Risk of Alzheimer’s Disease in Cancer Patients: Analysis of Mortality Data from the US SEER Population-Based Registries
Abstract
1. Introduction
2. Results
2.1. Impact of Age at Diagnosis and Race on the Risk of AD Death in Cancer Patients
2.2. Decreased Risk of Death Due to AD in White Patients Diagnosed with Different Types of Cancer at the Age of ≥ 45 Years
2.3. Protective Effect of Cancer Against Death from AD is Modified by Age
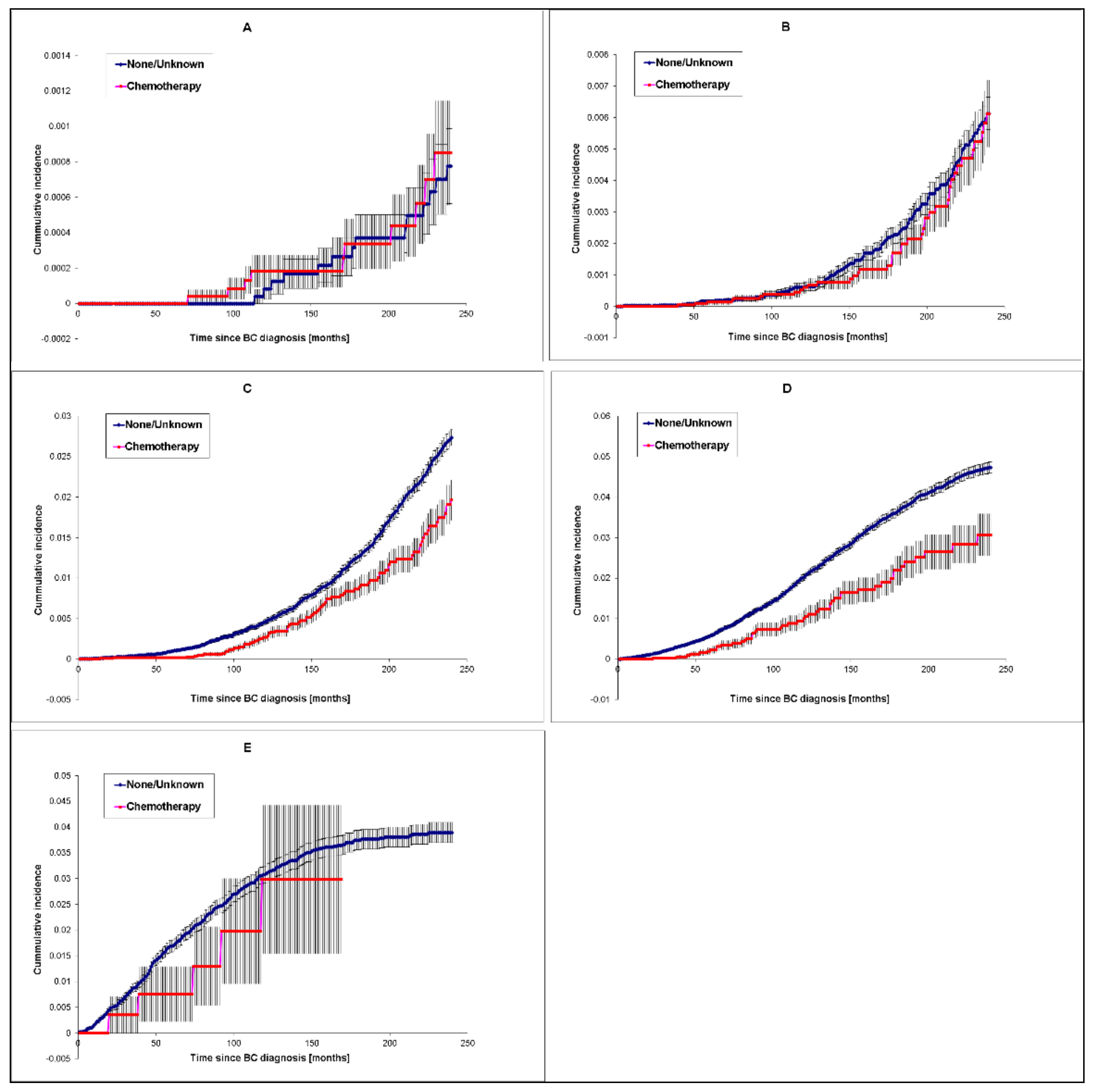
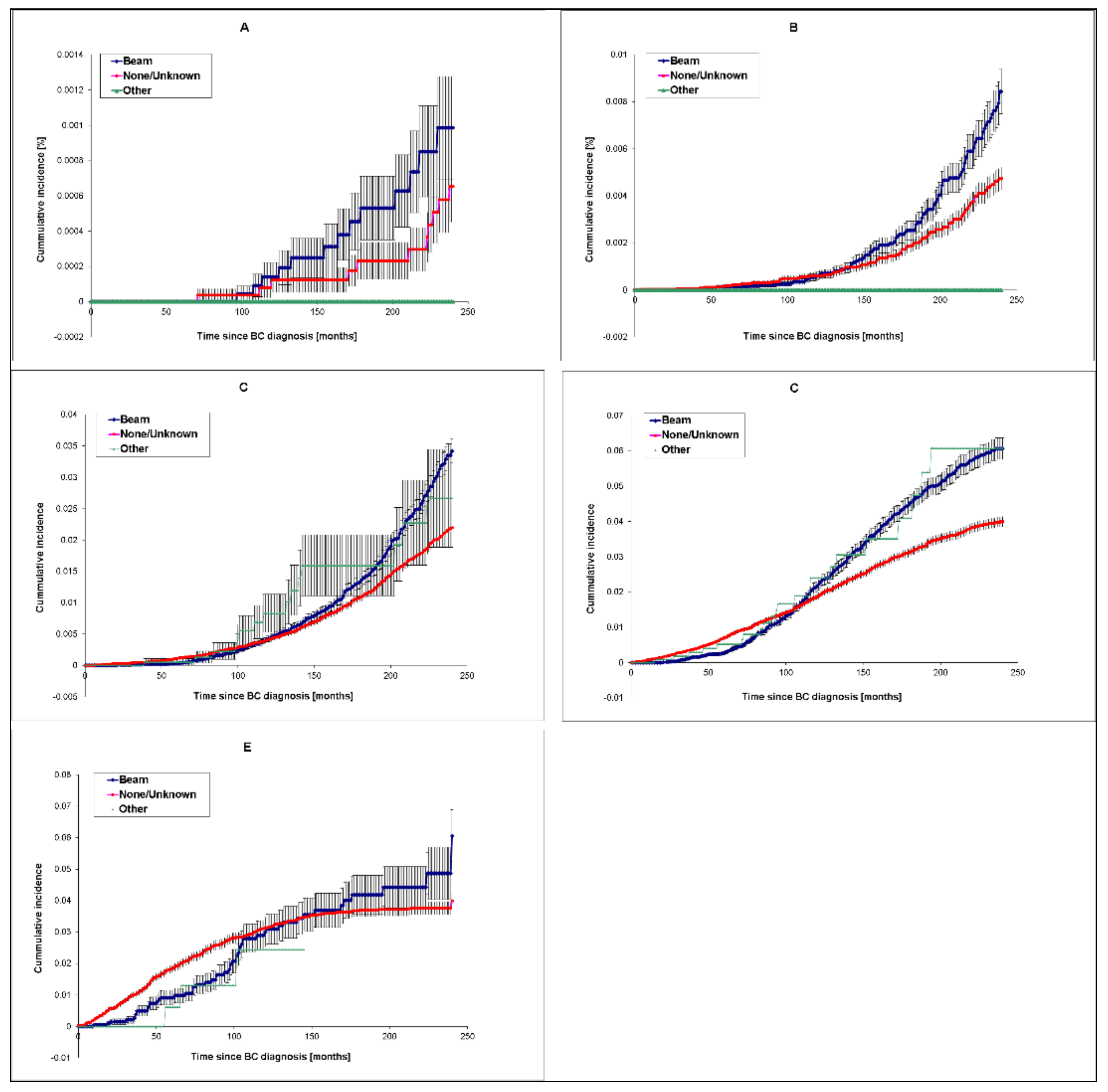
2.4. Chemotherapy and Radiation Therapy Influence the Risk of AD Death in Breast Cancer Patients
2.4.1. Analysis of SEER 13 Registry Data
2.4.2. Analysis of SEER 9 Registry Data
3. Discussion
3.1. Study Limitations
3.1.1. Potential AD-Related Death Reporting Biases
3.1.2. AD Mortality versus AD Incidence
3.1.3. Limitations of the SMR Value Estimates
3.1.4. Treatment Underreporting
3.1.5. Potential Heterogeneity of AD and Cancer Cases
3.1.6. Multiple Comparisons
3.2. Interpretations of the Cancer-AD Association Data
3.3. The Impact of Race on Cancer-AD Association
3.4. Cancer and Early Onset AD
3.5. Impact of Age and Time Since Cancer Diagnosis on Cancer-AD Association
3.6. Impacts of Anti-Cancer Therapies on AD Death
3.6.1. Effects of Chemotherapy.
3.6.2. Effects of Radiotherapy
4. Materials and Methods
4.1. Analysis of the Risk of Death due to Alzheimer’s Disease in Cancer Patients Relative to the General Population
4.2. Analysis of the Influence of Chemotherapy or Radiation Therapy on the Risk of AD Death in Breast Cancer Patients
5. Conclusions
Supplementary Materials
Author Contributions
Funding
Conflicts of Interest
Abbreviations
| –2LL | –2 log-likelihood statistics |
| AD | Alzheimer’s disease |
| AIAN | American Indian/Alaska Native (race) |
| API | Asian/Pacific Islander (race) |
| B | Black (race) |
| BBB | Blood-brain barrier |
| BC | Breast cancer |
| CICI | Chemotherapy-induced cognitive impairment |
| CMR | Cumulative mortality ratio |
| COD | Cause of death |
| ICD | International Classification of Diseases |
| ICD-O-3 | International Classification of Diseases for Oncology, 3rd revision |
| IDC | Invasive ductal carcinoma |
| IR | Ionizing radiation |
| LDIR | Low-dose ionizing radiation |
| LOAD | Late-onset Alzheimer’s Disease |
| MRRMH | Mortality rate ratio (weighted average by Mantel–Haenszel) |
| NGS | Next-generation sequencing |
| NOS | Not otherwise specified |
| NRF2 | Nuclear factor erythroid 2–related factor 2; NFE2L2 gene |
| O | Number of observed events |
| PYR | Person-time at risk (years) |
| SE | Standard error |
| SEER | Surveillance, Epidemiology and End Results |
| SMR | Standardized mortality ratio |
| W | White (race) |
| WBRT | Whole brain radiotherapy |
References
- Siegel, R.L.; Miller, K.D.; Jemal, A. Cancer statistics, 2016. CA A Cancer J. Clin. 2016, 66, 7–30. [Google Scholar] [CrossRef] [PubMed]
- Xu, J.; Kochanek, K.D.; Murphy, S.L.; Tejada-Vera, B. Deaths: Final data for 2014. Natl. Center Health Stat. 2016, 65, 1116–1120. [Google Scholar]
- Hebert, L.E.; Weuve, J.; Scherr, P.A.; Evans, D.A. Alzheimer’s disease in the United States (2010-2050) estimated using the 2010 census. Neurology 2013, 80, 1778–1783. [Google Scholar] [CrossRef] [PubMed]
- James, B.D.; Leurgans, S.E.; Hebert, L.E.; Scherr, P.A.; Yaffe, K.; Bennett, D.A. Contribution of Alzheimer’s disease to mortality in the United States. Neurology 2014, 82, 1045–1050. [Google Scholar] [CrossRef] [PubMed]
- Awada, A.A. Early and late-onset Alzheimer’s disease: What are the differences? J. Neurosci. Rural Pract. 2015, 6, 455–456. [Google Scholar] [CrossRef]
- Mayeux, R.; Stern, Y. Epidemiology of Alzheimer’s disease. Cold Spring Harb. Perspect. Med. 2012, 2. [Google Scholar] [CrossRef]
- Feinstein, A.R. The pre-therapeutic classification of co-morbidity in chronic disease. J. Chronic Dis. 1970, 23, 455–468. [Google Scholar] [CrossRef]
- Hu, J.X.; Thomas, C.E.; Brunak, S. Network biology concepts in complex disease comorbidities. Nat. Rev. Genet. 2016, 17, 615. [Google Scholar] [CrossRef]
