Semi-Mechanistic Model for the Antitumor Response of a Combination Cocktail of Immuno-Modulators in Non-Inflamed (Cold) Tumors
Abstract
Simple Summary
Abstract
1. Introduction
2. Materials and Methods
2.1. Study Design
2.2. General Description of the Data
2.3. Data Analysis
2.3.1. Model Selection
2.3.2. Model Evaluation and Validation
2.3.3. Model Building
2.3.4. Model for Unperturbed Tumor Growth
2.3.5. K-PD Models
2.3.6. Model for CD8 Activation, Expansion, and Tumor Response
2.3.7. Model for Tumor Resistance to Treatment Effects
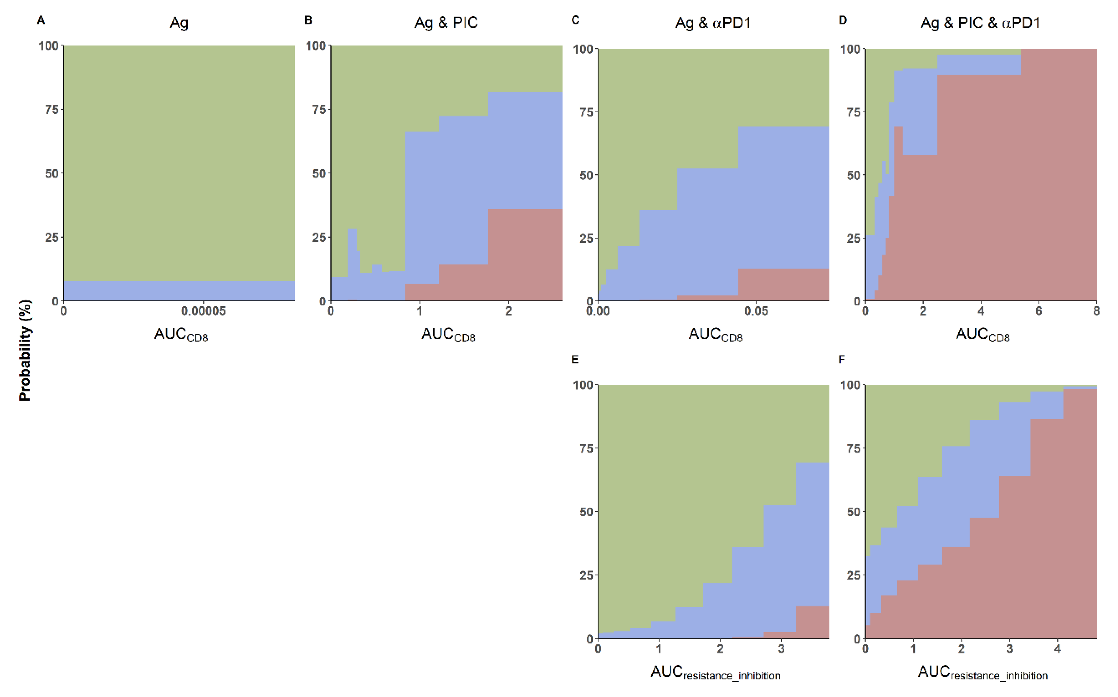
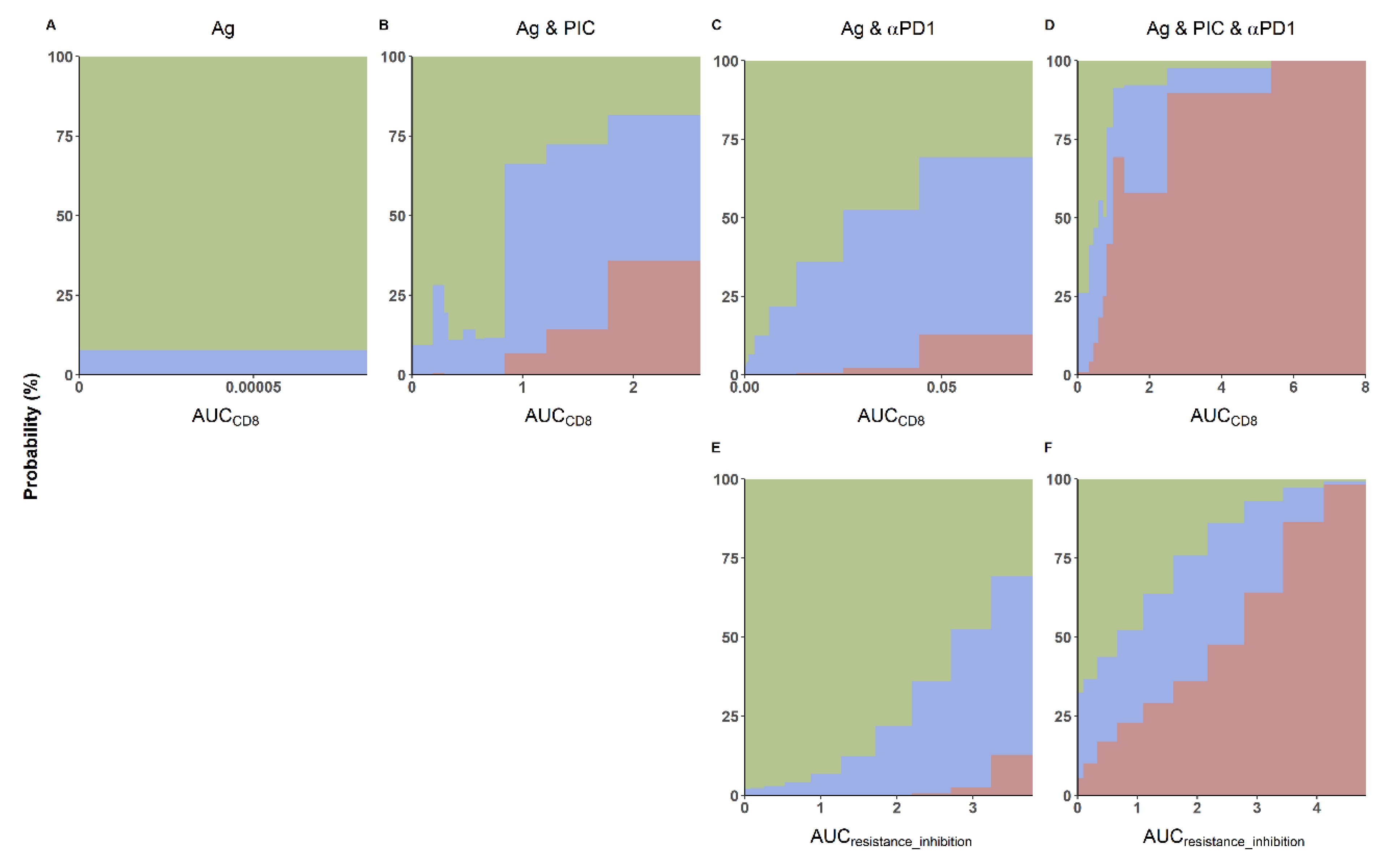
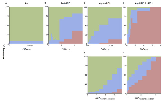
2.4. Model Exploration
3. Results
3.1. Mathematical Model
3.2. Model Evaluation and Validation
3.3. Model Exploration
4. Discussion
5. Conclusions
Author Contributions
Funding
Institutional Review Board Statement
Informed Consent Statement
Data Availability Statement
Conflicts of Interest
References
- Chen, D.S.; Mellman, I. Oncology meets immunology: The cancer-immunity cycle. Immunity 2013, 39, 1–10. [Google Scholar] [CrossRef]
- Barbari, C.; Fontaine, T.; Parajuli, P.; Lamichhane, N.; Jakubski, S.; Lamichhane, P.; Deshmukh, R.R. Immunotherapies and combination strategies for immuno-oncology. Int. J. Mol. Sci. 2020, 21, 5009. [Google Scholar] [CrossRef]
- Fridman, W.H.; Zitvogel, L.; Sautès-Fridman, C.; Kroemer, G. The immune contexture in cancer prognosis and treatment. Nat. Rev. Clin. Oncol. 2017, 14, 717–734. [Google Scholar] [CrossRef]
- Lee, L.; Gupta, M.; Sahasranaman, S. Immune Checkpoint inhibitors: An introduction to the next-generation cancer immunotherapy. J. Clin. Pharmacol. 2016, 56, 157–169. [Google Scholar] [CrossRef]
- Sun, L.; Zhang, L.; Yu, J.; Zhang, Y.; Pang, X.; Ma, C.; Shen, M.; Ruan, S.; Wasan, H.S.; Qiu, S. Clinical efficacy and safety of anti-PD-1/PD-L1 inhibitors for the treatment of advanced or metastatic cancer: A systematic review and meta-analysis. Sci. Rep. 2020, 10. [Google Scholar] [CrossRef]
