Evaluation of Uterine Brachytherapy as Primary Treatment Option for Elderly Patients with Medically Inoperable Endometrial Cancer—A Single-Center Experience and Review of the Literature
Abstract
1. Introduction
2. Materials and Methods
2.1. Patients
2.2. Brachytherapy Treatment Methods
2.3. External Beam Radiation Therapy Methods
2.4. Statistical Analysis
3. Discussion
4. Results
4.1. Patient and Treatment Characteristics
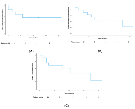
4.2. Survival Data
4.3. Treatment Tolerance and Toxicity
5. Conclusions
Author Contributions
Funding
Acknowledgments
Conflicts of Interest
References
- Bray, F.; Ferlay, J.; Soerjomataram, I.; Siegel, R.L.; Torre, L.A.; Jemal, A. Global cancer statistics 2018: GLOBOCAN estimates of incidence and mortality worldwide for 36 cancers in 185 countries. CA Cancer J. Clin. 2018, 68, 394–424. [Google Scholar] [CrossRef] [PubMed]
- Robert Koch Institut. Krebsregisterdaten (ZfKD) des Robert Koch-Instituts (RKI) und der Gesellschaft der Epidemiologischen Krebsregister in Deutschland: Krebs in Deutschland für 2013/2014; RKI: Berlin, Germany, 2017. [Google Scholar]
- Burke, W.M.; Orr, J.; Leitão, M.; Salom, E.; Gehrig, P.; Olawaiye, A.B.; Brewer, M.; Boruta, D.M.; Villella, J.; Herzog, T.; et al. Endometrial cancer: A review and current management strategies: Part I. Gynecol. Oncol. 2014, 134, 385–392. [Google Scholar] [CrossRef] [PubMed]
- Frost, J.A.; Webster, K.E.; Bryant, A. Lymphadenectomy for the management of endometrial cancer. Cochrane Database of Syst. Rev. 2015, 2015, CD007585. [Google Scholar] [CrossRef]
- Colombo, N.; Creutzberg, C.L.; Amant, F.; Bosse, T.; González-Martín, A.; Ledermann, J.; Marth, C.; Nout, R.; Querleu, D.; Mirza, M.; et al. ESMO-ESGO-ESTRO Consensus Conference on Endometrial Cancer: Diagnosis, treatment and follow-up. Ann. Oncol. 2016, 27, 16–41. [Google Scholar] [CrossRef] [PubMed]
- Sabater, S.; Andres, I.; Lopez-Honrubia, V.; Marti-Laosa, M.M.; Castro-Larefors, S.; Berenguer, R.; Jimenez-Jimenez, E.; Sevillano, M.; Rovirosa, A.; Arenas, M. Does postoperative irradiation improve survival in early-stage endometrial cancer? Brachytherapy 2018, 17, 912–921. [Google Scholar] [CrossRef] [PubMed]
- Taghian, A.; Pernot, M.; Hoffstetter, S.; Luporsi, E.; Bey, P. Radiation therapy alone for medically inoperable patients with adenocarcinoma of the endometrium. Int. J. Radiat. Oncol. 1988, 15, 1135–1140. [Google Scholar] [CrossRef]
- Niazi, T.M.; Souhami, L.; Portelance, L.; Bahoric, B.; Gilbert, L.; Stanimir, G. Long-term results of high-dose-rate brachytherapy in the primary treatment of medically inoperable stage I–II endometrial carcinoma. Int. J. Radiat. Oncol. 2005, 63, 1108–1113. [Google Scholar] [CrossRef]