- Rzhetsky, A.; Wajngurt, D.; Park, N.; Zheng, T. Probing genetic overlap among complex human phenotypes. Proc. Natl. Acad. Sci. USA 2007, 104, 11694–11699. [Google Scholar] [CrossRef]
- Blair, D.R.; Lyttle, C.S.; Mortensen, J.M.; Bearden, C.F.; Jensen, A.B.; Khiabanian, H.; Melamed, R.; Rabadan, R.; Bernstam, E.V.; Brunak, S.; et al. A Nondegenerate Code of Deleterious Variants in Mendelian Loci Contributes to Complex Disease Risk. Cell 2013, 155, 70–80. [Google Scholar] [CrossRef]
- Simonoff, E. Extracting Meaning from Comorbidity: Genetic Analyses That Make Sense. J. Child Psychol. Psychiatry 2000, 41, 667–674. [Google Scholar] [CrossRef] [PubMed]
- White, M.C.; Holman, D.M.; Boehm, J.E.; Peipins, L.A.; Grossman, M.; Henley, S.J. Age and cancer risk: A potentially modifiable relationship. Am. J. Prev. Med. 2014, 46, S7–S15. [Google Scholar] [CrossRef] [PubMed]
- Emmerzaal, T.L.; Kiliaan, A.J.; Gustafson, D.R. 2003-2013: A decade of body mass index, Alzheimer’s disease, and dementia. J. Alzheimer’s Dis. 2015, 43, 739–755. [Google Scholar] [CrossRef] [PubMed]
- Cannata, D.; Fierz, Y.; Vijayakumar, A.; LeRoith, D. Type 2 Diabetes and Cancer: What Is the Connection? J. Transl. Pers. Med. 2010, 77, 197–213. [Google Scholar] [CrossRef] [PubMed]
- Cataldo, J.K.; Prochaska, J.J.; Glantz, S.A. Cigarette smoking is a risk factor for Alzheimer’s Disease: An analysis controlling for tobacco industry affiliation. J. Alzheimer’s Dis. 2010, 19, 465–480. [Google Scholar] [CrossRef] [PubMed]
- Gandini, S.; Botteri, E.; Iodice, S.; Boniol, M.; Lowenfels, A.B.; Maisonneuve, P.; Boyle, P. Tobacco smoking and cancer: A meta-analysis. Int. J. Cancer 2008, 122, 155–164. [Google Scholar] [CrossRef] [PubMed]
- Ganguli, M. Cancer and Dementia: It’s Complicated. Alzheimer’s Dis. Assoc. Disord. 2015, 29, 177–182. [Google Scholar] [CrossRef]
- Corsellis, J.A.N. Mental Illness and the Ageing Brain: The Distribution of Pathological Change in a Mental Hospital Population; Oxford University Press: Oxford, UK, 1962. [Google Scholar]
- Tirumalasetti, F.; Han, L.; Birkett, D.P. The Relationship between Cancer and Alzheimer’s Disease. J. Am. Geriatr. Soc. 1991, 39, 840. [Google Scholar] [CrossRef]
- Behrens, M.I.; Lendon, C.; Roe, C.M. A Common Biological Mechanism in Cancer and Alzheimers Disease? Curr. Alzheimer’s Res. 2009, 6, 196–204. [Google Scholar] [CrossRef]
- DeSouky, A.L. The relationship between cancer and Alzheimer’s disease. J. Am. Geriatr. Soc. 1992, 40, 1075. [Google Scholar] [CrossRef]
- Yamada, M.; Sasaki, H.; Mimori, Y.; Kasagi, F.; Sudoh, S.; Ikeda, J.; Hosoda, Y.; Nakamura, S.; Kodama, K. Prevalence and Risks of Dementia in the Japanese Population: RERF’s Adult Health Study Hiroshima Subjects. J. Am. Geriatr. Soc. 1999, 47, 189–195. [Google Scholar] [CrossRef] [PubMed]
- Ganguli, M.; Dodge, H.H.; Shen, C.; Pandav, R.S.; DeKosky, S.T. Alzheimer’s Disease and Mortality: A 15-Year Epidemiological Study. JAMA Neurol. 2005, 62, 779–784. [Google Scholar] [CrossRef]
- Beard, C.M.; Kokmen, E.; Sigler, C.; Smith, G.E.; Petterson, T.; O’Brien, P.C. Cause of death in Alzheimer’s disease. Ann. Epidemiol. 1996, 6, 195–200. [Google Scholar] [CrossRef]
- Driver, J.A. Inverse association between cancer and neurodegenerative disease: Review of the epidemiologic and biological evidence. Biogerontology 2014, 15, 547–557. [Google Scholar] [CrossRef]
- Catalá-López, F.; Crespo-Facorro, B.; Vieta, E.; Valderas, J.M.; Valencia, A.; Tabarés-Seisdedos, R. Alzheimer’s Disease and Cancer: Current Epidemiological Evidence for a Mutual Protection. Neuroepidemiology 2014, 42, 121–122. [Google Scholar] [CrossRef]
- Shi, H.-B.; Tang, B.; Liu, Y.-W.; Wang, X.-F.; Chen, G.-J. Alzheimer’s disease and cancer risk: A meta-analysis. J. Cancer Res. Clin. Oncol. 2015, 141, 485–494. [Google Scholar] [CrossRef]
- Duggan, M.A.; Anderson, W.F.; Altekruse, S.; Penberthy, L.; Sherman, M.E. The Surveillance, Epidemiology, and End Results (SEER) Program and Pathology: Toward Strengthening the Critical Relationship. Am. J. Surg. Pathol. 2016, 40, e94–e102. [Google Scholar] [CrossRef]