- Lipson, E.J.; Forde, P.M.; Hammers, H.J.; Emens, L.A.; Taube, J.M.; Topalian, S.L. Antagonists of PD-1 and PD-L1 in Cancer Treatment. Semin. Oncol. 2015, 42, 587–600. [Google Scholar] [CrossRef] [PubMed]
- Darvin, P.; Toor, S.M.; Sasidharan Nair, V.; Elkord, E. Immune checkpoint inhibitors: Recent progress and potential biomarkers. Exp. Mol. Med. 2018, 50, 165. [Google Scholar] [CrossRef]
- Polk, A.; Svane, I.M.; Andersson, M.; Nielsen, D. Checkpoint inhibitors in breast cancer—Current status. Cancer Treat. Rev. 2018, 63, 122–134. [Google Scholar] [CrossRef] [PubMed]
- Bonaventura, P.; Shekarian, T.; Alcazer, V.; Valladeau-Guilemond, J.; Valsesia-Wittmann, S.; Amigorena, S.; Caux, C.; Depil, S. Cold tumors: A therapeutic challenge for immunotherapy. Front. Immunol. 2019, 10, 168. [Google Scholar] [CrossRef]
- Kon, E.; Benhar, I. Immune checkpoint inhibitor combinations: Current efforts and important aspects for success. Drug Resist. Updat. 2019, 45, 13–29. [Google Scholar] [CrossRef] [PubMed]
- Ochoa de Olza, M.; Navarro Rodrigo, B.; Zimmermann, S.; Coukos, G. Turning up the heat on non-immunoreactive tumours: Opportunities for clinical development. Lancet Oncol. 2020, 21, e419–e430. [Google Scholar] [CrossRef]
- Parra-Guillen, Z.P.; Berraondo, P.; Ribba, B.; Trocóniz, I.F. Modeling Tumor Response after Combined Administration of Different Immune-Stimulatory Agents. J. Pharmacol. Exp. Ther. 2013, 346, 432–442. [Google Scholar] [CrossRef] [PubMed]
- Berraondo, P.; Nouzé, C.; Préville, X.; Ladant, D.; Leclerc, C. Eradication of large tumors in mice by a tritherapy targeting the innate, adaptive, and regulatory components of the immune system. Cancer Res. 2007, 67, 8847–8855. [Google Scholar] [CrossRef] [PubMed]