- Podzielinski, I.; Randall, M.E.; Breheny, P.; Escobar, P.F.; Cohn, D.E.; Quick, A.M.; Chino, J.P.; Lopez-Acevedo, M.; Seitz, J.L.; Zook, J.E.; et al. Primary radiation therapy for medically inoperable patients with clinical stage I and II endometrial carcinoma. Gynecol. Oncol. 2012, 124, 36–41. [Google Scholar] [CrossRef]
- Dutta, S.W.; Trifiletti, D.M.; Grover, S.; Boimel, P.; Showalter, T.N. Management of elderly patients with early-stage medically inoperable endometrial cancer: Systematic review and National Cancer Database analysis. Brachytherapy 2017, 16, 526–533. [Google Scholar] [CrossRef]
- Van Der Steen-Banasik, E.; Christiaens, M.; Shash, E.; Coens, C.; Casado, A.; Herrera, F.; Ottevanger, P. Systemic review: Radiation therapy alone in medical non-operable endometrial carcinoma. Eur. J. Cancer 2016, 65, 172–181. [Google Scholar] [CrossRef]
- Acharya, S.; Perkins, S.M.; DeWees, T.; Fischer-Valuck, B.W.; Mutch, D.G.; Powell, M.A.; Schwarz, J.K.; Grigsby, P.W. Brachytherapy Is Associated With Improved Survival in Inoperable Stage I Endometrial Adenocarcinoma: A Population-Based Analysis. Int. J. Radiat. Oncol. 2015, 93, 649–657. [Google Scholar] [CrossRef] [PubMed]
- Yoo, S.; Hegarty, S.; Mishra, M.V.; Patel, N.; Cantrell, L.A.; Showalter, T.N. Definitive Radiation Therapy for Stage I-II Endometrial Cancer. Am. J. Clin. Oncol. 2017, 40, 582–589. [Google Scholar] [CrossRef] [PubMed]
- Gill, B.S.; Chapman, B.V.; Hansen, K.J.; Sukumvanich, P.; Beriwal, S. Primary radiotherapy for nonsurgically managed Stage I endometrial cancer: Utilization and impact of brachytherapy. Brachytherapy 2015, 14, 373–379. [Google Scholar] [CrossRef] [PubMed]
- Inciura, A.; Atkocius, V.; Juozaityte, E.; Vaitkiene, D. Long-term results of high-dose-rate brachytherapy and external-beam radiotherapy in the primary treatment of endometrial cancer. J. Radiat. Res. 2010, 51, 675–681. [Google Scholar] [CrossRef] [PubMed][Green Version]
- Draghini, L.; Maranzano, E.; Casale, M.; Trippa, F.; Anselmo, P.; Arcidiacono, F.; Fabiani, S.; Italiani, M.; Chirico, L.; Muti, M. Definitive three-dimensional high-dose-rate brachytherapy for inoperable endometrial cancer. J. Contemp. Brachytherapy 2017, 9, 118–123. [Google Scholar] [CrossRef] [PubMed]
- Acharya, S.; Esthappan, J.; Badiyan, S.; DeWees, T.A.; Tanderup, K.; Schwarz, J.K.; Grigsby, P.W.; Information, P.E.K.F.C. Medically inoperable endometrial cancer in patients with a high body mass index (BMI): Patterns of failure after 3-D image-based high dose rate (HDR) brachytherapy. Radiother. Oncol. 2016, 118, 167–172. [Google Scholar] [CrossRef]
- Wegner, R.E.; Beriwal, S.; Heron, D.E.; Richard, S.D.; Kelly, J.L.; Edwards, R.P.; Sukumvanich, P.; Zorn, K.K.; Krivak, T.C. Definitive radiation therapy for endometrial cancer in medically inoperable elderly patients. Brachytherapy 2010, 9, 260–265. [Google Scholar] [CrossRef]