- Wattmo, C.; Wallin, Å.K. Early-versus Late-Onset Alzheimer’s Disease: Long-Term Functional Outcomes, Nursing Home Placement, and Risk Factors for Rate of Progression. Dement. Geriatr. Cogn. Disord. Extra 2017, 7, 172–187. [Google Scholar] [CrossRef]
- Narod, S.A.; Iqbal, J.; Giannakeas, V.; Sopik, V.; Sun, P. Breast Cancer Mortality After a Diagnosis of Ductal Carcinoma In Situ. JAMA Oncol. 2015, 1, 888–896. [Google Scholar] [CrossRef]
- Zaorsky, N.G.; Churilla, T.M.; Egleston, B.L.; Fisher, S.G.; Ridge, J.A.; Horwitz, E.M.; Meyer, J.E. Causes of death among cancer patients. Ann. Oncol. 2016, 28, 400–407. [Google Scholar] [CrossRef]
- Felix, A.S.; Bower, J.K.; Pfeiffer, R.M.; Raman, S.V.; Cohn, D.E.; Sherman, M.E. High cardiovascular disease mortality after endometrial cancer diagnosis: Results from the Surveillance, Epidemiology, and End Results (SEER) Database. Int. J. Cancer 2017, 140, 555–564. [Google Scholar] [CrossRef]
- Freedman, D.M.; Travis, L.B.; Gridley, G.; Kuncl, R.W. Amyotrophic Lateral Sclerosis Mortality in 1.9 Million US Cancer Survivors. Neuroepidemiology 2005, 25, 176–180. [Google Scholar] [CrossRef]
- James, B.Y.; Smith, B.D. NCI SEER public-use data: Applications and limitations in oncology research. Oncology 2009, 23, 4. [Google Scholar]
- Ellis, L.; Woods, L.M.; Estève, J.; Eloranta, S.; Coleman, M.P.; Rachet, B. Cancer incidence, survival and mortality: Explaining the concepts. Int. J. Cancer 2014, 135, 1774–1782. [Google Scholar] [CrossRef]
- Rountree, S.D.; Chan, W.; Pavlik, V.N.; Darby, E.J.; Doody, R.S. Factors that influence survival in a probable Alzheimer’s disease cohort. Alzheimer’s Res. Ther. 2012, 4, 16. [Google Scholar] [CrossRef]
- Ospina-Romero, M.; Abdiwahab, E.; Kobayashi, L.; Filshtein, T.; Brenowitz, W.D.; Mayeda, E.R.; Glymour, M.M. Rate of Memory Change Before and After Cancer Diagnosis. JAMA Netw. Open 2019, 2, e196160. [Google Scholar] [CrossRef]
- Wattmo, C.; Londos, E.; Minthon, L. Risk Factors That Affect Life Expectancy in Alzheimer’s Disease: A 15-Year Follow-Up. Dement. Geriatr. Cogn. Disord. 2014, 38, 286–299. [Google Scholar] [CrossRef]
- Frain, L.; Swanson, D.; Betensky, R.; Cho, K.; Gagnon, D.; Kowall, N.; Lu, K.P.; Gaziano, J.M.; Driver, J. A reduced risk of Alzheimer’s disease is associated with the majority of cancers in a national cohort of veterans. Alzheimer’s Dement. 2013, 9, P617. [Google Scholar] [CrossRef]
- DeSantis, C.E.; Ma, J.; Gaudet, M.M.; Newman, L.A.; Miller, K.D.; Goding Sauer, A.; Jemal, A.; Siegel, R.L. Breast cancer statistics, 2019. CA A Cancer J. Clinicians 2019, 69, 438–451. [Google Scholar] [CrossRef]
- Jones, M.E.; Swerdlow, A.J. Bias in the standardized mortality ratio when using general population rates to estimate expected number of deaths. Am. J. Epidemiol. 1998, 148, 1012–1017. [Google Scholar] [CrossRef]
- National Cancer Institute. Surveillance Research Program, N.C.I. SEER*Explorer: An Interactive Website for SEER Cancer Statistics; National Cancer Institute: Bethesda, MD, USA, 2019. [Google Scholar]
- Noone, A.-M.; Lund, J.L.; Mariotto, A.; Cronin, K.; McNeel, T.; Deapen, D.; Warren, J.L. Comparison of SEER Treatment Data With Medicare Claims. Med. Care 2016, 54, e55–e64. [Google Scholar] [CrossRef]
- Cacace, R.; Sleegers, K.; Van Broeckhoven, C. Molecular genetics of early-onset Alzheimer’s disease revisited. Alzheimer’s Dement. 2016, 12, 733–748. [Google Scholar] [CrossRef]
- Nudelman, K.N.H.; McDonald, B.C.; Lahiri, D.K.; Saykin, A.J. Biological Hallmarks of Cancer in Alzheimer’s Disease. Mol. Neurobiol. 2019, 56, 7173–7187. [Google Scholar] [CrossRef]
- Walker, L.C.; Lynn, D.G.; Chernoff, Y.O. A standard model of Alzheimer’s disease? Prion 2018, 12, 261–265. [Google Scholar] [CrossRef]
- Brandt, A.; Bermejo, J.L.; Sundquist, J.; Hemminki, K. Age of onset in familial cancer. Ann. Oncol. Off. J. Eur. Soc. Med. Oncol. 2008, 19, 2084–2088. [Google Scholar] [CrossRef]
- Curtis, R.E.; Freedman, D.M.; Ron, E.; Ries, L.A.G.; Hacker, D.G.; Edwards, B.K.; Tucker, M.A.; Fraumeni, J.F. New Malignancies Among Cancer Survivors: SEER Cancer Registries, 1973–2000; US Department of Health and Human Services, National Institutes of Health, National Cancer Institute: Bethesda, MD, USA, 2006.
