; Pacetti, V.; Grizzi, F.; Allavena, P.; Torri, V.; Repici, A.; Santoro, A.; et al. CD3+ cells at the invasive margin of deeply invading (pT3-T4) colorectal cancer and risk of post-surgical metastasis: A longitudinal study. Lancet Oncol. 2009, 10, 877–884. [Google Scholar] [CrossRef]
- Lee, W.S.; Park, S.; Lee, W.Y.; Yun, S.H.; Chun, H.K. Clinical impact of tumor-infiltrating lymphocytes for survival in stage II colon cancer. Cancer 2010, 116, 5188–5199. [Google Scholar] [CrossRef] [PubMed]
- Mlecnik, B.; Bindea, G.; Angell, H.K.; Maby, P.; Angelova, M.; Tougeron, D.; Church, S.E.; Lafontaine, L.; Fischer, M.; Fredriksen, T.; et al. Integrative Analyses of Colorectal Cancer Show Immunoscore Is a Stronger Predictor of Patient Survival Than Microsatellite Instability. Immunity 2016, 44, 698–711. [Google Scholar] [CrossRef]
- Mlecnik, B.; Tosolini, M.; Kirilovsky, A.; Berger, A.; Bindea, G.; Meatchi, T.; Bruneval, P.; Trajanoski, Z.; Fridman, W.H.; Pages, F.; et al. Histopathologic-based prognostic factors of colorectal cancers are associated with the state of the local immune reaction. J. Clin. Oncol. 2011, 29, 610–618. [Google Scholar] [CrossRef]
- Nosho, K.; Baba, Y.; Tanaka, N.; Shima, K.; Hayashi, M.; Meyerhardt, J.A.; Giovannucci, E.; Dranoff, G.; Fuchs, C.S.; Ogino, S. Tumour-infiltrating T-cell subsets, molecular changes in colorectal cancer and prognosis: Cohort study and literature review. J. Pathol. 2010, 222, 350–366. [Google Scholar] [CrossRef]
- Ogino, S.; Galon, J.; Fuchs, C.S.; Dranoff, G. Cancer immunology—Analysis of host and tumor factors for personalized medicine. Nat. Rev. Clin. Oncol. 2011, 8, 711–719. [Google Scholar] [CrossRef]
- Ogino, S.; Nosho, K.; Irahara, N.; Meyerhardt, J.A.; Baba, Y.; Shima, K.; Glickman, J.N.; Ferrone, C.R.; Mino-Kenudson, M.; Tanaka, N.; et al. Lymphocytic reaction to colorectal cancer is associated with longer survival, independent of lymph node count, microsatellite instability, and CpG island methylator phenotype. Clin. Cancer Res. 2009, 15, 6412–6420. [Google Scholar] [CrossRef]
- Pages, F.; Berger, A.; Camus, M.; Sanchez-Cabo, F.; Costes, A.; Molidor, R.; Mlecnik, B.; Kirilovsky, A.; Nilsson, M.; Damotte, D.; et al. Effector memory T cells, early metastasis, and survival in colorectal cancer. N. Engl. J. Med. 2005, 353, 2654–2666. [Google Scholar] [CrossRef] [PubMed]
- Mlecnik, B.; Bindea, G.; Angell, H.K.; Sasso, M.S.; Obenauf, A.C.; Fredriksen, T.; Lafontaine, L.; Bilocq, A.M.; Kirilovsky, A.; Tosolini, M.; et al. Functional network pipeline reveals genetic determinants associated with in situ lymphocyte proliferation and survival of cancer patients. Sci. Transl. Med. 2014, 6, 228ra37. [Google Scholar] [CrossRef]
- Pages, F.; Kirilovsky, A.; Mlecnik, B.; Asslaber, M.; Tosolini, M.; Bindea, G.; Lagorce, C.; Wind, P.; Marliot, F.; Bruneval, P.; et al. In situ cytotoxic and memory T cells predict outcome in patients with early-stage colorectal cancer. J. Clin. Oncol. 2009, 27, 5944–5951. [Google Scholar] [CrossRef]
- Bruni, D.; Angell, H.K.; Galon, J. The immune contexture and Immunoscore in cancer prognosis and therapeutic efficacy. Nat. Rev. Cancer 2020, 20, 662–680. [Google Scholar] [CrossRef]
