Associations between Prediagnostic Circulating Bilirubin Levels and Risk of Gastrointestinal Cancers in the UK Biobank
Abstract
Simple Summary
Abstract
1. Introduction
2. Methods
2.1. Study Population
2.2. Blood Collection and Laboratory Methods
2.3. Follow-Up and Outcomes
2.4. Statistical Analysis
3. Results
3.1. General Characteristics of the Study Population
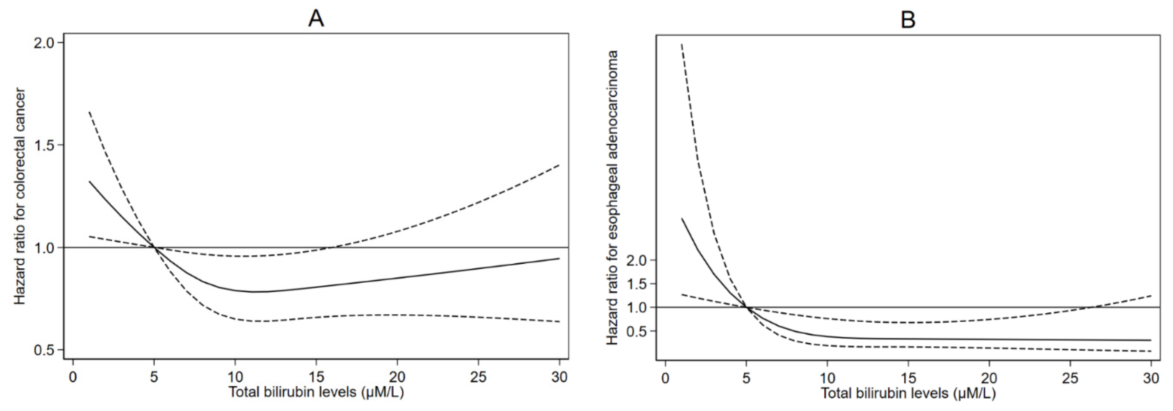
3.2. Associations between Total Bilirubin Levels and Risk of GI Cancers
3.3. Subgroup and Sensitivity Analyses
4. Discussion
5. Conclusions
Supplementary Materials
Author Contributions
Funding
Institutional Review Board Statement
Informed Consent Statement
Data Availability Statement
Acknowledgments
Conflicts of Interest
References
- Arnold, M.; Abnet, C.C.; Neale, R.E.; Vignat, J.; Giovannucci, E.L.; McGlynn, K.A.; Bray, F. Global Burden of 5 Major Types of Gastrointestinal Cancer. Gastroenterology 2020, 159, 335–349.e15. [Google Scholar] [CrossRef] [PubMed]
- Atay, A.E.; Esen, B.; Gokmen, E.S. Chapter 3—Oxidative Stress and Gastrointestinal System Cancers. In Gastrointestinal Tissue, Oxidative Stress and Dietary Antioxidants; Academic Press: Cambridge, MA, USA, 2017; pp. 29–51. [Google Scholar]
- García-Guede, Á.; Vera, O.; Ibáñez-de-Caceres, I. When Oxidative Stress Meets Epigenetics: Implications in Cancer Development. Antioxidants 2020, 9, 468. [Google Scholar] [CrossRef] [PubMed]
- Bjelakovic, G.; Nikolova, D.; Simonetti, R.G.; Gluud, C. Antioxidant supplements for preventing gastrointestinal cancers. Cochrane Database Syst. Rev. 2008, Cd004183. [Google Scholar] [CrossRef]
- Kurutas, E.B. The importance of antioxidants which play the role in cellular response against oxidative/nitrosative stress: Current state. Nutr. J. 2016, 15, 71. [Google Scholar] [CrossRef]
- Fevery, J. Bilirubin in clinical practice: A review. Liver Int. 2008, 28, 592–605. [Google Scholar] [CrossRef]
- Hansen, T.W.; Mathiesen, S.B.; Walaas, S.I. Bilirubin has widespread inhibitory effects on protein phosphorylation. Pediatric Res. 1996, 39, 1072–1077. [Google Scholar] [CrossRef]
- Rodrigues, C.M.; Sola, S.; Brito, M.A.; Brites, D.; Moura, J.J. Bilirubin directly disrupts membrane lipid polarity and fluidity, protein order, and redox status in rat mitochondria. J. Hepatol. 2002, 36, 335–341. [Google Scholar] [CrossRef]