- Driver, J.A.; Beiser, A.; Au, R.; Kreger, B.E.; Splansky, G.L.; Kurth, T.; Kiel, D.P.; Lu, K.P.; Seshadri, S.; Wolf, P.A. Inverse association between cancer and Alzheimer’s disease: Results from the Framingham Heart Study. BMJ 2012, 344, e1442. [Google Scholar] [CrossRef]
- Roe, C.M.; Behrens, M.I.; Xiong, C.; Miller, J.P.; Morris, J.C. Alzheimer’s disease and cancer. Neurology 2005, 64, 895–898. [Google Scholar] [CrossRef]
- Roe, C.M.; Fitzpatrick, A.L.; Xiong, C.; Sieh, W.; Kuller, L.; Miller, J.P.; Williams, M.M.; Kopan, R.; Behrens, M.I.; Morris, J.C. Cancer linked to Alzheimer’s disease but not vascular dementia. Neurology 2010, 74, 106–112. [Google Scholar] [CrossRef]
- Yarchoan, M.; James, B.D.; Shah, R.C.; Arvanitakis, Z.; Wilson, R.S.; Schneider, J.; Bennett, D.A.; Arnold, S.E. Association of Cancer History with Alzheimer’s Disease Dementia and Neuropathology. J. Alzheimer’s Dis. 2017, 56, 699–706. [Google Scholar] [CrossRef]
- Ibler, E.; Tran, G.; Orrell, K.A.; Serrano, L.; Majewski, S.; Sable, K.A.; Thiede, R.; Laumann, A.E.; West, D.P.; Nardone, B. Inverse association for diagnosis of Alzheimer’s disease subsequent to both melanoma and non-melanoma skin cancers in a large, urban, single-centre, Midwestern US patient population. J. Eur. Acad. Dermatol. Venereol. 2018, 32, 1893–1896. [Google Scholar] [CrossRef]
- Nead, K.T.; Sinha, S.; Nguyen, P.L. Androgen deprivation therapy for prostate cancer and dementia risk: A systematic review and meta-analysis. Prostate Cancer Prostatic Dis. 2017, 20, 259–264. [Google Scholar] [CrossRef] [PubMed]
- Robinson, D.; Garmo, H.; Van Hemelrijck, M.; Damber, J.-E.; Bratt, O.; Holmberg, L.; Wahlund, L.-O.; Stattin, P.; Adolfsson, J. Androgen deprivation therapy for prostate cancer and risk of dementia. BJU Int. 2019, 124, 87–92. [Google Scholar] [CrossRef]
- Beavis, A.L.; Gravitt, P.E.; Rositch, A.F. Hysterectomy-corrected cervical cancer mortality rates reveal a larger racial disparity in the United States. Cancer 2017, 123, 1044–1050. [Google Scholar] [CrossRef] [PubMed]
- Wang, S.S.; Sherman, M.E.; Hildesheim, A.; Lacey Jr, J.V.; Devesa, S. Cervical adenocarcinoma and squamous cell carcinoma incidence trends among white women and black women in the United States for 1976–2000. Cancer 2004, 100, 1035–1044. [Google Scholar] [CrossRef]
- Howell, E.A.; Chen, Y.-T.; Concato, J. Differences in cervical cancer mortality among black and white women. Obstet. Gynecol. 1999, 94, 509–515. [Google Scholar] [PubMed]
- Robin, T.P.; Amini, A.; Schefter, T.E.; Behbakht, K.; Fisher, C.M. Disparities in standard of care treatment and associated survival decrement in patients with locally advanced cervical cancer. Gynecol. Oncol. 2016, 143, 319–325. [Google Scholar] [CrossRef] [PubMed]
- Vidal, A.C.; Smith, J.S.; Valea, F.; Bentley, R.; Gradison, M.; Yarnall, K.S.H.; Ford, A.; Overcash, F.; Grant, K.; Murphy, S.K.; et al. HPV genotypes and cervical intraepithelial neoplasia in a multiethnic cohort in the southeastern USA. Cancer Causes Control 2014, 25, 1055–1062. [Google Scholar] [CrossRef]
- Steenland, K.; Goldstein, F.C.; Levey, A.; Wharton, W. A Meta-Analysis of Alzheimer’s Disease Incidence and Prevalence Comparing African-Americans and Caucasians. J. Alzheimer’s Dis. 2016, 50, 71–76. [Google Scholar] [CrossRef]
- Mehta, K.; Yaffe, K.; Pérez-Stable, E.a.; Stewart, A.; Barnes, D.; Kurland, B.; Miller, B. Race/ethnic differences in AD survival in US Alzheimer’s Disease Centers. Neurology 2008, 70, 1163–1170. [Google Scholar] [CrossRef]
- Wang, H.-Z.; Bi, R.; Hu, Q.-X.; Xiang, Q.; Zhang, C.; Zhang, D.-F.; Zhang, W.; Ma, X.; Guo, W.; Deng, W.; et al. Validating GWAS-Identified Risk Loci for Alzheimer’s Disease in Han Chinese Populations. Mol. Neurobiol. 2016, 53, 379–390. [Google Scholar] [CrossRef]
- Tanzi, R.E. The genetics of Alzheimer’s disease. Cold Spring Harb. Perspect. Med. 2012, 2, a006296. [Google Scholar] [CrossRef]
- Saadat, M. Apolipoprotein E (APOE) Polymorphisms and Susceptibility to Breast Cancer: A Meta-Analysis. Cancer Res. Treat. Off. J. Korean Cancer Assoc. 2012, 44, 121–126. [Google Scholar] [CrossRef] [PubMed]
- Mayeda, E.R.; Glymour, M.M.; Quesenberry, C.P.; Whitmer, R.A. Inequalities in dementia incidence between six racial and ethnic groups over 14 years. Alzheimer’s Dement. J. Alzheimer’s Assoc. 2016, 12, 216–224. [Google Scholar] [CrossRef] [PubMed]
- Mayeda, E.R.; Glymour, M.M.; Quesenberry, C.P.; Johnson, J.K.; Pérez-Stable, E.J.; Whitmer, R.A. Survival after dementia diagnosis in five racial/ethnic groups. Alzheimer’s Dement. 2017, 13, 761–769. [Google Scholar] [CrossRef] [PubMed]
- Pal, T.; Bonner, D.; Cragun, D.; Monteiro, A.N.A.; Phelan, C.; Servais, L.; Kim, J.; Narod, S.A.; Akbari, M.R.; Vadaparampil, S.T. A high frequency of BRCA mutations in young black women with breast cancer residing in Florida. Cancer 2015, 121, 4173–4180. [Google Scholar] [CrossRef] [PubMed]
- Suberbielle, E.; Djukic, B.; Evans, M.; Kim, D.H.; Taneja, P.; Wang, X.; Finucane, M.; Knox, J.; Ho, K.; Devidze, N.; et al. DNA repair factor BRCA1 depletion occurs in Alzheimer’s brains and impairs cognitive function in mice. Nat. Commun. 2015, 6, 8897. [Google Scholar] [CrossRef] [PubMed]
