Depth of Response to Intensive Chemotherapy Has Significant Prognostic Value among Acute Myeloid Leukemia (AML) Patients Undergoing Allogeneic Hematopoietic Stem-Cell Transplantation with Intermediate or Adverse Risk at Diagnosis Compared to At-Risk Group According to European Leukemia Net 2017 Risk Stratification
Abstract
Simple Summary
Abstract
1. Introduction
2. Materials and Methods
2.1. Patient Selection
2.2. Preparative Regimens for Allogeneic HSCT
2.3. Detection of Genetic Mutation on Pretreatment Bone Marrow Samples
2.4. Assessment of WT1 Transcript Levels
2.5. Definition of Outcomes and Statistical Analyses
3. Results
3.1. Patient Characteristics
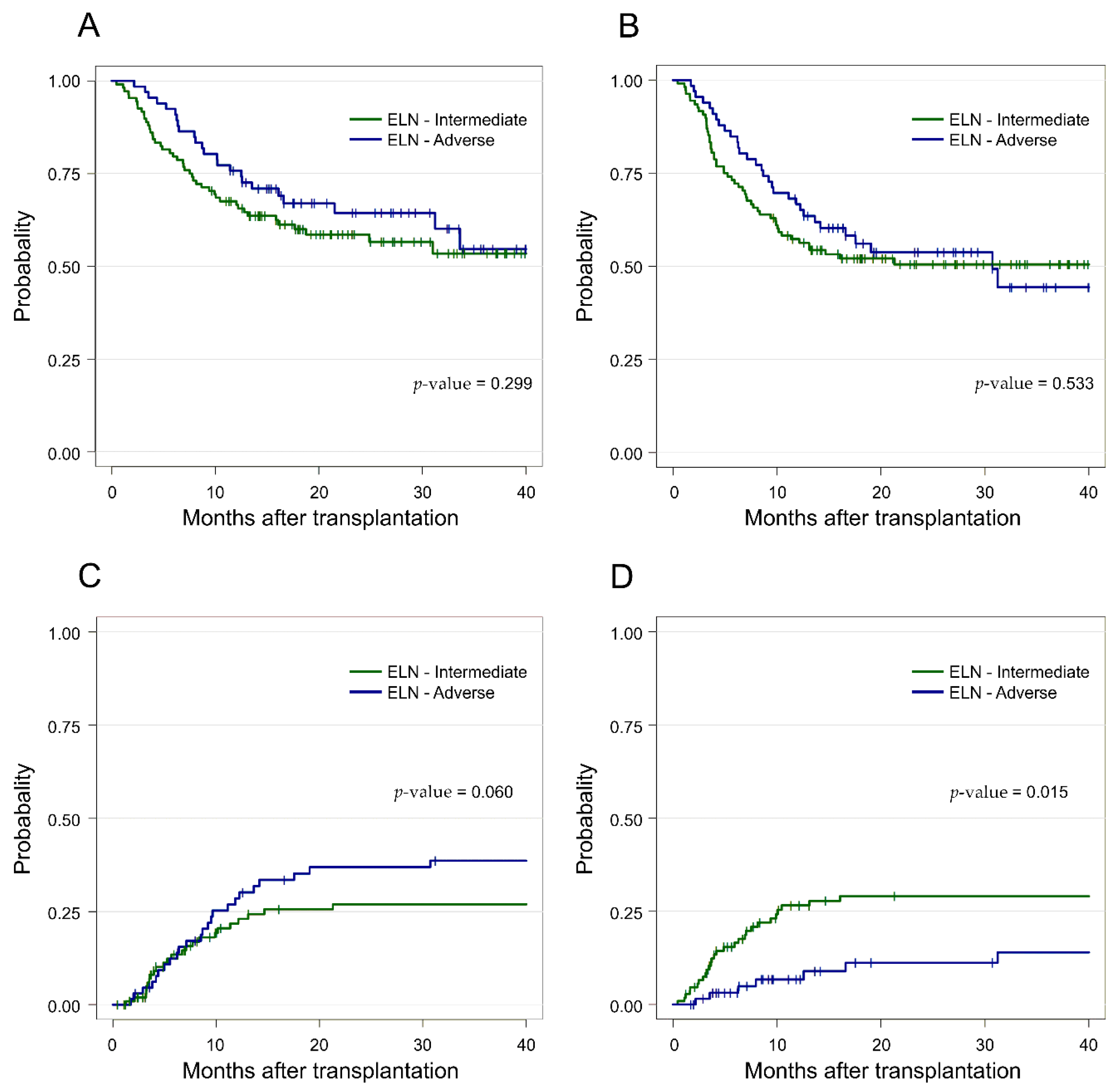
3.2. Post-HSCT Outcomes According to ELN 2017 Genetic Risk Stratification
3.3. Incorporation of ELN 2017 Risk Classification and WT1 Level before Allogeneic HSCT
3.4. Subdivision of ELN Risk Groups: Negative Impact of Mutated FLT3-ITD on Post-HSCT Outcomes Regardless of Allelic Burden or NPM1 Co-Mutation Status
3.5. Association between FLT3-ITD Mutation and Pre-HSCT WT1 Expression Level
4. Discussion
5. Conclusions
Supplementary Materials
Author Contributions
Funding
Institutional Review Board Statement
Informed Consent Statement
Data Availability Statement
Conflicts of Interest
References
- Juliusson, G.; Antunovic, P.; Derolf, A.; Lehmann, S.; Mollgard, L.; Stockelberg, D.; Tidefelt, U.; Wahlin, A.; Hoglund, M. Age and acute myeloid leukemia: Real world data on decision to treat and outcomes from the Swedish acute leukemia registry. Blood 2009, 113, 4179–4187. [Google Scholar] [CrossRef] [PubMed]
- Oran, B.; Weisdorf, D.J. Survival for older patients with acute myeloid leukemia: A population-based study. Haematologica 2012, 97, 1916–1924. [Google Scholar] [CrossRef] [PubMed]
- Park, S.; Cho, B.S.; Kim, H.J. New agents in acute myeloid leukemia (AML). Blood Res. 2020, 55, S14–S18. [Google Scholar] [CrossRef] [PubMed]
- Dohner, H.; Estey, E.H.; Amadori, S.; Appelbaum, F.R.; Buchner, T.; Burnett, A.K.; Dombret, H.; Fenaux, P.; Grimwade, D.; Larson, R.A.; et al. Diagnosis and management of acute myeloid leukemia in adults: Recommendations from an international expert panel, on behalf of the European LeukemiaNet. Blood 2010, 115, 453–474. [Google Scholar] [CrossRef] [PubMed]
- Mrozek, K.; Marcucci, G.; Nicolet, D.; Maharry, K.S.; Becker, H.; Whitman, S.P.; Metzeler, K.H.; Schwind, S.; Wu, Y.Z.; Kohlschmidt, J.; et al. Prognostic significance of the European LeukemiaNet standardized system for reporting cytogenetic and molecular alterations in adults with acute myeloid leukemia. J. Clin. Oncol. 2012, 30, 4515–4523. [Google Scholar] [CrossRef] [PubMed]
- Rollig, C.; Bornhauser, M.; Thiede, C.; Taube, F.; Kramer, M.; Mohr, B.; Aulitzky, W.; Bodenstein, H.; Tischler, H.J.; Stuhlmann, R.; et al. Long-term prognosis of acute myeloid leukemia according to the new genetic risk classification of the European LeukemiaNet recommendations: Evaluation of the proposed reporting system. J. Clin. Oncol. 2011, 29, 2758–2765. [Google Scholar] [CrossRef] [PubMed]
- Döhner, H.; Estey, E.; Grimwade, D.; Amadori, S.; Appelbaum, F.R.; Büchner, T.; Dombret, H.; Ebert, B.L.; Fenaux, P.; Larson, R.A.; et al. Diagnosis and management of AML in adults: 2017 ELN recommendations from an international expert panel. Blood 2017, 129, 424–447. [Google Scholar] [CrossRef]