- Sedlak, T.W.; Saleh, M.; Higginson, D.S.; Paul, B.D.; Juluri, K.R.; Snyder, S.H. Bilirubin and glutathione have complementary antioxidant and cytoprotective roles. Proc. Natl. Acad. Sci. USA 2009, 106, 5171–5176. [Google Scholar] [CrossRef]
- Wagner, K.H.; Wallner, M.; Mölzer, C.; Gazzin, S.; Bulmer, A.C.; Tiribelli, C.; Vitek, L. Looking to the horizon: The role of bilirubin in the development and prevention of age-related chronic diseases. Clin. Sci. 2015, 129, 1–25. [Google Scholar] [CrossRef]
- DiNicolantonio, J.J.; McCarty, M.F.; O’Keefe, J.H. Antioxidant bilirubin works in multiple ways to reduce risk for obesity and its health complications. Open Heart 2018, 5, e000914. [Google Scholar] [CrossRef]
- Freisling, H.; Seyed Khoei, N.; Viallon, V.; Wagner, K.H. Gilbert’s syndrome, circulating bilirubin and lung cancer: A genetic advantage? Thorax 2020, 75, 916–917. [Google Scholar] [CrossRef]
- Seyed Khoei, N.; Jenab, M.; Murphy, N.; Banbury, B.L.; Carreras-Torres, R.; Viallon, V.; Kühn, T.; Bueno-de-Mesquita, B.; Aleksandrova, K.; Cross, A.J.; et al. Circulating bilirubin levels and risk of colorectal cancer: Serological and Mendelian randomization analyses. BMC Med. 2020, 18, 229. [Google Scholar] [CrossRef]
- Beutler, E.; Gelbart, T.; Demina, A. Racial variability in the UDP-glucuronosyltransferase 1 (UGT1A1) promoter: A balanced polymorphism for regulation of bilirubin metabolism? Proc. Natl. Acad. Sci. USA 1998, 95, 8170–8174. [Google Scholar] [CrossRef]
- Horsfall, L.J.; Burgess, S.; Hall, I.; Nazareth, I. Genetically raised serum bilirubin levels and lung cancer: A cohort study and Mendelian randomisation using UK Biobank. Thorax 2020, 75, 955–964. [Google Scholar] [CrossRef]
- Horsfall, L.J.; Zeitlyn, D.; Tarekegn, A.; Bekele, E.; Thomas, M.G.; Bradman, N.; Swallow, D.M. Prevalence of clinically relevant UGT1A alleles and haplotypes in African populations. Ann. Hum. Genet. 2011, 75, 236–246. [Google Scholar] [CrossRef]
- The Human Protein Atlas. Available online: https://wwwproteinatlasorg/ENSG00000241635-UGT1A1/tissue (accessed on 1 February 2021).