- Nguyen, T.-V.; Petereit, D.G. High-Dose-Rate Brachytherapy for Medically Inoperable Stage I Endometrial Cancer. Gynecol. Oncol. 1998, 71, 196–203. [Google Scholar] [CrossRef]
- Kucera, H.; Knocke, T.H.; Kucera, E.; Potter, R. Treatment of endometrial carcinoma with high-dose-rate brachytherapy alone in medically inoperable stage I patients. Acta Obstet. Gynecol. Scand. 1998, 77, 1008–1012. [Google Scholar] [CrossRef]
- Ohkubo, Y.; Kato, S.; Kiyohara, H.; Tsuruoka, I.; Tamaki, T.; Noda, S.-E.; Ohno, T.; Nakano, T. Dose volume analysis of radiotherapy for inoperable patients with stage I-II endometrial carcinoma. J. Radiat. Res. 2011, 52, 666–673. [Google Scholar] [CrossRef]
- Kemmerer, E.; Hernández, E.; Ferriss, J.S.; Valakh, V.; Miyamoto, C.; Li, S.; Micaily, B. Use of Image-Guided Stereotactic Body Radiation Therapy in Lieu of Intracavitary Brachytherapy for the Treatment of Inoperable Endometrial Neoplasia. Int. J. Radiat. Oncol. 2013, 85, 129–135. [Google Scholar] [CrossRef] [PubMed]
- Zhou, Q.; Tang, C.; Zhao, K.-W.; Xiong, Y.-L.; Chen, S.; Xu, W.-J.; Lei, X. Clinical assessment of 252Californium neutron intracavitary brachytherapy using a two-channel Y applicator combined with external beam radiotherapy for endometrial cancer. Clin. 2016, 71, 10–16. [Google Scholar] [CrossRef]
- Gill, B.S.; Kim, H.; Houser, C.; Olsen, A.; Kelley, J.; Edwards, R.P.; Comerci, J.T.; Sukumvanich, P.; Olawaiye, A.B.; Huang, M.; et al. Image-based three-dimensional conformal brachytherapy for medically inoperable endometrial carcinoma. Brachytherapy 2014, 13, 542–547. [Google Scholar] [CrossRef] [PubMed]
- Jordan, S.E.; Micaily, I.; Hernandez, E.; Ferriss, J.S.; Miyamoto, C.; Li, S.; Micaily, B. Image-guided high-dose-rate intracavitary brachytherapy in the treatment of medically inoperable early-stage endometrioid type endometrial adenocarcinoma. Brachytherapy 2017, 16, 1144–1151. [Google Scholar] [CrossRef]
- Gebhardt, B.; Gill, B.; Glaser, S.; Kim, H.; Houser, C.; Kelley, J.; Sukumvanich, P.; Edwards, R.; Comerci, J.T.; Olawaiye, A.B.; et al. Image-guided tandem and cylinder brachytherapy as monotherapy for definitive treatment of inoperable endometrial carcinoma. Gynecol. Oncol. 2017, 147, 302–308. [Google Scholar] [CrossRef] [PubMed]
- Irie, D.; Okonogi, N.; Wakatsuki, M.; Kato, S.; Ohno, T.; Karasawa, K.; Kiyohara, H.; Kobayashi, D.; Tsuji, H.; Nakano, T.; et al. Carbon-ion radiotherapy for inoperable endometrial carcinoma. J. Radiat. Res. 2018, 59, 309–315. [Google Scholar] [CrossRef] [PubMed]
- Staples, J.N.; Rauh, L.; Peach, M.S.; Baker, W.D.; Modesitt, S.C. Endometrial cancer in an increasingly obese population: Exploring alternative options when surgery may not cut it. Gynecol. Oncol. Rep. 2018, 25, 30–34. [Google Scholar] [CrossRef]