- Le, D.T.; Lutz, E.; Uram, J.N.; Sugar, E.A.; Onners, B.; Solt, S.; Zheng, L.; Diaz, L.A.; Donehower, R.C.; Jaffee, E.M.; et al. Evaluation of ipilimumab in combination with allogeneic pancreatic tumor cells transfected with a GM-CSF gene in previously treated pancreatic cancer. J. Immunother. 2013, 36, 382–389. [Google Scholar] [CrossRef] [PubMed]
- Zalba, S.; Belsúe, V.; Topp, B.; de Alwis, D.; Alvarez, M.; Trocóniz, I.F.; Berraondo, P.; Garrido, M.J. Modulation of intratumoural myeloid cells, the hallmark of the anti-tumour efficacy induced by a triple combination: Tumour-associated peptide, TLR-3 ligand and α-PD-1. Br. J. Cancer 2021. [Google Scholar] [CrossRef] [PubMed]
- Massarelli, E.; William, W.; Johnson, F.; Kies, M.; Ferrarotto, R.; Guo, M.; Feng, L.; Lee, J.J.; Tran, H.; Kim, Y.U.; et al. Combining Immune Checkpoint Blockade and Tumor-Specific Vaccine for Patients with Incurable Human Papillomavirus 16-Related Cancer: A Phase 2 Clinical Trial. JAMA Oncol. 2019, 5, 67–73. [Google Scholar] [CrossRef] [PubMed]
- Gatti-Mays, M.E.; Redman, J.M.; Collins, J.M.; Bilusic, M. Cancer vaccines: Enhanced immunogenic modulation through therapeutic combinations. Hum. Vaccines Immunother. 2017, 13, 2561–2574. [Google Scholar] [CrossRef]
- Emens, L.A.; Ascierto, P.A.; Darcy, P.K.; Demaria, S.; Eggermont, A.M.M.; Redmond, W.L.; Seliger, B.; Marincola, F.M. Cancer immunotherapy: Opportunities and challenges in the rapidly evolving clinical landscape. Eur. J. Cancer 2017, 81, 116–129. [Google Scholar] [CrossRef]
- Salem, M.L.; Kadima, A.N.; Cole, D.J.; Gillanders, W.E. Defining the Antigen-Specific T-Cell Response to Vaccination and Poly(I:C)/TLR3 Signaling. J. Immunother. 2005, 28, 220–228. [Google Scholar] [CrossRef]
- Peskov, K.; Azarov, I.; Chu, L.; Voronova, V.; Kosinsky, Y.; Helmlinger, G. Quantitative mechanistic modeling in support of pharmacological therapeutics development in immuno-oncology. Front. Immunol. 2019, 10, 924. [Google Scholar] [CrossRef]