- Hamoud, A.-R.; Weaver, L.; Stec, D.E.; Hinds, T.D., Jr. Bilirubin in the Liver-Gut Signaling Axis. Trends Endocrinol. Metab. TEM 2018, 29, 140–150. [Google Scholar] [CrossRef]
- Molzer, C.; Huber, H.; Diem, K.; Wallner, M.; Bulmer, A.C.; Wagner, K.H. Extracellular and intracellular anti-mutagenic effects of bile pigments in the Salmonella typhimurium reverse mutation assay. Toxicol. In Vitro 2013, 27, 433–437. [Google Scholar] [CrossRef]
- Mölzer, C.; Huber, H.; Steyrer, A.; Ziesel, G.; Ertl, A.; Plavotic, A.; Wallner, M.; Bulmer, A.C.; Wagner, K.H. In vitro antioxidant capacity and antigenotoxic properties of protoporphyrin and structurally related tetrapyrroles. Free Radic. Res. 2012, 46, 1369–1377. [Google Scholar] [CrossRef]
- Mölzer, C.; Huber, H.; Steyrer, A.; Ziesel, G.V.; Wallner, M.; Hong, H.T.; Blanchfield, J.T.; Bulmer, A.C.; Wagner, K.-H. Bilirubin and related tetrapyrroles inhibit food-borne mutagenesis: A mechanism for antigenotoxic action against a model epoxide. J. Nat. Prod. 2013, 76, 1958–1965. [Google Scholar] [CrossRef]
- Mölzer, C.; Pfleger, B.; Putz, E.; Roßmann, A.; Schwarz, U.; Wallner, M.; Bulmer, A.C.; Wagner, K.H. In vitro DNA-damaging effects of intestinal and related tetrapyrroles in human cancer cells. Exp. Cell Res. 2013, 319, 536–545. [Google Scholar] [CrossRef]
- Seyed Khoei, N.; Anton, G.; Peters, A.; Freisling, H.; Wagner, K.H. The Association between Serum Bilirubin Levels and Colorectal Cancer Risk: Results from the Prospective Cooperative Health Research in the Region of Augsburg (KORA) Study in Germany. Antioxidants 2020, 9, 908. [Google Scholar] [CrossRef]
- Stepien, M.; Fedirko, V.; Duarte-Salles, T.; Ferrari, P.; Freisling, H.; Trepo, E.; Trichopoulou, A.; Bamia, C.; Weiderpass, E.; Olsen, A.; et al. Prospective association of liver function biomarkers with development of hepatobiliary cancers. Cancer Epidemiol. 2016, 40, 179–187. [Google Scholar] [CrossRef]
- Dura, P.; Salomon, J.; Te Morsche, R.H.; Roelofs, H.M.; Kristinsson, J.O.; Wobbes, T.; Witteman, B.J.; Tan, A.C.; Drenth, J.P.; Peters, W.H. High enzyme activity UGT1A1 or low activity UGT1A8 and UGT2B4 genotypes increase esophageal cancer risk. Int. J. Oncol. 2012, 40, 1789–1796. [Google Scholar]
- Lacko, M.; Roelofs, H.M.; Morsche, R.H.T.; Voogd, A.C.; Ophuis, M.B.O.; Peters, W.H.; Manni, J.J. Genetic polymorphism in the conjugating enzyme UGT1A1 and the risk of head and neck cancer. Int. J. Cancer 2010, 127, 2815–2821. [Google Scholar] [CrossRef]
- Jirásková, A.; Novotný, J.; Novotný, L.; Vodička, P.; Pardini, B.; Naccarati, A.; Schwertner, H.A.; Hubáček, J.A.; Punčochářová, L.; Šmerhovský, Z.; et al. Association of serum bilirubin and promoter variations in HMOX1 and UGT1A1 genes with sporadic colorectal cancer. Int. J. Cancer 2012, 131, 1549–1555. [Google Scholar] [CrossRef]
- Bajro, M.H.; Josifovski, T.; Panovski, M.; Jankulovski, N.; Nestorovska, A.K.; Matevska, N.; Petrusevska, N.; Dimovski, A.J. Promoter length polymorphism in UGT1A1 and the risk of sporadic colorectal cancer. Cancer Genet. 2012, 205, 163–167. [Google Scholar] [CrossRef]
- Sudlow, C.; Gallacher, J.; Allen, N.; Beral, V.; Burton, P.; Danesh, J.; Downey, P.; Elliott, P.; Green, J.; Landray, M.; et al. UK biobank: An open access resource for identifying the causes of a wide range of complex diseases of middle and old age. PLoS Med. 2015, 12, e1001779. [Google Scholar] [CrossRef]
- Fry, D.; Almond, R.; Moffat, S.; Gordon, M.; Singh, P. UK Biobank Biomarker Project—Companion Document to Accompany Serum Biomarker Data; Prepared for UK Biobank Showcase; UK Biobank: Stockport, UK, 2019. [Google Scholar]
- WHO. Available online: http://www.iacr.com.fr/index.php?option=com_content&view=category&layout=blog&id=100&Itemid=577 (accessed on 1 July 2019).