- Grimm, J.; Jentzsch, M.; Bill, M.; Goldmann, K.; Schulz, J.; Niederwieser, D.; Platzbecker, U.; Schwind, S. Prognostic impact of the ELN 2017 risk classification in patients with AML receiving allogeneic transplantation. Blood Adv. 2020, 4, 3864–3874. [Google Scholar] [CrossRef] [PubMed]
- Lee, C.J.; Bipin, N.S.; Mohamad, M.; Myriam, L.; Annalisa, R.; Christoph, S.; Frédéric, B.; Jordi, E.; Norbert, C.G.; Sebastian, G.; et al. Haploidentical Hematopoietic Cell Transplantation for Adult Acute Myeloid Leukemia: A Position Statement from the Acute Leukemia Working Party of the European Society for Blood and Marrow Transplantation. Haematologica 2017, 102, 1810–1822. [Google Scholar] [CrossRef]
- Niederwieser, D. The Chinese Hct Survey: A Non-Manipulated Haploidentical Transplantation Procedure Makes a Novel Contribution to Data Sharing within the Regional and Global Transplant Registries and to Worldwide Knowledge. Bone Marrow Transplant. 2021, 56, 1229–1231. [Google Scholar] [CrossRef] [PubMed]
- Shah, M.V.; Jorgensen, J.L.; Saliba, R.M.; Wang, S.A.; Alousi, A.M.; Andersson, B.S.; Bashir, Q.; Ciurea, S.O.; Kebriaei, P.; Marin, D.; et al. Early post-transplant minimal residual disease assessment improves risk stratification in acute myeloid leukemia. Biol. Blood Marrow Transplant. 2018, 24, 1514–1520. [Google Scholar] [CrossRef] [PubMed]
- Getta, B.M.; Devlin, S.M.; Levine, R.L.; Arcila, M.E.; Mohanty, A.S.; Zehir, A.; Tallman, M.S.; Giralt, S.A.; Roshal, M. Multicolor flow cytometry and multigene next-generation sequencing are complementary and highly predictive for relapse in acute myeloid leukemia after allogeneic transplantation. Biol. Blood Marrow Transplant. 2017, 23, 1064–1071. [Google Scholar] [CrossRef] [PubMed]
- Kim, T.; Moon, J.H.; Ahn, J.S.; Kim, Y.K.; Lee, S.S.; Ahn, S.Y.; Jung, S.H.; Yang, D.H.; Lee, J.J.; Choi, S.H.; et al. Next-generation sequencing-based posttransplant monitoring of acute myeloid leukemia identifies patients at high risk of relapse. Blood 2018, 132, 1604–1613. [Google Scholar] [CrossRef] [PubMed]
- Thol, F.; Gabdoulline, R.; Liebich, A.; Klement, P.; Schiller, J.; Kandziora, C.; Hambach, L.; Stadler, M.; Koenecke, C.; Flintrop, M.; et al. Measurable residual disease monitoring by NGS before allogeneic hematopoietic cell transplantation in AML. Blood 2018, 132, 1703–1713. [Google Scholar] [CrossRef] [PubMed]
- Hourigan, C.S.; Dillon, L.W.; Gui, G.; Logan, B.R.; Fei, M.; Ghannam, J.; Li, Y.; Licon, A.; Alyea, E.P.; Bashey, A.; et al. Impact of conditioning intensity of allogeneic transplantation for acute myeloid leukemia with genomic evidence of residual disease. J. Clin. Oncol. 2020, 38, 1273–1283. [Google Scholar] [CrossRef] [PubMed]
- Grimm, J.; Bill, M.; Jentzsch, M.; Beinicke, S.; Hantschel, J.; Goldmann, K.; Schulz, J.; Cross, M.; Franke, G.N.; Behre, G.; et al. Clinical impact of clonal hematopoiesis in acute myeloid leukemia patients receiving allogeneic transplantation. Bone Marrow Transplant. 2019, 54, 1189–1197. [Google Scholar] [CrossRef] [PubMed]