- Xu, P.; Liu, Q.; Xie, Y.; Shi, X.; Li, Y.; Peng, M.; Guo, H.; Sun, R.; Li, J.; Hong, Y.; et al. Breast cancer susceptibility protein 1 (BRCA1) rescues neurons from cerebral ischemia/reperfusion injury through NRF2-mediated antioxidant pathway. Redox Biol. 2018, 18, 158–172. [Google Scholar] [CrossRef]
- Rubinsztein, D.C.; Orr, H.T. Diminishing return for mechanistic therapeutics with neurodegenerative disease duration?: There may be a point in the course of a neurodegenerative condition where therapeutics targeting disease-causing mechanisms are futile. Bioessays News Rev. Mol. Cell. Dev. Biol. 2016, 38, 977–980. [Google Scholar] [CrossRef]
- Gao, S.; Hendrie, H.C.; Hall, K.S.; Hui, S. The Relationships Between Age, Sex, and the Incidence of Dementia and Alzheimer’s Disease: A Meta-analysis. Arch. Gen. Psychiatry 1998, 55, 809–815. [Google Scholar] [CrossRef]
- Ahles, T.A.; Saykin, A.J. Candidate mechanisms for chemotherapy-induced cognitive changes. Nat. Rev. Cancer 2007, 7, 192–201. [Google Scholar] [CrossRef]
- Butterfield, D.A. The 2013 SFRBM discovery award: Selected discoveries from the butterfield laboratory of oxidative stress and its sequela in brain in cognitive disorders exemplified by Alzheimer’s disease and chemotherapy induced cognitive impairment. Free Radic. Biol. Med. 2014, 74, 157–174. [Google Scholar] [CrossRef] [PubMed]
- Keimowitz, R.M. Dementia Improvement With Cytotoxic Chemotherapy: A Case of Alzheimer’s Disease and Multiple Myeloma. Arch. Neurol. 1997, 54, 485–488. [Google Scholar] [CrossRef] [PubMed]
- Kesler, S.R.; Rao, V.; Ray, W.J.; Rao, A.; Alzheimer’s Disease Neuroimaging, I. Probability of Alzheimer’s disease in breast cancer survivors based on gray-matter structural network efficiency. Alzheimer’s Dement. 2017, 9, 67–75. [Google Scholar] [CrossRef] [PubMed]
- Zhang, B.; Maiti, A.; Shively, S.; Lakhani, F.; McDonald-Jones, G.; Bruce, J.; Lee, E.B.; Xie, S.X.; Joyce, S.; Li, C.; et al. Microtubule-binding drugs offset tau sequestration by stabilizing microtubules and reversing fast axonal transport deficits in a tauopathy model. Proc. Natl. Acad. Sci. USA 2005, 102, 227–231. [Google Scholar] [CrossRef]
- Zhang, B.; Carroll, J.; Trojanowski, J.Q.; Yao, Y.; Iba, M.; Potuzak, J.S.; Hogan, A.-M.L.; Xie, S.X.; Ballatore, C.; Smith, A.B., 3rd; et al. The microtubule-stabilizing agent, epothilone D, reduces axonal dysfunction, neurotoxicity, cognitive deficits, and Alzheimer-like pathology in an interventional study with aged tau transgenic mice. J. Neurosci. 2012, 32, 3601–3611. [Google Scholar] [CrossRef]
- Lipsman, N.; Meng, Y.; Bethune, A.J.; Huang, Y.; Lam, B.; Masellis, M.; Herrmann, N.; Heyn, C.; Aubert, I.; Boutet, A.; et al. Blood–brain barrier opening in Alzheimer’s disease using MR-guided focused ultrasound. Nat. Commun. 2018, 9, 2336. [Google Scholar] [CrossRef]
- Antony, H.; Wiegmans, A.P.; Wei, M.Q.; Chernoff, Y.O.; Khanna, K.K.; Munn, A.L. Potential roles for prions and protein-only inheritance in cancer. Cancer Metastasis Rev. 2012, 31, 1–19. [Google Scholar] [CrossRef]
- Navalkar, A.; Ghosh, S.; Pandey, S.; Paul, A.; Datta, D.; Maji, S.K. Prion-like p53 Amyloids in Cancer. Biochemistry 2020, 59, 146–155. [Google Scholar] [CrossRef]
- Rangel, L.P.; Costa, D.C.F.; Vieira, T.C.R.G.; Silva, J.L. The aggregation of mutant p53 produces prion-like properties in cancer. Prion 2014, 8, 75–84. [Google Scholar] [CrossRef]
- Hill, A.B. The environment and disease: Association or causation? Proc. R. Soc. Med. 1965, 58, 295–300. [Google Scholar] [CrossRef]
- Hershman, D.L.; Wang, X.; McBride, R.; Jacobson, J.S.; Grann, V.R.; Neugut, A.I. Delay in initiating adjuvant radiotherapy following breast conservation surgery and its impact on survival. Int. J. Radiat. Oncol. Biol. Phys. 2006, 65, 1353–1360. [Google Scholar] [CrossRef] [PubMed]
- Berrington de Gonzalez, A.; Curtis, R.E.; Gilbert, E.; Berg, C.D.; Smith, S.A.; Stovall, M.; Ron, E. Second solid cancers after radiotherapy for breast cancer in SEER cancer registries. Br. J. Cancer 2010, 102, 220–226. [Google Scholar] [CrossRef] [PubMed]
- Krewski, D.; Barakat-Haddad, C.; Donnan, J.; Martino, R.; Pringsheim, T.; Tremlett, H.; van Lieshout, P.; Walsh, S.J.; Birkett, N.J.; Gomes, J.; et al. Determinants of neurological disease: Synthesis of systematic reviews. Neurotoxicology 2017, 61, 266–289. [Google Scholar] [CrossRef] [PubMed]
- Heston, L. Down’s syndrome and Alzheimer’s dementia: Defining an association. Psychiatr. Dev. 1984, 2, 287–294. [Google Scholar]
- Park, R.M.; Schulte, P.A.; Bowman, J.D.; Walker, J.T.; Bondy, S.C.; Yost, M.G.; Touchstone, J.A.; Dosemeci, M. Potential occupational risks for neurodegenerative diseases. Am. J. Ind. Med. 2005, 48, 63–77. [Google Scholar] [CrossRef]
- Yamada, M.; Kasagi, F.; Mimori, Y.; Miyachi, T.; Ohshita, T.; Sasaki, H. Incidence of dementia among atomic-bomb survivors — Radiation Effects Research Foundation Adult Health Study. J. Neurol. Sci. 2009, 281, 11–14. [Google Scholar] [CrossRef]
- Picano, E.; Vano, E.; Domenici, L.; Bottai, M.; Thierry-Chef, I. Cancer and non-cancer brain and eye effects of chronic low-dose ionizing radiation exposure. BMC Cancer 2012, 12, 157. [Google Scholar] [CrossRef]