- Gannavarapu, B.S.; Hrycushko, B.; Jia, X.; Albuquerque, K. Upfront radiotherapy with brachytherapy for medically inoperable and unresectable patients with high-risk endometrial cancer. Brachytherapy 2020, 19, 139–145. [Google Scholar] [CrossRef]
- Espenel, S.; Kissel, M.; Garcia, M.; Schernberg, A.; Gouy, S.; Bockel, S.; Limkin, E.J.C.; Fabiano, E.; Meillan, N.; Magné, N.; et al. Implementation of image-guided brachytherapy as part of non-surgical treatment in inoperable endometrial cancer patients. Gynecol. Oncol. 2020, 158, 323–330. [Google Scholar] [CrossRef]

| Author, Year | Recruitment Period | Patient No. | Median Follow-Up | Median Age | FIGO Stage | Treatment Type | Local Control | DFSDSS/CSS/PFS | OS | Complications/Toxicity |
|---|---|---|---|---|---|---|---|---|---|---|
| Inciura et al., 2010 [15] | 1995–1998 | 29 | 4.6 years | 75 Years (mean) | I–III | HDR-BRTH + EBRT | 17.2% local failure | 5-/10-y-DSS 73.5%, 67.9% * | 5-/10-y-OS 48.3%/20.7% ** | 7% acute toxicities I°, 13.8% late complications I-II° |
| Wegner et al., 2010 [18] | 1997–2008 | 26 | 12 months | 83 years | I–III | 73% HDR-BRTH + EBRT, 27% HDR-BRTH only | 1-/2-y-LC 100%/75% | 1-/3-y-DSS 93%/73% | 1-/2-y- OS 89%/28% | 8% late complications |
| Ohkubo et al., 2011 [21] | 2002–2006 | 10 | 55 months | 72 years | I–II | HDR-BRTH + EBRT (n = 9), HDR-BRTH only (n = 1) | 5-y-LC 100% | No cancer specific deaths | 5-y-OS 90% | 70% acute I-II° toxicities; 30% late I° toxicities |
| Podzielinski et al., 2012 [9] | 1997–2009 | 74 | 31 months | 65 years | I–II | 79% BRTH + EBRT, 17% BRTH alone (LDR- or HDR-BRTH), 4% EBRT alone | Median PFS 43.5 months, 3-y-PFS 68%. Median time to death following recurrence: 13.7 months | Median OS 47.2 months *** | 8.1% acute III° toxicities, 4% IV° AEs | |
| Kemmerer et al., 2013 [22] | 2006–2011 | 11 | 10 months | 78 years | I + III | EBRT + SBRT boost | 45% locoregional progression | 12-/18-months FFP 68%/41%; (18-months-FFP:100% for stage IA, 33% for stage IB; 100% for G1) | 18-months-OS 57% | 73%/9% acute I°/III°gastrointestinal toxicities, 18% acute genitourinary toxicities I°, 18% I° and II° skin toxicity, respectively. No late toxicities. |
| Zhou et al., 2015 [23] | 2007–2011 | 31 | 54.8 months | 55.9 years | I–III | 252Californium Neutron BRTH +/− EBRT | LCR Stage I: 100% Stage II: 81.8% Stage III: 50% All: 80.6% | DSS Stage I: 100% Stage II: 54.5% Stage III: 0% All: 54.8% | 5-y-OS Stage I: 80% Stage II 54.5% Stage III 0% All: 51.6% | 12.9% late toxicity II° |
| Gill et al., 2014 [24] | 2007–2013 | 38 | 15 months | 69 years | I | HDR-BRTH + EBRT (n = 18), HDR-BRTH only (n = 20) | 2-y-LC 90.6% | No regional or distant metastases | 2-y-OS 94.4% | 1 acute bleeding requiring transfusion, no other > II° acute toxicities. No II-V° late toxicities. |