- Kim, H.J.; Kim, Y.; Kang, D.; Kim, H.S.; Lee, J.M.; Kim, M.; Cho, B.S. Prognostic value of measurable residual disease monitoring by next-generation sequencing before and after allogeneic hematopoietic cell transplantation in acute myeloid leukemia. Blood Cancer J. 2021, 11, 109. [Google Scholar] [CrossRef] [PubMed]
- Schuurhuis, G.J.; Heuser, M.; Freeman, S.; Bene, M.C.; Buccisano, F.; Cloos, J.; Grimwade, D.; Haferlach, T.; Hills, R.K.; Hourigan, C.S.; et al. Minimal/measurable residual disease in AML: A consensus document from the European LeukemiaNet MRD working party. Blood 2018, 131, 1275–1291. [Google Scholar] [CrossRef]
- Aitken, M.J.L.; Ravandi, F.; Patel, K.P.; Short, N.J. Prognostic and therapeutic implications of measurable residual disease in acute myeloid leukemia. J. Hematol. Oncol. 2021, 14, 137. [Google Scholar] [CrossRef] [PubMed]
- Heuser, M.; Freeman, S.D.; Ossenkoppele, G.J.; Buccisano, F.; Hourigan, C.S.; Ngai, L.L.; Tettero, J.M.; Bachas, C.; Baer, C.; Bene, M.C.; et al. 2021 Update on MRD in acute myeloid leukemia: A consensus document from the European LeukemiaNet MRD Working Party. Blood 2021, 138, 2753–2767. [Google Scholar] [CrossRef] [PubMed]
- Cilloni, D.; Renneville, A.; Hermitte, F.; Hills, R.K.; Daly, S.; Jovanovic, J.V.; Gottardi, E.; Fava, M.; Schnittger, S.; Weiss, T.; et al. Real-time quantitative polymerase chain reaction detection of minimal residual disease by standardized WT1 assay to enhance risk stratification in acute myeloid leukemia: A European LeukemiaNet study. J. Clin. Oncol. 2009, 27, 5195–5201. [Google Scholar] [CrossRef] [PubMed]
- Dejjuy, D.; Dechsukhum, C.; Pattanapanyasat, K.; Noulsri, E.; Dissen, G.A.; Leeanansaksiri, W. Novel WT1 Target Genes: IL-2, IL-2RB, and IL-2RG Discovered During WT1 Silencing Using Lentiviral-Based RNAi in Myeloid Leukemia Cells. Biomed Res. Int. 2020, 2020, 7851414. [Google Scholar] [CrossRef]
- Pozzi, S.; Geroldi, S.; Tedone, E.; Luchetti, S.; Grasso, R.; Colombo, N.; Grazia, C.D.; Lamparelli, T.; Gualandi, F.; Ibatici, A.; et al. Leukaemia Relapse after Allogeneic Transplants for Acute Myeloid Leukaemia: Predictive Role of WT1 Expression. Br. J. Haematol. 2013, 160, 503–509. [Google Scholar] [CrossRef]
- Israyelyan, A.; Goldstein, L.; Tsai, W.; Aquino, L.; Forman, S.J.; Nakamura, R.; Diamond, D.J. Real-Time Assessment of Relapse Risk Based on the WT1 Marker in Acute Leukemia and Myelodysplastic Syndrome Patients after Hematopoietic Cell Transplantation. Bone Marrow Transplant. 2015, 50, 26–33. [Google Scholar] [CrossRef]
- Di Grazia, C.; Pozzi, S.; Geroldi, S.; Grasso, R.; Miglino, M.; Colombo, N.; Tedone, E.; Luchetti, S.; Lamparelli, T.; Gualandi, F.; et al. Wilms Tumor 1 Expression and Pre-Emptive Immunotherapy in Patients with Acute Myeloid Leukemia Undergoing an Allogeneic Hemopoietic Stem Cell Transplantation. Biol. Blood Marrow Transplant. 2016, 22, 1242–1246. [Google Scholar] [CrossRef][Green Version]
- Candoni, A.; De Marchi, F.; Zanini, F.; Zannier, M.E.; Simeone, E.; Toffoletti, E.; Chiarvesio, A.; Cerno, M.; Fili, C.; Patriarca, F.; et al. Predictive Value of Pretransplantation Molecular Minimal Residual Disease Assessment by WT1 Gene Expression in FLT3-Positive Acute Myeloid Leukemia. Exp. Hematol. 2017, 49, 25–33. [Google Scholar] [CrossRef]