- Begum, N.; Wang, B.; Mori, M.; Vares, G. Does ionizing radiation influence Alzheimer’s disease risk? J. Radiat. Res. 2012, 53, 815–822. [Google Scholar] [CrossRef]
- Sharma, N.K.; Sharma, R.; Mathur, D.; Sharad, S.; Minhas, G.; Bhatia, K.; Anand, A.; Ghosh, S.P. Role of Ionizing Radiation in Neurodegenerative Diseases. Front. Aging Neurosci. 2018, 10. [Google Scholar] [CrossRef]
- Aso, E.; Lomoio, S.; López-González, I.; Joda, L.; Carmona, M.; Fernández-Yagüe, N.; Moreno, J.; Juvés, S.; Pujol, A.; Pamplona, R.; et al. Amyloid Generation and Dysfunctional Immunoproteasome Activation with Disease Progression in Animal Model of Familial Alzheimer’s Disease. Brain Pathol. 2012, 22, 636–653. [Google Scholar] [CrossRef]
- Marples, B.; McGee, M.; Callan, S.; Bowen, S.E.; Thibodeau, B.J.; Michael, D.B.; Wilson, G.D.; Maddens, M.E.; Fontanesi, J.; Martinez, A.A. Cranial irradiation significantly reduces beta amyloid plaques in the brain and improves cognition in a murine model of Alzheimer’s Disease (AD). Radiother. Oncol. 2016, 118, 43–51. [Google Scholar] [CrossRef] [PubMed]
- Cherry, J.D.; Liu, B.; Frost, J.L.; Lemere, C.A.; Williams, J.P.; Olschowka, J.A.; O’Banion, M.K. Galactic cosmic radiation leads to cognitive impairment and increased aβ plaque accumulation in a mouse model of Alzheimer’s disease. PLoS ONE 2012, 7, e53275. [Google Scholar] [CrossRef] [PubMed]
- Lowe, X.R.; Bhattacharya, S.; Marchetti, F.; Wyrobek, A.J. Early Brain Response to Low-Dose Radiation Exposure Involves Molecular Networks and Pathways Associated with Cognitive Functions, Advanced Aging and Alzheimer’s Disease. Radiat. Res. 2009, 171, 53–65. [Google Scholar] [CrossRef] [PubMed]
- Wang, B.; Tanaka, K.; Ji, B.; Ono, M.; Fang, Y.; Ninomiya, Y.; Maruyama, K.; Izumi-Nakajima, N.; Begum, N.; Higuchi, M.; et al. Total body 100-mGy X-irradiation does not induce Alzheimer’s disease-like pathogenesis or memory impairment in mice. J. Radiat. Res. 2013, 55, 84–96. [Google Scholar] [CrossRef] [PubMed]
- Cox, B.S.; Tuite, M.F.; Mundy, C.J. Reversion from suppression to nonsuppression in SUQ5 [psi+] strains of yeast: The classificaion of mutations. Genetics 1980, 95, 589–609. [Google Scholar] [PubMed]
- Tuite, M.F.; Cox, B.S. Ultraviolet mutagenesis studies of [psi], a cytoplasmic determinant of Saccharomyces cerevisiae. Genetics 1980, 95, 611–630. [Google Scholar] [PubMed]
- Chernova, T.A.; Wilkinson, K.D.; Chernoff, Y.O. Prions, Chaperones, and Proteostasis in Yeast. Cold Spring Harb. Perspect. Biol. 2017, 9. [Google Scholar] [CrossRef]
- Chernoff, Y.O.; Lindquist, S.L.; Ono, B.; Inge-Vechtomov, S.G.; Liebman, S.W. Role of the chaperone protein Hsp104 in propagation of the yeast prion-like factor [psi+]. Science 1995, 268, 880–884. [Google Scholar] [CrossRef]
- Chernova, T.A.; Wilkinson, K.D.; Chernoff, Y.O. Physiological and environmental control of yeast prions. FEMS Microbiol. Rev. 2014, 38, 326–344. [Google Scholar] [CrossRef]
- Mezencev, R. Epidemiology of gliomas in women diagnosed with breast cancer supports the protective role of estrogenic exposure. Bratisl. Med. J. 2018, 119, 463–468. [Google Scholar] [CrossRef]
- Xu, H.; Gouras, G.K.; Greenfield, J.P.; Vincent, B.; Naslund, J.; Mazzarelli, L.; Fried, G.; Jovanovic, J.N.; Seeger, M.; Relkin, N.R. Estrogen reduces neuronal generation of Alzheimer’s β-amyloid peptides. Nat. Med. 1998, 4, 447–451. [Google Scholar] [CrossRef] [PubMed]
- Rocca, W.A.; Bower, J.H.; Maraganore, D.; Ahlskog, J.; Grossardt, B.; De Andrade, M.; Melton, L.R. Increased risk of cognitive impairment or dementia in women who underwent oophorectomy before menopause. Neurology 2007, 69, 1074–1083. [Google Scholar] [CrossRef] [PubMed]
- Amtul, Z.; Wang, L.; Westaway, D.; Rozmahel, R.F. Neuroprotective mechanism conferred by 17beta-estradiol on the biochemical basis of Alzheimer’s disease. Neuroscience 2010, 169, 781–786. [Google Scholar] [CrossRef]
- Schoenberg, B.S.; Myers, M.H. Statistical methods for studying multiple primary malignant neoplasms. Cancer 1977, 40, 1892–1898. [Google Scholar] [CrossRef]
- Number of Persons by Race and Hispanic Ethnicity for SEER Participants (2010 Census Data 1). Available online: https://seer.cancer.gov/registries/data.html (accessed on 6 February 2020).
- Dictionary of SEER*Stat Variables. Available online: https://seer.cancer.gov/data-software/documentation/seerstat/nov2018/ (accessed on 6 February 2020).
- Sahai, H.; Khurshid, A. Confidence-Intervals for the Mean of a Poisson-Distribution-A Review. Biom. J. 1993, 35, 857–867. [Google Scholar] [CrossRef]
- The R Project for Statistical Computing. Available online: https://www.r-project.org/ (accessed on 6 February 2020).
- Cmprsk: Subdistribution Analysis of Competing Risks. Available online: https://cran.r-project.org/web/packages/cmprsk/index.html (accessed on 6 February 2020).
- Scheike, T.H.; Zhang, M.-J. Analyzing competing risk data using the R timereg package. J. Stat. Softw. 2011, 38, i02. [Google Scholar] [CrossRef] [PubMed]
- Sahai, H.; Khurshid, A. Statistics in Epidemiology: Methods, Techniques, and Applications; CRC Press: Boca Raton, FL, USA, 1996. [Google Scholar]