- World Cancer Research Fund. 2018. Available online: https://www.wcrf.org/dietandcancer/resources-and-toolkit (accessed on 1 July 2019).
- Murphy, N.; Knuppel, A.; Papadimitriou, N.; Martin, R.M.; Tsilidis, K.K.; Smith-Byrne, K.; Fensom, G.; Perez-Cornago, A.; Travis, R.C.; Key, T.J.; et al. Insulin-like growth factor-1, insulin-like growth factor-binding protein-3, and breast cancer risk: Observational and Mendelian randomization analyses with ∼430,000 women. Ann. Oncol. Off. J. Eur. Soc. Med. Oncol. 2020, 31, 641–649. [Google Scholar] [CrossRef]
- Waris, G.; Ahsan, H. Reactive oxygen species: Role in the development of cancer and various chronic conditions. J. Carcinog. 2006, 5, 14. [Google Scholar] [CrossRef]
- Grant, D.J.; Bell, D.A. Bilirubin UDP-glucuronosyltransferase 1A1 gene polymorphisms: Susceptibility to oxidative damage and cancer? Mol. Carcinog. 2000, 29, 198–204. [Google Scholar] [CrossRef]
- Keshavan, P.; Schwemberger, S.J.; Smith, D.L.; Babcock, G.F.; Zucker, S.D. Unconjugated bilirubin induces apoptosis in colon cancer cells by triggering mitochondrial depolarization. Int. J. Cancer 2004, 112, 433–445. [Google Scholar] [CrossRef]
- Ollinger, R.; Kogler, P.; Troppmair, J.; Hermann, M.; Wurm, M.; Drasche, A.; Konigsrainer, I.; Amberger, A.; Weiss, H.; Ofner, D.; et al. Bilirubin inhibits tumor cell growth via activation of ERK. Cell Cycle 2007, 6, 3078–3085. [Google Scholar] [CrossRef]
- Rao, P.; Suzuki, R.; Mizobuchi, S.; Yamaguchi, T.; Sasaguri, S. Bilirubin exhibits a novel anti-cancer effect on human adenocarcinoma. Biochem. Biophys. Res. Commun. 2006, 342, 1279–1283. [Google Scholar] [CrossRef]
- Tukey, R.H.; Strassburg, C.P. Human UDP-glucuronosyltransferases: Metabolism, expression, and disease. Annu. Rev. Pharmacol. Toxicol. 2000, 40, 581–616. [Google Scholar] [CrossRef] [PubMed]
- Carr, B.I.; Guerra, V.; Giannini, E.G.; Farinati, F.; Ciccarese, F.; Ludovico Rapaccini, G.; Di Marco, M.; Benvegnù, L.; Zoli, M.; Borzio, F.; et al. Association of abnormal plasma bilirubin with aggressive hepatocellular carcinoma phenotype. Semin. Oncol. 2014, 41, 252–258. [Google Scholar] [CrossRef]
- Erlinger, S.; Arias, I.M.; Dhumeaux, D. Inherited disorders of bilirubin transport and conjugation: New insights into molecular mechanisms and consequences. Gastroenterology 2014, 146, 1625–1638. [Google Scholar] [CrossRef] [PubMed]
- Tripathi, N.; Jialal, I. Conjugated Hyperbilirubinemia; StatPearls Publishing: Treasure Island, FL, USA, 2020. [Google Scholar]