- Bindea, G.; Mlecnik, B.; Angell, H.K.; Galon, J. The immune landscape of human tumors: Implications for cancer immunotherapy. Oncoimmunology 2014, 3, e27456. [Google Scholar] [CrossRef]
- Bindea, G.; Mlecnik, B.; Fridman, W.H.; Galon, J. The prognostic impact of anti-cancer immune response: A novel classification of cancer patients. Semin. Immunopathol. 2011, 33, 335–340. [Google Scholar] [CrossRef]
- Pages, F.; Galon, J.; Fridman, W.H. The essential role of the in situ immune reaction in human colorectal cancer. J. Leukoc. Biol. 2008, 84, 981–987. [Google Scholar] [CrossRef]
- Angell, H.K.; Bruni, D.; Barrett, J.C.; Herbst, R.; Galon, J. The Immunoscore: Colon Cancer and Beyond. Clin. Cancer Res. 2020, 26, 332–339. [Google Scholar] [CrossRef] [PubMed]
- Galon, J.; Bruni, D. Tumor Immunology and Tumor Evolution: Intertwined Histories. Immunity 2020, 52, 55–81. [Google Scholar] [CrossRef]
- Kirilovsky, A.; Marliot, F.; El Sissy, C.; Haicheur, N.; Galon, J.; Pages, F. Rational bases for the use of the Immunoscore in routine clinical settings as a prognostic and predictive biomarker in cancer patients. Int. Immunol. 2016, 28, 373–382. [Google Scholar] [CrossRef] [PubMed]
- Pages, F.; Mlecnik, B.; Marliot, F.; Bindea, G.; Ou, F.S.; Bifulco, C.; Lugli, A.; Zlobec, I.; Rau, T.T.; Berger, M.D.; et al. International validation of the consensus Immunoscore for the classification of colon cancer: A prognostic and accuracy study. Lancet 2018, 391, 2128–2139. [Google Scholar] [CrossRef]
- Zhang, X.; Yang, J.; Du, L.; Zhou, Y.; Li, K. The prognostic value of Immunoscore in patients with cancer: A pooled analysis of 10,328 patients. Int. J. Biol. Markers 2020, 35, 3–13. [Google Scholar] [CrossRef] [PubMed]
- Pages, F.; Andre, T.; Taieb, J.; Vernerey, D.; Henriques, J.; Borg, C.; Marliot, F.; Ben Jannet, R.; Louvet, C.; Mineur, L.; et al. Prognostic and predictive value of the Immunoscore in stage III colon cancer patients treated with oxaliplatin in the prospective IDEA France PRODIGE-GERCOR cohort study. Ann. Oncol. 2020, 31, 921–929. [Google Scholar] [CrossRef]
- Sinicrope, F.A.; Shi, Q.; Hermitte, F.; Zemla, T.J.; Mlecnik, B.; Benson, A.B.; Gill, S.; Goldberg, R.M.; Kahlenberg, M.S.; Nair, S.G.; et al. Contribution of Immunoscore and Molecular Features to Survival Prediction in Stage III Colon Cancer. JNCI Cancer Spectr. 2020, 4, pkaa023. [Google Scholar] [CrossRef]
- Uno, H.; Claggett, B.; Tian, L.; Inoue, E.; Gallo, P.; Miyata, T.; Schrag, D.; Takeuchi, M.; Uyama, Y.; Zhao, L.; et al. Moving beyond the hazard ratio in quantifying the between-group difference in survival analysis. J. Clin. Oncol. 2014, 32, 2380–2385. [Google Scholar] [CrossRef]
- Galon, J.; Angell, H.K.; Bedognetti, D.; Marincola, F.M. The continuum of cancer immunosurveillance: Prognostic, predictive, and mechanistic signatures. Immunity 2013, 39, 11–26. [Google Scholar] [CrossRef]
- Galon, J.; Bruni, D. Approaches to treat immune hot, altered and cold tumours with combination immunotherapies. Nat. Rev. Drug Discov. 2019, 18, 197–218. [Google Scholar] [CrossRef]