- Sullivan, K.M.; Dean, A.; Soe, M.M. OpenEpi: A web-based epidemiologic and statistical calculator for public health. Public Health Rep. 2009, 124, 471–474. [Google Scholar] [CrossRef]




| Characteristics | White | Black | AIAN † | API ‡ | All Races |
|---|---|---|---|---|---|
| Number of cancer cases Age: 0–44 years Age: 45+ years | 347,583 2,902,524 | 47,745 325588 | 3,970 17,361 | 33,787 212,982 | 433,085 3,458,455 |
| Accumulated persons-years at risk Age: 0–44 years Age: 45+ years | 4,233,862.49 17,226,235.60 | 419,384.02 1,547,446.29 | 38,158.83 81,733.97 | 324,710.40 1,116,766.56 | 5,016,115.73 20,022,182.42 |
| Mean follow-up time (years) Age: 0–44 years Age: 45+ years | 12.18 5.93 | 8.78 4.75 | 9.61 4.71 | 9.61 5.48 | 11.58 5.79 |
| Number of deaths due to AD Age: 0–44 years Age: 45+ years | 76 21,098 | 10 1,086 | 0 40 | 1 855 | 87 23079 |
| Mean age at cancer diagnosis (years) | 64.4 | 61.3 | 59.0 | 62.8 | 64.0 |
| Mean age at AD diagnosis (years) | 87.4 | 86.2 | 85.3 | 88.9 | 87.4 |
| Tumor Site | Time | White | Black | American Indian/ Alaska Native | Asian or Pacific Islander | ||||||||
|---|---|---|---|---|---|---|---|---|---|---|---|---|---|
| O | SMR | N | O | SMR | N | O | SMR | N | O | SMR | N | ||
| All Sites | 0–11 | 831 | 0.58 * | 2,902,524 | 90 | 1.07 | 325,588 | 0 | 0 | 17,361 | 55 | 1.12 | 212,982 |
| 12–59 | 2961 | 0.66 * | 2,017,523 | 149 | 0.61 * | 211,235 | 5 | 0.72 | 11,068 | 110 | 0.77 * | 144,601 | |
| 60–119 | 4781 | 0.96 * | 1,163,005 | 246 | 0.91 | 107,434 | 11 | 1.6 | 5616 | 187 | 1.15 | 78,838 | |
| 120+ | 12,525 | 1.17 * | 652,960 | 601 | 1.17 * | 53,905 | 24 | 1.89 * | 2840 | 503 | 1.47 * | 42,731 | |
| Total | 21,098 | 0.97 * | 2,902,524 | 1086 | 0.98 | 325,588 | 40 | 1.38 | 17,361 | 855 | 1.23 * | 212,982 | |
| All Solid Tumors | 0–11 | 677 | 0.54 * | 2,591,705 | 75 | 0.99 | 294,314 | 0 | 0 | 15,459 | 48 | 1.09 | 193,045 |
| 12–59 | 2671 | 0.66 * | 1,836,126 | 140 | 0.62 * | 194,165 | 5 | 0.79 | 10,075 | 104 | 0.79 * | 133,998 | |
| 60–119 | 4477 | 0.97 * | 1,072,839 | 236 | 0.92 | 100,169 | 11 | 1.69 | 5183 | 180 | 1.18 * | 73,929 | |
| 120+ | 12,043 | 1.17 * | 611,020 | 586 | 1.18 * | 50,975 | 24 | 1.96 * | 2670 | 478 | 1.45 * | 40,480 | |
| Total | 19,868 | 0.99 * | 2,591,705 | 1037 | 0.99 | 294,314 | 40 | 1.46 * | 15,459 | 810 | 1.23 * | 193,045 | |
| All Lymphatic and Hematopoietic Diseases | 0–11 | 78 | 0.55 * | 235,508 | 8 | 1.09 | 22,966 | 0 | 0 | 1341 | 2 | 0.5 | 15,144 |
| 12–59 | 226 | 0.57 * | 158,588 | 7 | 0.38 * | 15,140 | 0 | 0 | 864 | 5 | 0.5 | 9282 | |
| 60–119 | 246 | 0.75 * | 80,438 | 9 | 0.73 | 6519 | 0 | 0 | 380 | 7 | 0.85 | 4369 | |
| 120+ | 410 | 1 | 37,054 | 12 | 0.81 | 2557 | 0 | 0 | 145 | 21 | 1.90 * | 1966 | |
| Total | 960 | 0.75 * | 235,508 | 36 | 0.68 * | 22,966 | 0 | 0 | 1341 | 35 | 1.05 | 15,144 | |
| Oral cavity | 0–11 | 22 | 0.83 | 62,222 | 3 | 3.89 | 5925 | 0 | 0 | 326 | 0 | 0 | 3168 |
| 12–59 | 54 | 0.74 * | 48,305 | 1 | 0.5 | 3965 | 0 | 0 | 249 | 1 | 0.47 | 2379 | |
| 60–119 | 63 | 0.91 | 25,637 | 3 | 1.55 | 1624 | 2 | 17.06 * | 109 | 3 | 1.59 | 1229 | |
| 120+ | 180 | 1.25 * | 13,388 | 4 | 0.89 | 771 | 0 | 0 | 51 | 5 | 1.22 | 654 | |
| Total | 319 | 1.02 | 62,222 | 11 | 1.2 | 5925 | 2 | 3.94 | 326 | 9 | 1 | 3168 | |
| Stomach | 0–11 | 7 | 0.33 * | 49,259 | 1 | 0.38 | 8261 | 0 | 0 | 590 | 4 | 1.58 | 9623 |
| 12–59 | 28 | 0.73 | 20,760 | 2 | 0.46 | 3524 | 0 | 0 | 209 | 3 | 0.59 | 4825 | |
| 60–119 | 32 | 0.97 | 6536 | 4 | 1.13 | 1152 | 0 | 0 | 63 | 9 | 1.84 | 1898 | |
| 120+ | 66 | 1.31 * | 3107 | 9 | 1.72 | 522 | 0 | 0 | 32 | 13 | 1.46 | 998 | |
| Total | 133 | 0.93 | 49,259 | 16 | 1.02 | 8261 | 0 | 0 | 590 | 29 | 1.35 | 9623 | |
| Colon excluding Rectum | 0–11 | 85 | 0.50 * | 238,546 | 8 | 0.77 | 27,506 | 0 | 0 | 1286 | 3 | 0.49 | 19,030 |
| 12—59 | 322 | 0.58 * | 167,866 | 17 | 0.57 * | 18,467 | 1 | 1.26 | 878 | 15 | 0.74 | 14,310 | |
| 60–119 | 612 | 1.03 | 92,691 | 36 | 1.12 | 9012 | 0 | 0 | 411 | 30 | 1.31 | 8039 | |
| 120+ | 1416 | 1.24 * | 52,188 | 80 | 1.17 | 4863 | 4 | 3.29 | 197 | 81 | 1.71 * | 4503 | |
| Total | 2435 | 0.99 | 238,546 | 141 | 1 | 27,506 | 5 | 1.69 | 1286 | 129 | 1.33 * | 19,030 | |
| Rectum and Rectosigmoid Junction | 0–11 | 20 | 0.43 * | 98,430 | 3 | 1.27 | 9106 | 0 | 0 | 650 | 1 | 0.51 | 9946 |
| 12–59 | 86 | 0.59 * | 75,021 | 4 | 0.61 | 6615 | 0 | 0 | 480 | 10 | 1.62 | 7903 | |
| 60–119 | 157 | 0.97 | 40,212 | 7 | 1.02 | 3181 | 0 | 0 | 219 | 7 | 0.99 | 4224 | |
| 120+ | 518 | 1.23 * | 22,940 | 28 | 1.75 * | 1593 | 1 | 1.87 | 106 | 29 | 1.48 | 2325 | |
| Total | 781 | 1.01 | 98,430 | 42 | 1.32 | 9106 | 1 | 1 | 650 | 47 | 1.35 | 9946 | |
| Larynx | 0–11 | 4 | 0.52 | 27,814 | 0 | 0 | 4384 | 0 | 0 | 125 | 0 | 0 | 1159 |
| 12–59 | 17 | 0.65 | 22,479 | 2 | 1.16 | 3292 | 0 | 0 | 94 | 0 | 0 | 936 | |
| 60–119 | 24 | 0.86 | 12,778 | 3 | 1.64 | 1535 | 0 | 0 | 45 | 0 | 0 | 533 | |
| 120+ | 60 | 0.86 | 7090 | 6 | 1.32 | 762 | 0 | 0 | 19 | 3 | 1.77 | 289 | |
| Total | 105 | 0.80 * | 27,814 | 11 | 1.27 | 4384 | 0 | 0 | 125 | 3 | 0.88 | 1159 | |
| Lung and Bronchus | 0–11 | 111 | 0.78 * | 400,070 | 14 | 1.53 | 50,838 | 0 | 0 | 1729 | 11 | 1.8 | 28,702 |
| 12–59 | 114 | 0.56 * | 152,240 | 9 | 0.76 | 18,785 | 0 | 0 | 635 | 4 | 0.47 | 11,950 | |
| 60–119 | 118 | 0.89 | 39,797 | 6 | 0.91 | 4117 | 3 | 22.59 * | 147 | 5 | 1.03 | 2887 | |