- Wu, Z.; Han, M.; Chen, T.; Yan, W.; Ning, Q. Acute liver failure: Mechanisms of immune-mediated liver injury. Liver Int. 2010, 30, 782–794. [Google Scholar] [CrossRef]
- Ioannou, G.N.; Liou, I.W.; Weiss, N.S. Serum bilirubin and colorectal cancer risk: A population-based cohort study. Aliment. Pharmacol. Ther. 2006, 23, 1637–1642. [Google Scholar] [CrossRef]
- Zucker, S.D.; Horn, P.S.; Sherman, K.E. Serum bilirubin levels in the U.S. population: Gender effect and inverse correlation with colorectal cancer. Hepatology 2004, 40, 827–835. [Google Scholar] [CrossRef]
- Muraca, M.; Fevery, J. Influence of sex and sex steroids on bilirubin uridine diphosphate-glucuronosyltransferase activity of rat liver. Gastroenterology 1984, 87, 308–313. [Google Scholar] [CrossRef]
- Buckley, D.B.; Klaassen, C.D. Mechanism of gender-divergent UDP-glucuronosyltransferase mRNA expression in mouse liver and kidney. Drug Metab. Dispos. 2009, 37, 834–840. [Google Scholar] [CrossRef] [PubMed]
- Seyed Khoei, N.; Carreras-Torres, R.; Murphy, N.; Gunter, M.J.; Brennan, P.; Smith-Byrne, K.; Mariosa, D.; Mckay, J.; O’Mara, T.A.; Jarrett, R.; et al. Genetically Raised Circulating Bilirubin Levels and Risk of Ten Cancers: A Mendelian Randomization Study. Cells 2021, 10, 394. [Google Scholar] [CrossRef]

| Log-Total Bilirubin Tertile (μM/L) | ||||||
| Baseline Characteristic | Men | Women | ||||
| 1 (1.43–7.94) | 2 (7.95–10.64) | 3 (10.65–144.52) | 1 (1.08–6.36) | 2 (6.37–8.41) | 3 (8.42–115.75) | |
| Cases (N) | ||||||
| Colorectal cancer | 614 | 555 | 562 | 462 | 428 | 381 |
| Colon cancer | 370 | 352 | 336 | 342 | 302 | 287 |
| Rectal cancer | 244 | 203 | 226 | 120 | 126 | 94 |
| Esophageal adenocarcinoma | 124 | 86 | 81 | 21 | 16 | 10 |
| Esophageal squamous-cell carcinoma | 31 | 15 | 13 | 24 | 21 | 20 |
| Stomach cardia cancer | 41 | 40 | 32 | 10 | 11 | 5 |
| Stomach non-cardia cancer | 18 | 22 | 16 | 16 | 11 | 9 |
| Oral cancer | 126 | 111 | 110 | 60 | 60 | 57 |
| Pancreatic cancer | 110 | 118 | 77 | 76 | 98 | 80 |
| Hepatocellular carcinoma | 15 | 35 | 60 | 3 | 7 | 15 |
| Intrahepatic bile duct cancer | 17 | 14 | 23 | 23 | 18 | 25 |
| Age at recruitment (years) ° | 56.3 (8.1) | 56.7 (8.1) | 56.6 (8.3) | 56.1 (7.9) | 56.6 (7.9) | 55.7 (8.2) |
| Body mass index (kg/m2) ° | 28.2 (4.5) | 27.8 (4.1) | 27.5 (4.0) | 27.9 (5.4) | 27.0 (5.1) | 26.3 (4.9) |