- Jafarnejad, M.; Gong, C.; Gabrielson, E.; Bartelink, I.H.; Vicini, P.; Wang, B.; Narwal, R.; Roskos, L.; Popel, A.S. A Computational Model of Neoadjuvant PD-1 Inhibition in Non-Small Cell Lung Cancer. AAPS J. 2019, 21, 1–14. [Google Scholar] [CrossRef]
- Wang, H.; Sové, R.J.; Jafarnejad, M.; Rahmeh, S.; Jaffee, E.M.; Stearns, V.; Torres, E.T.R.; Connolly, R.M.; Popel, A.S. Conducting a Virtual Clinical Trial in HER2-Negative Breast Cancer Using a Quantitative Systems Pharmacology Model With an Epigenetic Modulator and Immune Checkpoint Inhibitors. Front. Bioeng. Biotechnol. 2020, 8, 141. [Google Scholar] [CrossRef] [PubMed]
- Coletti, R.; Leonardelli, L.; Parolo, S.; Marchetti, L. A QSP model of prostate cancer immunotherapy to identify effective combination therapies. Sci. Rep. 2020, 10, 1–18. [Google Scholar] [CrossRef] [PubMed]
- Parra-Guillen, Z.P.; Berraondo, P.; Grenier, E.; Ribba, B.; Troconiz, I.F. Mathematical model approach to describe tumour response in mice after vaccine administration and its applicability to immune-stimulatory cytokine-based strategies. AAPS J. 2013, 15, 797–807. [Google Scholar] [CrossRef] [PubMed]
- Kosinsky, Y.; Dovedi, S.J.; Peskov, K.; Voronova, V.; Chu, L.; Tomkinson, H.; Al-Huniti, N.; Stanski, D.R.; Helmlinger, G. Radiation and PD-(L)1 treatment combinations: Immune response and dose optimization via a predictive systems model. J. Immunother. Cancer 2018, 6, 17. [Google Scholar] [CrossRef] [PubMed]
- Tomayko, M.M.; Reynolds, C.P. Determination of subcutaneous tumor size in athymic (nude) mice. Cancer Chemother. Pharmacol. 1989, 24, 148–154. [Google Scholar] [CrossRef] [PubMed]
- [Win64] Monolix Suite 2019R1. Available online: https://lixoft.com/download/win64-monolix-suite-2019r1/ (accessed on 14 September 2021).
- Available online: http://cran.r-project.org (accessed on 14 September 2021).