| Acharya et al., 2016 [17] | 2003–2015 | 43 | 29.7 months | 62 years | I–III | HDR-BRTH + EBRT (n = 15), HDR-BRTH only (n = 28), | 2-y-incidence of pelvic failure 8.3%/ | 2-y-incidence of distant failure 13.5%**** | 2-y-OS 65.2% (BRTH alone 69.4% vs. BRTH + EBRT 57.9%) | 53%/4.7% I-II°/III° acute toxicities; 4.7% late toxicities including one recto-vaginal fistula IV°. 1 uterine fundus perforation. |
| Jordan et al., 2017 [25] | 2010–2016 | 15 | 57 months | 69.3 years | I–II | HDR-BRTH + EBRT (n = 8), HDR-BRTH only (n = 7) | 93.4% at 4 years | 8% of patients with at least one side effect, no > II° toxicities | ||
| Draghini et al., 2017 [16] | 2005–2016 | 17 | 53 months | 79 years | I–III | HDR-BRTH + EBRT (n = 3), HDR-BRTH only (n = 14), | 3-y-/6-y-LC 86%/69%***** | 1-/2-/6-y-CSS 93%/85%/85% | 12% acute toxicities II°, 12% late toxicities I° | |
| Gebhardt et al., 2017 [26] | 2007–2016 | 45 | 18.6 months | 63 years | IA G1–2 | HDR-IGBT | 2-y-locoregional control 90% | 2-y-cancer-specific survival 97% | 2-y-OS 86% | No acute toxicities > II°, no late toxicities |
| Irie et al., 2018 [27] | 1998–2014 | 14 | 50 months | 70 years | I–III | C12-RT (NO BRTH) | 5-y-LC 86% | 5y-PFS 64%, 5-y-CSS 73% | 5-y-OS 86% | 8 acute toxicities I/II°, 14 late toxicities I/II° |
| Staples et al., 2018 [28] | 2000–2016 | 51 | 20.5 months | 66 years | I, II | Hormone therapy (45.1%), RT [(49%), 40% BRTH alone, 56% BRTH + EBRT, 4% EBRT alone] or a combination (5.9%) # | Initial CR/PR: 38.1% (Hormone therapy), 63.6% (RT), 100% (combination group) | - | - | In case of salvage hysterectomy: 12.5% peri-operative mortality |
| Gannavarapu et al., 2020 [29] | 2012–2019 | 29 | 17 months | 59 years | I–III | HDR-BRTH + EBRT (n = 22), HDR-BRTH only (n = 7), CAVE: 5 patients received surgery | 2 local recurrences | 3 distant recurrenecs in the HREC group; 2-y-cumulative recurrence 44% (HREC) and 7% (LREC); 2-y-CSS 100% | 2-y-OS 73% (HREC) and 77% (LREC) | no acute toxicities ≥/= III°; 1 late toxicity IV° (cystitis), 1 late toxicity III° (rectal bleeding) |
| Espenel et al., 2020 [30] | 2002–2017 | 27 | 36.5 months | 70.4 years | I–IVB | EBRT + 3D image-guided BRTH | cumulative incidence of local/pelvic failures 19%/7% | Cumulative incidence of distant failures 26% | 5-y-OS 63% | 15% late urinary and 7% gastro intestinal toxicities ≥ II°; No vaginal toxicity ≥ II°. |
| Histopathological Characteristics | n |
|---|---|
| Stage (FIGO) | |
| I | 11 |
| IA | 5 |
| IB | 3 |
| IIIA | 1 |
| IIIC | 1 |
| Grading | |
| G1 | 4 |
| G2 | 6 |
| G3 | 3 |
| Histology | |
| endometrioid | 8 |
| serous | 2 |
| mucinous | 1 |
| tubular-papillary | 1 |
| unknown | 1 |
| Pat. | EBRT | BRTH | Cum. EQD2 | ||||
|---|---|---|---|---|---|---|---|
| Cum. Dose | Single Dose | EQD2 | Single Dose | Fractions | EQD2 | ||
| 1 | 50.4 | 1.80 | 48.38 | 8 | 3 | 52.8 | 101.18 |
| 2 | 45/55.8 | 1.80 | 53.57 | 8 | 1 (2 were planned) | 17.6 | 71.17 |
| 3 | - | - | - | 7 | 5 | 70 | 70 |
| 4 | - | - | - | 8 | 4 | 70.4 | 70.4 |