| Waist circumference (cm) ° | 97.9 (11.8) | 96.8 (11.1) | 95.9 (10.9) | 86.7 (12.9) | 84.4 (12.3) | 82.7 (12.0) |
| Height (cm) ° | 174.9 (6.8) | 175.8 (6.8) | 176.2 (6.9) | 161.8 (6.3) | 162.5 (6.3) | 163.1 (6.3) |
| Smoking status (%) | ||||||
| Never | 30 | 34 | 36 | 32 | 33 | 34 |
| Former | 33 | 34 | 33 | 32 | 34 | 34 |
| Current | 49 | 29 | 21 | 46 | 31 | 23 |
| Alcohol consumption status (%) | ||||||
| Never | 39 | 30 | 31 | 40 | 32 | 28 |
| Former | 41 | 30 | 29 | 43 | 31 | 26 |
| Current | 33 | 34 | 34 | 33 | 34 | 34 |
| Physical activity (MET§ hour/week) (%) | ||||||
| <10 | 36 | 33 | 31 | 36 | 33 | 31 |
| >60 | 34 | 33 | 33 | 31 | 34 | 35 |
| Education (%) | ||||||
| College/university degree | 31 | 33 | 36 | 30 | 33 | 36 |
| Family history of CRC (%) | ||||||
| Yes | 33 | 34 | 34 | 33 | 34 | 33 |
| Prevalent diabetes (%) | ||||||
| Yes | 41 | 30 | 29 | 42 | 30 | 28 |
| Aspirin/Ibuprofen Use (%) | ||||||
| Yes | 34 | 33 | 33 | 35 | 33 | 32 |
| Red and processed meat (%) | ||||||
| <2/week | 31 | 34 | 35 | 32 | 33 | 34 |
| ≥4/week | 35 | 33 | 32 | 35 | 33 | 32 |
| Ever use of hormone therapy (%) ¤ | ||||||
| Yes | 35 | 34 | 31 | |||
| Both Sexes | Men | Women | |
|---|---|---|---|
| Colorectal Cancer (CRC) | |||
| N cases | 3002 | 1731 | 1271 |
| Crude HR (95%CI) * | 0.93 (0.87–1.00) | 0.92 (0.85–1.01) | 0.96 (0.86–1.06) |
| p | 0.05 | 0.07 | 0.39 |
| HR (95%CI) ** | 0.95 (0.88–1.02) | 0.93 (0.85–1.02) | 0.98 (0.88–1.09) |
| p | 0.14 | 0.11 | 0.74 |
| Pnon-linearity | 0.02 | N/A | N/A |
| Colon Cancer | |||
| N cases | 1989 | 1058 | 931 |
| Crude HR (95%CI) * | 0.93 (0.85–1.01) | 0.91 (081–1.01) | 0.96 (0.85–1.08) |
| p | 0.08 | 0.08 | 0.49 |
| HR (95%CI) ** | 0.95 (0.87–1.04) | 0.92 (0.82–1.03) | 1.00 (0.88–1.13) |
| p | 0.26 | 0.15 | >0.9 |
| Pnon-linearity | 0.07 | N/A | N/A |
| Rectal Cancer | |||
| N cases | 1013 | 673 | 340 |
| Crude HR (95%CI) * | 0.95 (0.84–1.07) | 0.95 (0.82–1.09) | 0.95 (0.78–1.16) |
| p | 0.38 | 0.48 | 0.61 |
| HR (95%CI) ** | 0.94 (0.83–1.07) | 0.93 (0.80–1.09) | 0.97 (0.77–1.21) |
| p | 0.36 | 0.37 | 0.76 |
| Pnon-linearity | 0.29 | N/A | N/A |
| Esophageal Adenocarcinoma (EAC) | |||
| N cases | 338 | 291 | 47 |
| Crude HR (95%CI) * | 0.69 (0.55–0.87) | 0.72 (0.56–0.91) | 0.60 (0.33–1.10) |
| p | 0.002 | 0.01 | 0.10 |
| HR (95%CI) ** | 0.72 (0.56–0.92) | 0.74 (0.56–0.97) | 0.84 (0.40–1.78) |
| p | 0.01 | 0.03 | 0.65 |
| Pnon-linearity | 0.06 | N/A | N/A |
| Esophageal Squamous-Cell Carcinoma (ESCC) | |||