- Bergstrand, M.; Karlsson, M.O. Handling data below the limit of quantification in mixed effect models. AAPS J. 2009, 11, 371–380. [Google Scholar] [CrossRef] [PubMed]
- Claret, L.; Girard, P.; Hoff, P.M.; Van Cutsem, E.; Zuideveld, K.P.; Jorga, K.; Fagerberg, J.; Bruno, R. Model-Based Prediction of Phase III Overall Survival in Colorectal Cancer on the Basis of Phase II Tumor Dynamics. J. Clin. Oncol. 2009, 27, 4103–4108. [Google Scholar] [CrossRef]
- Panetta, J.C.; Schaiquevich, P.; Santana, V.M.; Stewart, C.F. Using Pharmacokinetic and Pharmacodynamic Modeling and Simulation to Evaluate Importance of Schedule in Topotecan Therapy for Pediatric Neuroblastoma. Clin. Cancer Res. 2008, 14, 318–325. [Google Scholar] [CrossRef][Green Version]
- Jacqmin, P.; Snoeck, E.; Van Schaick, E.A.A.; Gieschke, R.; Pillai, P.; Steimer, J.-L.L.; Girard, P. Modelling response time profiles in the absence of drug concentrations: Definition and performance evaluation of the K-PD model. J. Pharmacokinet. Pharmacodyn. 2007, 34, 57–85. [Google Scholar] [CrossRef] [PubMed]
- Diack, C.; Schwab, D.; Cosson, V.; Buchheit, V.; Mazer, N.; Frey, N. A Baseline Score to Predict Response to Ranibizumab Treatment in Neovascular Age-Related Macular Degeneration. Transl. Vis. Sci. Technol. 2021, 10, 11. [Google Scholar] [CrossRef] [PubMed]
- Krishnan, S.M.; Laarif, S.S.; Bender, B.C.; Quartino, A.L.; Friberg, L.E. Tumor growth inhibition modeling of individual lesion dynamics and interorgan variability in HER2-negative breast cancer patients treated with docetaxel. CPT Pharmacometrics Syst. Pharmacol. 2021, 10, 511. [Google Scholar] [CrossRef]
- Arribillaga, L.; Echeverria, I.; Belsue, V.; Gomez, T.; Lozano, T.; Casares, N.; Villanueva, L.; Domingos-Pereira, S.; Romero, P.J.; Nardelli-Haefliger, D.; et al. Bivalent therapeutic vaccine against HPV16/18 genotypes consisting of a fusion protein between the extra domain A from human fibronectin and HPV16/18 E7 viral antigens. J. Immunother. C47.ancer 2020, 8, 704. [Google Scholar] [CrossRef] [PubMed]
- Ma, H.; Pilvankar, M.; Wang, J.; Giragossian, C.; Popel, A.S. Quantitative Systems Pharmacology Modeling of PBMC-Humanized Mouse to Facilitate Preclinical Immuno-oncology Drug Development. ACS Pharmacol. Transl. Sci. 2020, 2021, 225. [Google Scholar] [CrossRef]
- De Pillis, L.G.; Radunskaya, A.E.; Wiseman, C.L. A validated mathematical model of cell-mediated immune response to tumor growth. Cancer Res. 2005, 65, 7950–7958. [Google Scholar] [CrossRef]
- Sultan, H.; Wu, J.; Fesenkova, V.I.; Fan, A.E.; Addis, D.; Salazar, A.M.; Celis, E. Poly-IC enhances the effectiveness of cancer immunotherapy by promoting T cell tumor infiltration. J. Immunother. Cancer 2020, 8, e001224. [Google Scholar] [CrossRef] [PubMed]
- Ma, H.; Wang, H.; Sové, R.J.; Wang, J.; Giragossian, C.; Popel, A.S. Combination therapy with T cell engager and PD-L1 blockade enhances the antitumor potency of T cells as predicted by a QSP model. J. Immunother. Cancer 2020, 8. [Google Scholar] [CrossRef]
- Wang, H.; Ma, H.; Sové, R.J.; Emens, L.A.; Popel, A.S. Quantitative systems pharmacology model predictions for efficacy of atezolizumab and nab-paclitaxel in triple-negative breast cancer. J. Immunother. Cancer 2021, 9, e002100. [Google Scholar] [CrossRef] [PubMed]
- Norton, L. A Gompertzian Model of Human Breast Cancer Growth. Cancer Res. 1988, 48, 7067–7071. [Google Scholar] [PubMed]
- Simeoni, M.; Magni, P.; Cammia, C.; De Nicolao, G.; Croci, V.; Pesenti, E.; Germani, M.; Poggesi, I.; Rocchetti, M. Predictive Pharmacokinetic-Pharmacodynamic Modeling of Tumor Growth Kinetics in Xenograft Models after Administration of Anticancer Agents. Cancer Res. 2004, 64, 1094–1101. [Google Scholar] [CrossRef]