- Candoni, A.; De Marchi, F.; Zannier, M.E.; Lazzarotto, D.; Fili, C.; Dubbini, M.V.; Rabassi, N.; Toffoletti, E.; Lau, B.W.; Fanin, R. High Prognostic Value of Pre-Allogeneic Stem Cell Transplantation Minimal Residual Disease Detection by WT1 Gene Expression in AML Transplanted in Cytologic Complete Remission. Leuk. Res. 2017, 63, 22–27. [Google Scholar] [CrossRef]
- Dulery, R.; Nibourel, O.; Gauthier, J.; Elsermans, V.; Behal, H.; Coiteux, V.; Magro, L.; Renneville, A.; Marceau, A.; Boyer, T.; et al. Impact of Wilms’ Tumor 1 Expression on Outcome of Patients Undergoing Allogeneic Stem Cell Transplantation for AML. Bone Marrow Transplant. 2017, 52, 539–543. [Google Scholar] [CrossRef][Green Version]
- Frairia, C.; Aydin, S.; Audisio, E.; Riera, L.; Aliberti, S.; Allione, B.; Busca, A.; D’Ardia, S.; Dellacasa, C.M.; Demurtas, A.; et al. Post-Remissional and Pre-Transplant Role of Minimal Residual Disease Detected by WT1 in Acute Myeloid Leukemia: A Retrospective Cohort Study. Leuk. Res. 2017, 61, 10–17. [Google Scholar] [CrossRef]
- Nomdedeu, J.F.; Esquirol, A.; Carricondo, M.; Pratcorona, M.; Hoyos, M.; Garrido, A.; Rubio, M.; Bussaglia, E.; Garcia-Cadenas, I.; Estivill, C.; et al. Bone Marrow WT1 Levels in Allogeneic Hematopoietic Stem Cell Transplantation for Acute Myelogenous Leukemia and Myelodysplasia: Clinically Relevant Time Points and 100 Copies Threshold Value. Biol. Blood Marrow Transplant. 2018, 24, 55–63. [Google Scholar] [CrossRef]
- Yoon, J.H.; Kim, H.J.; Shin, S.H.; Yahng, S.A.; Lee, S.E.; Cho, B.S.; Eom, K.S.; Kim, Y.J.; Lee, S.; Min, C.K.; et al. Serial measurement of WT1 expression and decrement ratio until hematopoietic cell transplantation as a marker of residual disease in patients with cytogenetically normal acute myelogenous leukemia. Biol Blood Marrow Transplant. 2013, 19, 958–966. [Google Scholar] [CrossRef]
- Yoon, J.H.; Kim, H.J.; Shin, S.H.; Yahng, S.A.; Lee, S.E.; Cho, B.S.; Eom, K.S.; Kim, Y.J.; Lee, S.; Min, C.K.; et al. BAALC and WT1 expressions from diagnosis to hematopoietic stem cell transplantation: Consecutive monitoring in adult patients with core-binding-factor-positive AML. Eur. J. Haematol. 2013, 91, 112–121. [Google Scholar] [CrossRef] [PubMed]
- Yoon, J.H.; Jeon, Y.W.; Yahng, S.A.; Shin, S.H.; Lee, S.E.; Cho, B.S.; Lee, D.G.; Eom, K.S.; Kim, H.J.; Lee, S.; et al. Wilms tumor gene 1 expression as a predictive marker for relapse and survival after hematopoietic stem cell transplantation for myelodysplastic syndromes. Biol. Blood Marrow Transplant. 2015, 21, 460–467. [Google Scholar] [CrossRef][Green Version]
- Yoon, J.H.; Kim, H.J.; Kwak, D.H.; Park, S.S.; Jeon, Y.W.; Lee, S.E.; Cho, B.S.; Eom, K.S.; Kim, Y.J.; Lee, S.; et al. High WT1 expression is an early predictor for relapse in patients with acute promyelocytic leukemia in first remission with negative PML-RARa after anthracycline-based chemotherapy: A single-center cohort study. J. Hematol. Oncol. 2017, 10, 30. [Google Scholar] [CrossRef] [PubMed]
- Cho, B.S.; Min, G.J.; Park, S.S.; Shin, S.H.; Yahng, S.A.; Jeon, Y.W.; Yoon, J.H.; Lee, S.E.; Eom, K.S.; Kim, Y.J.; et al. WT1 measurable residual disease assay in patients with acute myeloid leukemia who underwent allogeneic hematopoietic stem cell transplantation: Optimal time points, thresholds, and candidates. Biol. Blood Marrow Transplant. 2019, 25, 1925–1932. [Google Scholar] [CrossRef] [PubMed]