| N cases | 124 | 59 | 65 |
| Crude HR (95%CI) * | 0.82 (0.55–1.21) | 0.77 (0.40–1.48) | 0.86 (0.55–1.35) |
| p | 0.32 | 0.43 | 0.51 |
| HR (95%CI) ** | 0.74 (0.44–1.24) | N/A | 0.68 (0.33–1.39) |
| p | 0.25 | N/A | 0.29 |
| Pnon-linearity | N/A | N/A | 0.11 |
| Stomach Cardia Cancer | |||
| N cases | 139 | 113 | 26 |
| Crude HR (95%CI) * | 1.01 (0.71–1.45) | 1.14 (0.77–1.67) | 0.53 (0.20–1.43) |
| p | 0.07 | 0.51 | 0.21 |
| HR (95%CI) ** | 1.33 (0.84–2.11) | 1.59 (0.90–2.82) | N/A |
| p | 0.23 | 0.11 | N/A |
| Pnon-linearity | 0.86 | N/A | N/A |
| Stomach Non-Cardia Cancer | |||
| N cases | 92 | 56 | 36 |
| Crude HR (95%CI) * | 0.67 (0.36–1.26) | 0.83 (0.37–1.87) | 0.56 (0.24–1.33) |
| p | 0.22 | 0.66 | 0.19 |
| HR (95%CI) ** | 0.88 (0.41–1.91) | 3.23 (0.44–23.61) | 0.15 (0.00–7.60) |
| p | 0.74 | 0.25 | 0.34 |
| Pnon-linearity | N/A | N/A | N/A |
| Oral Cancer | |||
| N cases | 524 | 347 | 177 |
| Crude HR (95%CI) * | 0.89 (0.75–1.05) | 0.85 (0.69–1.06) | 0.96 (0.74–1.24) |
| p | 0.17 | 0.14 | 0.75 |
| HR (95%CI) ** | 0.93 (0.77–1.13) | 0.94 (0.73–1.20) | 1.01 (0.75–1.35) |
| p | 0.46 | 0.61 | >0.9 |
| Pnon-linearity | >0.9 | N/A | N/A |
| Pancreatic Cancer | |||
| N cases | 559 | 305 | 254 |
| Crude HR (95%CI) * | 0.94 (0.81–1.09) | 0.87 (0.70–1.06) | 1.03 (0.84–1.25) |
| p | 0.40 | 0.16 | 0.78 |
| HR (95%CI) ** | 0.96 (0.82–1.13) | 0.83 (0.65–1.04) | 1.11 (0.89–1.38) |
| p | 0.62 | 0.11 | 0.36 |
| Pnon-linearity | N/A | N/A | N/A |
| Hepatocellular Carcinoma (HCC) | |||
| N cases | 135 | 110 | 25 |
| Crude HR (95%CI) * | 1.65 (1.21–2.49) | 1.57 (1.08–2.29) | 1.69 (1.03–2.79) |
| p | 0.002 | 0.02 | 0.04 |
| HR (95%CI) ** | 2.07 (1.15–3.73) | 1.54 (0.62–3.27) | N/A |
| p | 0.02 | 0.26 | N/A |
| Pnon-linearity | 0.02 | N/A | N/A |
| Intrahepatic Bile Duct (IBD) Cancer | |||
| N cases | 120 | 54 | 66 |
| Crude HR (95%CI) * | 1.37 (0.69–1.96) | 1.42 (0.86–2.36) | 1.29 (0.81–2.06) |
| p | 0.08 | 0.17 | 0.29 |
| HR (95%CI) ** | 1.67 (1.07–2.62) | 5.59 (0.88–35.75) | 1.40 (0.78–2.50) |
| p | 0.03 | 0.07 | 0.25 |
| Pnon-linearity | >0.9 | N/A | N/A |
| Cancer Types | HR (95%CI) | p |
|---|---|---|
| Colorectal cancer (CRC) | ||
| Both sexes | 1.03 (0.95–1.13) | 0.46 |
| Men | 0.98 (0.88–1.10) | 0.73 |
| Women | 1.13 (0.99–1.29) | 0.07 |
| Colon cancer | ||
| Both sexes | 1.07 (0.96–1.20) | 0.20 |
| Men | 0.98 (0.85–1.14) | 0.80 |
| Women | 1.21 (1.03–1.42) | 0.02 |
| Rectal cancer | ||
| Both sexes | 1.00 (0.85–1.17) | >0.90 |