- Tsamandouras, N.; Rostami-Hodjegan, A.; Aarons, L. Combining the “bottom up” and “top down” approaches in pharmacokinetic modelling: Fitting PBPK models to observed clinical data. Br. J. Clin. Pharmacol. 2015, 79, 48–55. [Google Scholar] [CrossRef] [PubMed]
- Mangas-Sanjuan, V.; Buil-Bruna, N.; Garrido, M.J.; Soto, E.; Trocóniz, I.F. Semimechanistic cell-cycle type-based pharmacokinetic/pharmacodynamic model of chemotherapy-induced neutropenic effects of diflomotecan under different dosing schedules. J. Pharmacol. Exp. Ther. 2015, 354, 55–64. [Google Scholar] [CrossRef] [PubMed]
- Popovic, A.; Jaffee, E.M.; Zaidi, N. Emerging strategies for combination checkpoint modulators in cancer immunotherapy. J. Clin. Investig. 2018, 128, 3209–3218. [Google Scholar] [CrossRef] [PubMed]
- Mathoulin-Pelissier, S.; Gourgou-Bourgade, S.; Bonnetain, F.; Kramar, A. Survival end point reporting in randomized cancer clinical trials: A review of major journals. J. Clin. Oncol. 2008, 26, 3721–3726. [Google Scholar] [CrossRef] [PubMed]
- Speiser, D.E.; Liénard, D.; Rufer, N.; Rubio-Godoy, V.; Rimoldi, D.; Lejeune, F.; Krieg, A.M.; Cerottini, J.C.; Romero, P. Rapid and strong human CD8+ T cell responses to vaccination with peptide, IFA, and CpG oligodeoxynucleotide 7909. J. Clin. Investig. 2005, 115, 739–746. [Google Scholar] [CrossRef] [PubMed]
- Ouerdani, A.; Goutagny, S.; Kalamarides, M.; Trocóniz, I.F.; Ribba, B. Mechanism-based modeling of the clinical effects of bevacizumab and everolimus on vestibular schwannomas of patients with neurofibromatosis type 2. Cancer Chemother. Pharmacol. 2016, 77, 1263–1273. [Google Scholar] [CrossRef]
- Betts, A.M.; Haddish-Berhane, N.; Tolsma, J.; Jasper, P.; King, L.E.; Sun, Y.; Chakrapani, S.; Shor, B.; Boni, J.; Johnson, T.R. Preclinical to Clinical Translation of Antibody-Drug Conjugates Using PK/PD Modeling: A Retrospective Analysis of Inotuzumab Ozogamicin. AAPS J. 2016, 18, 1101–1116. [Google Scholar] [CrossRef] [PubMed]






| Variable | Control | Monotherapy | Bi-Therapy | Triple-Therapy | ||||
|---|---|---|---|---|---|---|---|---|
| Ag | PIC | αPD1 | Ag and PIC | Ag and αPD1 | PIC and αPD1 | Ag and PIC and αPD1 | ||
| Number of animals | 27 | 6 | 6 | 12 | 12 | 12 | 12 | 34 |
| Observations | 190 | 61 | 56 | 124 | 256 | 241 | 142 | 894 |
| % of BQL | 39.2 | 0 | 0 | 0 | 33.2 | 33.1 | 0 | 39.2 |
| Antigen dose (μg) | 100 | 100 | 100 | 100 | ||||
| PIC dose (μg) | 50 | 50 | 50 | 50 | ||||
| αPD1 dose (μg) | 200 | 200 | 200 | 200 | ||||
| Biological Processes | Model Assumption | Experimental Data |
|---|---|---|
| Exponential tumor growth of unperturbed tumors. | Exponential growth is governed by a parameter (λ) and dependent on TS (Equation (2)) [30,31]. | Control (untreated) data was used to estimate unperturbed tumor growth dynamics. |
| Once the therapeutic agent enters the systemic circulation, it distributes fast and it is eliminated following the first-order rate process [32]. | Exponential decay for all the administered treatments (kinetic-pharmacodynamics (K-PD) approach) [32] (Equation (3)) [24,32,33,34]. | Absence of drug plasma concentrations for the three different agents. |
| Activation of APCs by the Ag is needed to trigger a therapeutic effect [1,13,17]. | APCs will only be present in the system if the antigen is administered (Equation (4) when i = Ag) [24]. | Even though tumor shrinkage is not observed in any of the mice receiving the Ag in monotherapy, there is one that slows tumor progression and can do to the cold nature of the tumor that can be considered as a responder. Tumor shrinkage was only observed in bi-therapy of Ag and PIC, or Ag and αPD1, or triple-therapy (Ag and PIC and αPD1) |
| APCs trigger the activation and proliferation of naïve CD8 T cells [1,35]. | CD8 cells are activated by APCs (Equation (5)) [23]. | |