- Kim, H.J.; Sohn, H.J.; Hong, J.A.; Lee, H.J.; Sohn, D.H.; Shin, C.A.; Cho, H.I.; Min, W.S.; Kim, T.G. Post-transplant immunotherapy with WT1-specific CTLs for high-risk acute myelogenous leukemia: A prospective clinical phase I/II trial. Bone Marrow Transplant. 2019, 54, 903–906. [Google Scholar] [CrossRef]
- Park, S.; Min, G.J.; Park, S.S.; Yahng, S.A.; Jeon, Y.W.; Shin, S.H.; Yoon, J.H.; Lee, S.E.; Cho, B.S.; Eom, K.S.; et al. Comparison of myeloablative (CyTBI, BuCy) versus reduced-intensity (FluBu2TBI400) peripheral blood stem cell transplantation in acute myeloid leukemia patients with pretransplant low WT1 expression. Biol. Blood Marrow Transplant. 2020, 26, 2018–2026. [Google Scholar] [CrossRef]
- Kim, Y.; Lee, G.D.; Park, J.; Yoon, J.H.; Kim, H.J.; Min, W.S.; Kim, M. Quantitative fragment analysis of FLT3-ITD efficiently identifying poor prognostic group with high mutant allele burden or long ITD length. Blood Cancer J. 2015, 5, e336. [Google Scholar] [CrossRef]
- Yoon, J.H.; Kim, H.J.; Park, S.S.; Jeon, Y.W.; Lee, S.E.; Cho, B.S.; Eom, K.S.; Kim, Y.J.; Lee, S.; Min, C.K.; et al. Long-term clinical outcomes of hematopoietic cell transplantation for intermediate-to-poor-risk acute myeloid leukemia during first remission according to available donor types. Oncotarget 2017, 8, 41590–41604. [Google Scholar] [CrossRef][Green Version]
- Zwaan, C.M.; Meshinchi, S.; Radich, J.P.; Veerman, A.J.; Huismans, D.R.; Munske, L.; Podleschny, M.; Hahlen, K.; Pieters, R.; Zimmermann, M.; et al. FLT3 internal tandem duplication in 234 children with acute myeloid leukemia: Prognostic significance and relation to cellular drug resistance. Blood 2003, 102, 2387–2394. [Google Scholar] [CrossRef]
- Lee, G.; Kim, J.; Lee, S.; Jang, W.; Park, J.; Chae, H.; Kim, M.; Kim, Y. Fragment analysis for detection of the FLT3-internal tandem duplication: Comparison with conventional PCR and Sanger sequencing. Lab. Med. Online 2017, 7, 13–19. [Google Scholar] [CrossRef]
- Jimenez, A.M.J.; De Lima, M.; Komanduri, K.V.; Wang, T.P.; Zhang, M.J.; Chen, K.; Abdel-Azim, H.; Abid, M.B.; Aljurf, M.; Alkhateeb, H.; et al. An adapted European LeukemiaNet genetic risk stratification for acute myeloid leukemia patients undergoing allogeneic hematopoietic cell transplant. a CIBMTR analysis. Bone Marrow Transplant. 2021, 56, 3068–3077. [Google Scholar] [CrossRef]
- Bazarbachi, A.H.; Hamed, R.A.; Malard, F.; Mohty, M.; Bazarbachi, A. Allogeneic transplant for FLT3-ITD mutated AML: A focus on FLT3 inhibitors before, during, and after transplant. Ther. Adv. Hematol. 2019, 10, 2040620719882666. [Google Scholar] [CrossRef]
- Ciurea, S.O. Allogeneic stem cell transplantation for FLT3 mutated acute myeloid leukemia in first complete remission: Does age really matter? Haematologica 2018, 103, 191–193. [Google Scholar] [CrossRef]
- Medeiros, B.C.; Tian, L.; Robenson, S.; Laport, G.G.; Johnston, L.J.; Shizuru, J.A.; Miklos, D.B.; Arai, S.; Benjamin, J.E.; Weng, W.K.; et al. European LeukemiaNet classification intermediate risk-1 cohort is associated with poor outcomes in adults with acute myeloid leukemia undergoing allogeneic hematopoietic cell transplantation. Blood Cancer J. 2014, 4, e216. [Google Scholar] [CrossRef]