| Men | 1.02 (0.84–1.24) | 0.83 |
| Women | 1.05 (0.79–1.40) | 0.73 |
| Esophageal adenocarcinoma (EAC) | ||
| Both sexes | 0.76 (0.56–1.03) | 0.07 |
| Men | 0.76 (0.53–1.08) | 0.13 |
| Women | 1.58 (0.55–4.53) | 0.40 |
| Esophageal squamous-cell carcinoma (ESCC) | ||
| Both sexes | 0.50 (0.22–1.13) | 0.10 |
| Stomach cardia cancer | ||
| Both sexes | 1.45 (0.77–2.73) | 0.25 |
| Stomach non-cardia cancer | ||
| Both sexes | 0.45 (0.15–1.36) | 0.16 |
| Oral cancer | ||
| Both sexes | 0.95 (0.75–1.21) | 0.68 |
| Men | 0.92 (0.67–1.26) | 0.61 |
| Women | 0.97 (0.65–1.47) | 0.90 |
| Pancreatic cancer | ||
| Both sexes | 0.97 (0.80–1.16) | 0.72 |
| Men | 0.77 (0.58–1.02) | 0.07 |
| Women | 1.19 (0.92–1.54) | 0.19 |
| Hepatocellular carcinoma (HCC) | ||
| Both sexes | 2.01 (1.10–3.68) | 0.02 |
| Intrahepatic bile duct (IBD) cancer | ||
| Both sexes | 1.36 (0.81–2.30) | 0.30 |
Publisher’s Note: MDPI stays neutral with regard to jurisdictional claims in published maps and institutional affiliations. |
© 2021 by the authors. Licensee MDPI, Basel, Switzerland. This article is an open access article distributed under the terms and conditions of the Creative Commons Attribution (CC BY) license (https://creativecommons.org/licenses/by/4.0/).
Share and Cite
Seyed Khoei, N.; Wagner, K.-H.; Carreras-Torres, R.; Gunter, M.J.; Murphy, N.; Freisling, H. Associations between Prediagnostic Circulating Bilirubin Levels and Risk of Gastrointestinal Cancers in the UK Biobank. Cancers 2021, 13, 2749. https://doi.org/10.3390/cancers13112749
Seyed Khoei N, Wagner K-H, Carreras-Torres R, Gunter MJ, Murphy N, Freisling H. Associations between Prediagnostic Circulating Bilirubin Levels and Risk of Gastrointestinal Cancers in the UK Biobank. Cancers. 2021; 13(11):2749. https://doi.org/10.3390/cancers13112749
Chicago/Turabian StyleSeyed Khoei, Nazlisadat, Karl-Heinz Wagner, Robert Carreras-Torres, Marc J. Gunter, Neil Murphy, and Heinz Freisling. 2021. "Associations between Prediagnostic Circulating Bilirubin Levels and Risk of Gastrointestinal Cancers in the UK Biobank" Cancers 13, no. 11: 2749. https://doi.org/10.3390/cancers13112749
APA StyleSeyed Khoei, N., Wagner, K.-H., Carreras-Torres, R., Gunter, M. J., Murphy, N., & Freisling, H. (2021). Associations between Prediagnostic Circulating Bilirubin Levels and Risk of Gastrointestinal Cancers in the UK Biobank. Cancers, 13(11), 2749. https://doi.org/10.3390/cancers13112749