| Activated CD8 have demonstrated to play an essential role in the antitumor response [1,15]. | Tumor cell death is promoted by the activated CD8 T cells (CD8act) (Equation (6)) [23,36,37]. | |
| PIC in combination with an antigen such as E7 long peptide, induces an increase in CD8+ T cells [15,38]. | Exacerbation and maintenance by a toll-like receptor of the process activated by the antigens (Equations (7) and (8)) [12]. | Mice treated with Ag and PIC showed a higher tumor response compared to Ag monotherapy. |
| Some of the resistance mechanisms developed by tumors include the expression of PD-1 in CD8 cells, regulatory T cells, or MDSCs. The administration of immune checkpoints will inhibit some of these mechanisms, increasing the response to immunotherapy [2,15,18]. | Presence of tumor resistance mechanisms used to evade CD8 T cells-mediated death such as the recruitment of immune suppressor cells (e.g., Treg) and expression of the PD-L1 ligand leading to CD8 T cell exhaustion, αPD1 inhibits the tumor resistance mechanisms, which can be at least partly blocked by immune checkpoint inhibitors (Equations (8) and (9)) [21,23,39,40]. | After the administration of Ag and αPD1, tumor response is observed in a certain number of mice. |
| Parameter | Estimate (RSE %) | (5th–95th) | IAV (RSE %) | (5th–95th) |
|---|---|---|---|---|
| TS0 (mm3) | 19.5 (6.88) | (16.03–22.74) | NE | NE |
| KAg (day−1) | 4.93 | NE | NE | NE |
| (day−1) | 0.194 (3.32) | (0.183–0.209) | 0.557 (15.8) | (0.483–0.603) |
| (au × day−1) | 1.63 (17.2) | (1.27–2.27) | 1.24 (43.2) | (0.607–1.36) |
| KPIC (day−1) | 0.721 (42.4) | (0.347–4.194) | 3.17 (67.7) | (1.44–953) |
| PIC (au−1) | 1200 (4.48) | (601.8–1765) | NE | NE |
| KαPD1 (day−1) | 2.3 × 10−3 (79.1) | (6.43 × 10−5–9.09 × 10−3) | 5.16 (42.5) | (1.67–214) |
| αPD1 (au−1) | 821 (2.17) | (548.2–913.3) | NE | NE |
| Residual error (Log (mm3)) | 0.597 (4.12) | (0.513–0.678) | NE | NE |
Publisher’s Note: MDPI stays neutral with regard to jurisdictional claims in published maps and institutional affiliations. |
© 2021 by the authors. Licensee MDPI, Basel, Switzerland. This article is an open access article distributed under the terms and conditions of the Creative Commons Attribution (CC BY) license (https://creativecommons.org/licenses/by/4.0/).
Share and Cite
Sancho-Araiz, A.; Zalba, S.; Garrido, M.J.; Berraondo, P.; Topp, B.; de Alwis, D.; Parra-Guillen, Z.P.; Mangas-Sanjuan, V.; Trocóniz, I.F. Semi-Mechanistic Model for the Antitumor Response of a Combination Cocktail of Immuno-Modulators in Non-Inflamed (Cold) Tumors. Cancers 2021, 13, 5049. https://doi.org/10.3390/cancers13205049
Sancho-Araiz A, Zalba S, Garrido MJ, Berraondo P, Topp B, de Alwis D, Parra-Guillen ZP, Mangas-Sanjuan V, Trocóniz IF. Semi-Mechanistic Model for the Antitumor Response of a Combination Cocktail of Immuno-Modulators in Non-Inflamed (Cold) Tumors. Cancers. 2021; 13(20):5049. https://doi.org/10.3390/cancers13205049
Chicago/Turabian StyleSancho-Araiz, Aymara, Sara Zalba, María J. Garrido, Pedro Berraondo, Brian Topp, Dinesh de Alwis, Zinnia P. Parra-Guillen, Víctor Mangas-Sanjuan, and Iñaki F. Trocóniz. 2021. "Semi-Mechanistic Model for the Antitumor Response of a Combination Cocktail of Immuno-Modulators in Non-Inflamed (Cold) Tumors" Cancers 13, no. 20: 5049. https://doi.org/10.3390/cancers13205049
APA StyleSancho-Araiz, A., Zalba, S., Garrido, M. J., Berraondo, P., Topp, B., de Alwis, D., Parra-Guillen, Z. P., Mangas-Sanjuan, V., & Trocóniz, I. F. (2021). Semi-Mechanistic Model for the Antitumor Response of a Combination Cocktail of Immuno-Modulators in Non-Inflamed (Cold) Tumors. Cancers, 13(20), 5049. https://doi.org/10.3390/cancers13205049