- Levis, M.J.; Chen, Y.B.; Hamadani, M.; Horowitz, M.M.; Jones, R.J.; Blood and Network Marrow Transplant Clinical Trials. FLT3 Inhibitor Maintenance after Allogeneic Transplantation: Is a Placebo-Controlled, Randomized Trial Ethical? J. Clin. Oncol. 2019, 37, 1604–1607. [Google Scholar] [CrossRef]
- Bazarbachi, A.; Bug, G.; Baron, F.; Brissot, E.; Ciceri, F.; Dalle, I.A.; Dohner, H.; Esteve, J.; Floisand, Y.; Giebel, S.; et al. Clinical Practice Recommendation on Hematopoietic Stem Cell Transplantation for Acute Myeloid Leukemia Patients with FLT3-Internal Tandem Duplication: A Position Statement from the Acute Leukemia Working Party of the European Society for Blood and Marrow Transplantation. Haematologica 2020, 105, 1507–1516. [Google Scholar]
- Burchert, A.; Bug, G.; Fritz, L.V.; Finke, J.; Stelljes, M.; Rollig, C.; Wollmer, E.; Wasch, R.; Bornhauser, M.; Berg, T.; et al. Sorafenib Maintenance after Allogeneic Hematopoietic Stem Cell Transplantation for Acute Myeloid Leukemia with FLT3-Internal Tandem Duplication Mutation (Sormain). J. Clin. Oncol. 2020, 38, 2993–3002. [Google Scholar] [CrossRef]
- Xuan, L.; Wang, Y.; Huang, F.; Fan, Z.; Xu, Y.; Sun, J.; Xu, N.; Deng, L.; Li, X.; Liang, X.; et al. Sorafenib Maintenance in Patients with FLT3-ITD Acute Myeloid Leukaemia Undergoing Allogeneic Haematopoietic Stem-Cell Transplantation: An Open-Label, Multicentre, Randomised Phase 3 Trial. Lancet Oncol. 2020, 21, 1201–1212. [Google Scholar] [CrossRef]
- Gagelmann, N.; Wolschke, C.; Klyuchnikov, E.; Christopeit, M.; Ayuk, F.; Kroger, N. TKI Maintenance after Stem-Cell Transplantation for FLT3-ITD Positive Acute Myeloid Leukemia: A Systematic Review and Meta-Analysis. Front. Immunol. 2021, 12, 630429. [Google Scholar] [CrossRef]
- Griffin, J.D.; Song, Y.; Yang, H.; Freimark, J.; Shah, M.V. Post-Transplant Maintenance Therapy in Patients with FLT3-Mutated Acute Myeloid Leukemia: Real-World Treatment Patterns and Outcomes. Eur. J. Haematol. 2021, 107, 553–565. [Google Scholar] [CrossRef] [PubMed]
- Kennedy, V.E.; Smith, C.C. FLT3 Mutations in Acute Myeloid Leukemia: Key Concepts and Emerging Controversies. Front. Oncol. 2020, 10, 612880. [Google Scholar] [CrossRef] [PubMed]
- Ragon, B.K. FLT3-ITDos and FLT3-ITDon’ts: Navigating Maintenance Therapy in FLT3-ITD-Positive Acute Myeloid Leukemia Following Stem Cell Transplantation. Bone Marrow Transplant. 2021, 56, 1774–1776. [Google Scholar] [CrossRef]
- Oran, B.; Cortes, J.; Beitinjaneh, A.; Chen, H.C.; de Lima, M.; Patel, K.; Ravandi, F.; Wang, X.; Brandt, M.; Andersson, B.S.; et al. Allogeneic transplantation in first remission improves outcomes irrespective of FLT3-ITD allelic ratio in FLT3-ITD-positive acute myelogenous leukemia. Biol. Blood Marrow Transplant. 2016, 22, 1218–1226. [Google Scholar] [CrossRef]
- Ngai, L.L.; Kelder, A.; Janssen, J.J.W.M.; Ossenkoppele, G.J.; Cloos, J. MRD tailored therapy in AML: What we have learned so far. Front. Oncol. 2020, 10, 603636. [Google Scholar] [CrossRef]