- Van den Eynde, M.; Mlecnik, B.; Bindea, G.; Fredriksen, T.; Church, S.E.; Lafontaine, L.; Haicheur, N.; Marliot, F.; Angelova, M.; Vasaturo, A.; et al. The Link between the Multiverse of Immune Microenvironments in Metastases and the Survival of Colorectal Cancer Patients. Cancer Cell 2018, 34, 1012–1026. [Google Scholar] [CrossRef]
- Mlecnik, B.; Bifulco, C.; Bindea, G.; Marliot, F.; Lugli, A.; Lee, J.J.; Zlobec, I.; Rau, T.T.; Berger, M.D.; Nagtegaal, I.D.; et al. Multicenter International Society for Immunotherapy of Cancer Study of the Consensus Immunoscore for the Prediction of Survival and Response to Chemotherapy in Stage III Colon Cancer. J. Clin. Oncol. 2020, 38, 3638–3651. [Google Scholar] [CrossRef]
- Mascaux, C.; Angelova, M.; Vasaturo, A.; Beane, J.; Hijazi, K.; Anthoine, G.; Buttard, B.; Rothe, F.; Willard-Gallo, K.; Haller, A.; et al. Immune evasion before tumour invasion in early lung squamous carcinogenesis. Nature 2019, 571, 570–575. [Google Scholar] [CrossRef]
- Bindea, G.; Mlecnik, B.; Tosolini, M.; Kirilovsky, A.; Waldner, M.; Obenauf, A.C.; Angell, H.; Fredriksen, T.; Lafontaine, L.; Berger, A.; et al. Spatiotemporal dynamics of intratumoral immune cells reveal the immune landscape in human cancer. Immunity 2013, 39, 782–795. [Google Scholar] [CrossRef]
- Angelova, M.; Mlecnik, B.; Vasaturo, A.; Bindea, G.; Fredriksen, T.; Lafontaine, L.; Buttard, B.; Morgand, E.; Bruni, D.; Jouret-Mourin, A.; et al. Evolution of metastases in space and time under immune selection. Cell 2018, 175, 751–765.e16. [Google Scholar] [CrossRef]
- Berghoff, A.S.; Fuchs, E.; Ricken, G.; Mlecnik, B.; Bindea, G.; Spanberger, T.; Hackl, M.; Widhalm, G.; Dieckmann, K.D.; Bilocq, A.M.; et al. Density of tumor-infiltrating lymphocytes correlates with extent of brain edema and overall survival time in patients with brain metastases. Oncoimmunology 2016, 5, e1. [Google Scholar] [CrossRef]
- Mlecnik, B.; Bindea, G.; Kirilovsky, A.; Angell, H.K.; Obenauf, A.C.; Tosolini, M.; Church, S.E.; Maby, P.; Vasaturo, A.; Angelova, M.; et al. The tumor microenvironment and Immunoscore are critical determinants of dissemination to distant metastasis. Sci. Transl. Med. 2016, 8, 327ra26. [Google Scholar] [CrossRef]
- Mlecnik, B.; Van den Eynde, M.; Bindea, G.; Church, S.E.; Vasaturo, A.; Fredriksen, T.; Lafontaine, L.; Haicheur, N.; Marliot, F.; Debetancourt, D.; et al. Comprehensive Intrametastatic Immune Quantification and Major Impact of Immunoscore on Survival. J. Natl. Cancer Inst. 2018, 110, 97–108. [Google Scholar] [CrossRef]
- Halama, N.; Michel, S.; Kloor, M.; Zoernig, I.; Benner, A.; Spille, A.; Pommerencke, T.; von Knebel, D.M.; Folprecht, G.; Luber, B.; et al. Localization and Density of Immune Cells in the Invasive Margin of Human Colorectal Cancer Liver Metastases Are Prognostic for Response to Chemotherapy. Cancer Res. 2011, 71, 5670–5677. [Google Scholar] [CrossRef]
- Montecino-Rodriguez, E.; Berent-Maoz, B.; Dorshkind, K. Causes, consequences, and reversal of immune system aging. J. Clin. Investig. 2013, 123, 958–965. [Google Scholar] [CrossRef]