| 5 | 50.4 | 1.80 | 48.38 | 8 | 3 | 52.8 | 101.18 |
| 6 | - | - | - | 8 + 5 | 3 + 2 | 68.8 | 68.8 |
| 7 | 45 | 1.8 | 43.2 | 8 | 3 | 52.8 | 96 |
| 8 | - | - | - | 8 | 5 | 88 | 88 |
| 9 | 45 | 3 (3 Fx)/1.8 (20 Fx) | 45.36 | 8 | 3 | 52.8 | 98.16 |
| 10 | 45/56.5 | 1.8/2.26 | 59.44 | 7 | 3 | 42 | 101.44 |
| 11 | - | - | - | 8 | 5 | 88 | 88 |
| 12 | - | - | - | 8.5 | 5 | 97.75 | 97.75 |
| 13 | - | - | - | 8 | 5 | 88 | 88 |
| LFFS | PFS | OS | ||||
|---|---|---|---|---|---|---|
| Chi-Squared | p-Value | Chi-Squared | p-Value | Chi-Squared | p-Value | |
| FIGO stage | 0.175 | 0.676 | 0.013 | 0.91 | 0.12 | 0.729 |
| Histological type | 0.175 | 0.676 | 0.013 | 0.91 | 0.24 | 0.624 |
| Grading | 5.35 | 0.069 | 1.585 | 0.453 | 1.743 | 0.418 |
| EBRT | 0.191 | 0.662 | 0.014 | 0.904 | 0.31 | 0.577 |
| Applicator type | 1.662 | 0.645 | 1.572 | 0.666 | 2.586 | 0.46 |
| EQD2 | 1.475 | 0.831 | 1.536 | 0.82 | 0.644 | 0.958 |
© 2020 by the authors. Licensee MDPI, Basel, Switzerland. This article is an open access article distributed under the terms and conditions of the Creative Commons Attribution (CC BY) license (http://creativecommons.org/licenses/by/4.0/).
Share and Cite
Arians, N.; Oelmann-Avendano, J.T.; Schmitt, D.; Meixner, E.; Wark, A.; Hoerner-Rieber, J.; El Shafie, R.A.; Lang, K.; Wallwiener, M.; Debus, J. Evaluation of Uterine Brachytherapy as Primary Treatment Option for Elderly Patients with Medically Inoperable Endometrial Cancer—A Single-Center Experience and Review of the Literature. Cancers 2020, 12, 2301. https://doi.org/10.3390/cancers12082301
Arians N, Oelmann-Avendano JT, Schmitt D, Meixner E, Wark A, Hoerner-Rieber J, El Shafie RA, Lang K, Wallwiener M, Debus J. Evaluation of Uterine Brachytherapy as Primary Treatment Option for Elderly Patients with Medically Inoperable Endometrial Cancer—A Single-Center Experience and Review of the Literature. Cancers. 2020; 12(8):2301. https://doi.org/10.3390/cancers12082301
Chicago/Turabian StyleArians, Nathalie, Jan Tobias Oelmann-Avendano, Daniela Schmitt, Eva Meixner, Antje Wark, Juliane Hoerner-Rieber, Rami A. El Shafie, Kristin Lang, Markus Wallwiener, and Jürgen Debus. 2020. "Evaluation of Uterine Brachytherapy as Primary Treatment Option for Elderly Patients with Medically Inoperable Endometrial Cancer—A Single-Center Experience and Review of the Literature" Cancers 12, no. 8: 2301. https://doi.org/10.3390/cancers12082301
APA StyleArians, N., Oelmann-Avendano, J. T., Schmitt, D., Meixner, E., Wark, A., Hoerner-Rieber, J., El Shafie, R. A., Lang, K., Wallwiener, M., & Debus, J. (2020). Evaluation of Uterine Brachytherapy as Primary Treatment Option for Elderly Patients with Medically Inoperable Endometrial Cancer—A Single-Center Experience and Review of the Literature. Cancers, 12(8), 2301. https://doi.org/10.3390/cancers12082301