- Stone, R.M.; Mandrekar, S.J.; Sanford, B.L.; Laumann, K.; Geyer, S.; Bloomfield, C.D.; Thiede, C.; Prior, T.W.; Dohner, K.; Marcucci, G.; et al. Midostaurin Plus Chemotherapy for Acute Myeloid Leukemia with a FLT3 Mutation. N. Engl. J. Med. 2017, 377, 454–464. [Google Scholar] [CrossRef]
- Perl, A.E.; Martinelli, G.; Cortes, J.E.; Neubauer, A.; Berman, E.; Paolini, S.; Montesinos, P.; Baer, M.R.; Larson, R.A.; Ustun, C.; et al. Gilteritinib or Chemotherapy for Relapsed or Refractory FLT3-Mutated AML. N. Engl. J. Med. 2019, 381, 1728–1740. [Google Scholar] [CrossRef]





| Characteristics, Number of Patients (%) | All Patients | Intermediate-Risk Patients (n = 108) | Adverse-Risk Patients (n = 66) | p-Value |
|---|---|---|---|---|
| Age at diagnosis, years and range | 54 (18–72) | 54 (18–74) | 53 (20–72) | 0.759 |
| <55 years | 91 (52.3%) | 55 (50.9%) | 36 (54.5%) | |
| ≥55 years | 83 (47.7%) | 53 (49.1%) | 30 (45.5%) | |
| Gender | 0.480 | |||
| Male | 85 (48.9%) | 50 (46.3%) | 35 (53.0%) | |
| Female | 89 (51.1%) | 58 (53.7%) | 31 (47.0%) | |
| HCT-CI | 0.621 | |||
| 0–2 | 108 (62.1%) | 65 (60.2%) | 43 (65.2%) | |
| ≥3 | 66 (37.9%) | 43 (39.8%) | 23 (34.8%) | |
| Disease type | 0.642 | |||
| De novo AML † | 160 (92.0%) | 98 (90.7%) | 62 (93.9%) | |
| Secondary AML | 14 (8.0%) | 10 (9.3%) | 4 (6.1%) | |
| Conditioning intensity | 0.047 | |||
| Myeloablative | 138 (79.3%) | 80 (74.1%) | 58 (87.9%) | |
| Reduced Intensity | 36 (20.7%) | 28 (25.9%) | 8 (12.1%) | |
| Donor type | 0.962 | |||
| MSD | 45 (25.9%) | 28 (25.9%) | 17 (25.8%) | |
| MUD | 46 (26.4%) | 28 (25.9%) | 18 (27.3%) | |
| HID | 76 (43.7%) | 47 (43.5%) | 29 (43.9%) | |
| Others (UCB or MMUD) | 7 (4.0%) | 5 (4.6%) | 2 (3.0%) | |
| Complete remission | 0.848 | |||
| CR1 | 168 (96.6%) | 105 (97.2%) | 63 (95.5%) | |
| CR2 | 6 (3.4%) | 3 (2.8%) | 3 (4.5%) | |
| WT1 level § at pre-HSCT | 0.250 | |||
| Low | 126 (72.4%) | 82 (75.9%) | 44 (66.7%) | |
| High | 48 (27.6%) | 26 (24.1%) | 22 (33.3%) |
| Univariate | Multivariate | ||||
|---|---|---|---|---|---|
| End Point and Variable I (Total n = 174) | N | HR (95% CI) | p-Values | HR (95% CI) | p-Values |
| OS | |||||
| Age ≥55 years | 60 | 1.65 (1.02–2.65) | 0.039 | 1.60 (0.97–2.63) | 0.065 |
| ELN adverse risk group | 66 | 0.77 (0.47–1.27) | 0.299 | 0.70 (0.43–1.16) | 0.171 |
| Secondary AML | 14 | 0.66(0.24, 1.81) | 0.388 | ||
| Conditioning intensity, RIC | 36 | 1.11 (0.63–1.96) | 0.727 | ||
| Donor type, HID | 76 | 1.69 (1.05–2.75) | 0.029 | 1.62(0.99–2.64) | 0.055 |
| CR2 | 6 | 2.22 (0.81–6.11) | 0.121 | ||
| High WT1 levels | 48 | 1.51 (0.92–2.48) | 0.110 | 1.81(1.09–3.02) | 0.022 |
| RFS | |||||
| Age ≥55 years | 60 | 1.29 (0.84–1.98) | 0.249 | ||
| ELN adverse risk group | 66 | 0.87 (0.56–1.36) | 0.533 | 0.79 (0.50–1.23) | 0.296 |
| Secondary AML | 14 | 1.01 (0.46–2.19) | 0.984 | ||
| Conditioning intensity, RIC | 36 | 1.04 (0.61–1.78) | 0.881 | ||
| Donor type, HID | 76 | 1.41 (0.92–2.17) | 0.118 | ||
| CR2 | 6 | 2.40 (0.97–5.93) | 0.058 | 1.84 (0.73–4.64) | 0.198 |
| High WT1 levels | 48 | 2.06 (0.83–5.10) | 0.003 | 1.92 (1.21–3.03) | 0.005 |
| CIR | |||||
| Age ≥55 years | 60 | 0.46 (0.25–0.84) | 0.012 | ||
| ELN adverse risk group | 66 | 1.71 (0.98–3.01) | 0.060 | 1.32 (0.73–2.36) | 0.360 |
| Secondary AML | 14 | 1.38 (0.56–3.42) | 0.488 | ||
| Conditioning intensity, RIC | 36 | 0.64 (0.28–1.46) | 0.291 | ||