- Andre, T.; Boni, C.; Mounedji-Boudiaf, L.; Navarro, M.; Tabernero, J.; Hickish, T.; Topham, C.; Zaninelli, M.; Clingan, P.; Bridgewater, J.; et al. Oxaliplatin, fluorouracil, and leucovorin as adjuvant treatment for colon cancer. N. Engl. J. Med. 2004, 350, 2343–2351. [Google Scholar] [CrossRef]
- Twelves, C.; Wong, A.; Nowacki, M.P.; Abt, M.; Burris, H., 3rd; Carrato, A.; Cassidy, J.; Cervantes, A.; Fagerberg, J.; Georgoulias, V.; et al. Capecitabine as adjuvant treatment for stage III colon cancer. N. Engl. J. Med. 2005, 352, 2696–2704. [Google Scholar] [CrossRef]
- Yothers, G.; O’Connell, M.J.; Allegra, C.J.; Kuebler, J.P.; Colangelo, L.H.; Petrelli, N.J.; Wolmark, N. Oxaliplatin as adjuvant therapy for colon cancer: Updated results of NSABP C-07 trial, including survival and subset analyses. J. Clin. Oncol. 2011, 29, 3768–3774. [Google Scholar] [CrossRef] [PubMed]
- Auclin, E.; Zaanan, A.; Vernerey, D.; Douard, R.; Gallois, C.; Laurent-Puig, P.; Bonnetain, F.; Taieb, J. Subgroups and prognostication in stage III colon cancer: Future perspectives for adjuvant therapy. Ann. Oncol. 2017, 28, 958–968. [Google Scholar] [CrossRef] [PubMed]
- Cheema, A.R.; Hersh, E.M. Patient survival after chemotherapy and its relationship to in vitro lymphocyte blastogenesis. Cancer 1971, 28, 851–855. [Google Scholar] [CrossRef]
- Emens, L.A.; Machiels, J.P.; Reilly, R.T.; Jaffee, E.M. Chemotherapy: Friend or foe to cancer vaccines? Curr. Opin. Mol. Ther. 2001, 3, 77–84. [Google Scholar]
- Mathe, G. Chemotherapy, a double agent in respect of immune functions. Cancer Chemother. Pharmacol. 1978, 1, 65–68. [Google Scholar] [CrossRef]
- Vacchelli, E.; Aranda, F.; Eggermont, A.; Galon, J.; Sautes-Fridman, C.; Cremer, I.; Zitvogel, L.; Kroemer, G.; Galluzzi, L. Trial Watch: Chemotherapy with immunogenic cell death inducers. Oncoimmunology 2014, 3, e27878. [Google Scholar] [CrossRef]
- Benson, A.B., 3rd; Hamilton, S.R. Path toward prognostication and prediction: An evolving matrix. J. Clin. Oncol. 2011, 29, 4599–4601. [Google Scholar] [CrossRef]
- Emens, L.A. It’s TIME for a biomarker-driven approach to cancer immunotherapy. J. Immunother. Cancer 2016, 4, 1–3. [Google Scholar] [CrossRef][Green Version]
- Argilés, G.; Tabernero, J.; Labianca, R.; Hochhauser, D.; Salazar, R.; Iveson, T.; Laurent-Puig, P.; Quirke, P.; Yoshino, T.; Taieb, J.; et al. Localised colon cancer: ESMO Clinical Practice Guidelines for diagnosis, treatment and follow-up. Ann. Oncol. 2020, 31, 1291–1305. [Google Scholar] [CrossRef]
- Yoshino, T.; Argilés, G.; Oki, E.; Martinelli, E.; Taniguchi, H.; Arnold, D.; Mishima, S.; Li, Y.; Smruti, B.K.; Ahn, J.B.; et al. Pan-Asian adapted ESMO Clinical Practice Guidelines for the diagnosis treatment and follow-up of patients with localised colon cancer. Ann. Oncol. 2021, 32, 1496–1510. [Google Scholar] [CrossRef]
Publisher’s Note: MDPI stays neutral with regard to jurisdictional claims in published maps and institutional affiliations. |
© 2022 by the authors. Licensee MDPI, Basel, Switzerland. This article is an open access article distributed under the terms and conditions of the Creative Commons Attribution (CC BY) license (https://creativecommons.org/licenses/by/4.0/).