| Donor type, HID | 76 | 0.8 (0.45–1.41) | 0.440 | ||
| CR2 | 6 | 5.27 (2.20–12.6) | 0.005 | 2.67 (1.20–5.94) | 0.016 |
| High WT1 level | 48 | 4.85 (2.74–8.59) | <0.001 | 4.22 (2.28–7.81) | <0.001 |
| NRM | |||||
| Age ≥55 years | 60 | 1.62 (2.19–11.6) | <0.001 | 3.90 (1.66–9.15) | 0.002 |
| ELN adverse risk group | 66 | 0.36 (0.16–0.82) | 0.015 | 0.39 (0.17–0.86) | 0.020 |
| Secondary AML | 14 | 0.66 (0.16–2.70) | 0.564 | ||
| Conditioning intensity, RIC | 36 | 1.61 (0.78–3.34) | 0.196 | ||
| Donor type, HID | 76 | 2.45 (1.25–4.83) | 0.009 | 1.76 (0.92–3.39) | 0.090 |
| CR2 | 6 | - | >0.999 | ||
| High WT1 levels | 48 | 0.31 (0.11–0.89) | 0.030 | 0.46 (0.15–1.40) | 0.174 |
Publisher’s Note: MDPI stays neutral with regard to jurisdictional claims in published maps and institutional affiliations. |
© 2022 by the authors. Licensee MDPI, Basel, Switzerland. This article is an open access article distributed under the terms and conditions of the Creative Commons Attribution (CC BY) license (https://creativecommons.org/licenses/by/4.0/).
Share and Cite
Kim, T.-Y.; Park, S.; Kwag, D.; Lee, J.-H.; Lee, J.; Min, G.-J.; Park, S.-S.; Jeon, Y.-W.; Shin, S.-H.; Yahng, S.-A.; et al. Depth of Response to Intensive Chemotherapy Has Significant Prognostic Value among Acute Myeloid Leukemia (AML) Patients Undergoing Allogeneic Hematopoietic Stem-Cell Transplantation with Intermediate or Adverse Risk at Diagnosis Compared to At-Risk Group According to European Leukemia Net 2017 Risk Stratification. Cancers 2022, 14, 3199. https://doi.org/10.3390/cancers14133199
Kim T-Y, Park S, Kwag D, Lee J-H, Lee J, Min G-J, Park S-S, Jeon Y-W, Shin S-H, Yahng S-A, et al. Depth of Response to Intensive Chemotherapy Has Significant Prognostic Value among Acute Myeloid Leukemia (AML) Patients Undergoing Allogeneic Hematopoietic Stem-Cell Transplantation with Intermediate or Adverse Risk at Diagnosis Compared to At-Risk Group According to European Leukemia Net 2017 Risk Stratification. Cancers. 2022; 14(13):3199. https://doi.org/10.3390/cancers14133199
Chicago/Turabian StyleKim, Tong-Yoon, Silvia Park, Daehun Kwag, Jong-Hyuk Lee, Joonyeop Lee, Gi-June Min, Sung-Soo Park, Young-Woo Jeon, Seung-Hawn Shin, Seung-Ah Yahng, and et al. 2022. "Depth of Response to Intensive Chemotherapy Has Significant Prognostic Value among Acute Myeloid Leukemia (AML) Patients Undergoing Allogeneic Hematopoietic Stem-Cell Transplantation with Intermediate or Adverse Risk at Diagnosis Compared to At-Risk Group According to European Leukemia Net 2017 Risk Stratification" Cancers 14, no. 13: 3199. https://doi.org/10.3390/cancers14133199
APA StyleKim, T.-Y., Park, S., Kwag, D., Lee, J.-H., Lee, J., Min, G.-J., Park, S.-S., Jeon, Y.-W., Shin, S.-H., Yahng, S.-A., Yoon, J.-H., Lee, S.-E., Cho, B.-S., Eom, K.-S., Kim, Y.-J., Lee, S., Min, C.-K., Cho, S.-G., Lee, J.-W., & Kim, H.-J. (2022). Depth of Response to Intensive Chemotherapy Has Significant Prognostic Value among Acute Myeloid Leukemia (AML) Patients Undergoing Allogeneic Hematopoietic Stem-Cell Transplantation with Intermediate or Adverse Risk at Diagnosis Compared to At-Risk Group According to European Leukemia Net 2017 Risk Stratification. Cancers, 14(13), 3199. https://doi.org/10.3390/cancers14133199