| 120+ | 210 | 1.19 * | 16,810 | 13 | 1.35 | 1600 | 0 | 0 | 51 | 5 | 0.72 | 1167 | |
| Total | 553 | 0.84 * | 400,070 | 42 | 1.13 | 50,838 | 3 | 3.44 | 1729 | 25 | 0.94 | 28,702 | |
| Melanoma of the Skin | 0–11 | 34 | 0.55 * | 104,070 | 1 | 3.59 | 547 | 0 | 0 | 223 | 0 | 0 | 823 |
| 12–59 | 178 | 0.9 | 89,593 | 0 | 0 | 432 | 0 | 0 | 185 | 1 | 1.1 | 674 | |
| 60–119 | 168 | 0.89 | 56,914 | 2 | 3.43 | 226 | 0 | 0 | 110 | 1 | 1.45 | 356 | |
| 120+ | 434 | 0.99 | 33,396 | 2 | 1.37 | 121 | 0 | 0 | 65 | 1 | 0.93 | 196 | |
| Total | 814 | 0.92 * | 104,070 | 5 | 1.67 | 547 | 0 | 0 | 223 | 3 | 1.01 | 823 | |
| Female Breast | 0–11 | 93 | 0.39 * | 423,475 | 8 | 0.59 | 41,945 | 0 | 0 | 2413 | 1 | 0.15 * | 33,017 |
| 12–59 | 661 | 0.69 * | 375,853 | 35 | 0.72 | 35,704 | 1 | 0.79 | 2111 | 18 | 0.69 | 29,167 | |
| 60–119 | 1155 | 0.98 | 256,413 | 36 | 0.69 * | 20,683 | 1 | 0.66 | 1277 | 38 | 1.14 | 19,199 | |
| 120+ | 3466 | 1.18 * | 157,281 | 150 | 1.25 * | 11,184 | 7 | 2.28 | 713 | 122 | 1.29 * | 11,428 | |
| Total | 5375 | 1.01 | 423,475 | 229 | 0.98 | 41,945 | 9 | 1.45 | 2413 | 179 | 1.12 | 33,017 | |
| Cervix Uteri | 0–11 | 1 | 0.25 | 18,443 | 1 | 1.37 | 4096 | 0 | 0 | 284 | 0 | 0 | 2470 |
| 12–59 | 7 | 0.62 | 14,118 | 2 | 1 | 3005 | 0 | 0 | 210 | 0 | 0 | 2008 | |
| 60–119 | 7 | 0.48 * | 8452 | 8 | 3.13 * | 1659 | 0 | 0 | 112 | 2 | 1.79 | 1261 | |
| 120+ | 87 | 1.09 | 5754 | 14 | 1.31 | 1062 | 0 | 0 | 78 | 10 | 1.46 | 898 | |
| Total | 102 | 0.93 | 18,443 | 25 | 1.56 * | 4096 | 0 | 0 | 284 | 12 | 1.31 | 2470 | |
| Corpus Uteri | 0–11 | 18 | 0.43 * | 102,895 | 1 | 0.41 | 8278 | 0 | 0 | 595 | 0 | 0 | 7447 |
| 12–59 | 70 | 0.44 * | 89,195 | 8 | 1.21 | 6082 | 0 | 0 | 494 | 1 | 0.3 | 6273 | |
| 60–119 | 193 | 0.85 * | 63,065 | 7 | 0.94 | 3028 | 0 | 0 | 295 | 2 | 0.45 | 4009 | |
| 120+ | 1296 | 1.17 * | 43,117 | 19 | 0.91 | 1627 | 2 | 2.13 | 156 | 29 | 1.33 | 2488 | |
| Total | 1577 | 1.02 | 102,895 | 35 | 0.94 | 8278 | 2 | 1.34 | 595 | 32 | 1.05 | 7447 | |
| Ovary | 0–11 | 16 | 0.84 | 49,631 | 0 | 0 | 3860 | 0 | 0 | 393 | 0 | 0 | 3296 |
| 12–59 | 14 | 0.34 * | 32,229 | 1 | 0.52 | 2145 | 0 | 0 | 264 | 0 | 0 | 2286 | |
| 60–119 | 25 | 0.7 | 13,185 | 2 | 1.26 | 769 | 0 | 0 | 112 | 1 | 1.03 | 1034 | |
| 120+ | 130 | 1 | 7228 | 6 | 1.52 | 369 | 1 | 4.17 | 57 | 4 | 0.93 | 575 | |
| Total | 185 | 0.82 * | 49,631 | 9 | 1.06 | 3860 | 1 | 2.55 | 393 | 5 | 0.75 | 3296 | |
| Prostate | 0–11 | 98 | 0.46 * | 468,304 | 13 | 0.7 | 73,082 | 0 | 0 | 2334 | 8 | 1.03 | 28,745 |
| 12–59 | 668 | 0.71 * | 423,333 | 44 | 0.54 * | 64,547 | 1 | 0.57 | 2037 | 29 | 0.83 | 25,887 | |
| 60–119 | 1306 | 0.99 | 291,592 | 103 | 0.9 | 41,597 | 5 | 2.41 | 1286 | 56 | 1.11 | 17,479 | |
| 120+ | 2842 | 1.19 * | 160,290 | 212 | 1.12 | 21,057 | 4 | 1.35 | 638 | 114 | 1.49 * | 9031 | |
| Total | 4914 | 1.01 | 468,304 | 372 | 0.92 | 73,082 | 10 | 1.38 | 2334 | 207 | 1.22 * | 28,745 | |
| Urinary Bladder | 0–11 | 64 | 0.59 * | 143,356 | 5 | 1.36 | 7199 | 0 | 0 | 373 | 6 | 2.19 | 5977 |
| 12–59 | 225 | 0.66 * | 113,034 | 7 | 0.72 | 4875 | 2 | 10.85 * | 257 | 8 | 1.01 | 4656 | |
| 60–119 | 321 | 0.96 | 68,104 | 7 | 0.84 | 2489 | 0 | 0 | 148 | 13 | 1.68 | 2672 | |
| 120+ | 697 | 1.16 * | 37,795 | 11 | 0.9 | 1239 | 1 | 3.08 | 82 | 19 | 1.47 | 1422 | |
| Total | 1307 | 0.95 * | 143,356 | 30 | 0.89 | 7199 | 3 | 4 | 373 | 46 | 1.47 * | 5977 | |
| Kidney | 0–11 | 29 | 1.04 | 66,840 | 3 | 1.61 | 8035 | 0 | 0 | 961 | 0 | 0 | 4314 |
| 12–59 | 51 | 0.57 * | 46,993 | 1 | 0.17 * | 5486 | 0 | 0 | 667 | 4 | 1.28 | 3177 | |
| 60–119 | 83 | 0.91 | 26,341 | 6 | 1 | 2862 | 0 | 0 | 340 | 4 | 1.32 | 1685 | |
| 120+ | 180 | 1.19 * | 13,376 | 9 | 1.03 | 1265 | 1 | 1.77 | 165 | 7 | 1.99 | 735 | |
| Total | 343 | 0.95 | 66,840 | 19 | 0.85 | 8035 | 1 | 0.68 | 961 | 15 | 1.42 | 4314 | |
| Thyroid | 0–11 | 5 | 0.6 | 35,504 | 0 | 0 | 2865 | 0 | 0 | 310 | 0 | 0 | 4663 |
| 12–59 | 16 | 0.48 * | 30,928 | 1 | 0.55 | 2420 | 0 | 0 | 263 | 0 | 0 | 4014 | |
| 60–119 | 31 | 0.75 | 21,128 | 1 | 0.54 | 1507 | 0 | 0 | 158 | 3 | 1.33 | 2738 | |
| 120+ | 118 | 0.87 | 12,002 | 3 | 0.56 | 772 | 0 | 0 | 98 | 7 | 0.82 | 1570 | |
| Total | 170 | 0.78 * | 35,504 | 5 | 0.53 | 2865 | 0 | 0 | 310 | 10 | 0.77 | 4663 | |
| Non-Hodgkin Lymphoma | 0–11 | 31 | 0.44 * | 112,554 | 4 | 1.84 | 8008 | 0 | 0 | 609 | 2 | 0.86 | 8242 |
| 12–59 | 114 | 0.55 * | 79,707 | 2 | 0.33 | 5366 | 0 | 0 | 396 | 5 | 0.75 | 5359 | |
| 60–119 | 146 | 0.75 * | 44,300 | 4 | 0.74 | 2774 | 0 | 0 | 215 | 4 | 0.65 | 2881 | |
| 120+ | 268 | 1.04 | 21,932 | 7 | 0.79 | 1322 | 0 | 0 | 79 | 18 | 2.11 * | 1386 | |
| Total | 559 | 0.77 * | 112,554 | 17 | 0.76 | 8008 | 0 | 0 | 609 | 29 | 1.23 | 8242 | |
| Myeloma | 0–11 | 15 | 0.67 | 36,877 | 2 | 0.66 | 8263 | 0 | 0 | 355 | 0 | 0 | 2665 |
| 12–59 | 27 | 0.54 * | 24,956 | 2 | 0.29 | 5711 | 0 | 0 | 241 | 0 | 0 | 1834 | |
| 60–119 | 17 | 0.71 | 8298 | 3 | 0.91 | 1929 | 0 | 0 | 67 | 3 | 3.84 | 603 | |
| 120+ | 17 | 1.25 | 2258 | 3 | 1.2 | 531 | 0 | 0 | 22 | 1 | 1.44 | 164 | |
| Total | 76 | 0.69 * | 36,877 | 10 | 0.64 | 8263 | 0 | 0 | 355 | 4 | 1.03 | 2665 | |
| Chronic Lymphocytic Leukemia | 0–11 | 18 | 0.58 * | 36,054 | 0 | 0 | 2452 | 0 | 0 | 112 | 0 | 0 | 752 |
| 12–59 | 69 | 0.68 * | 30,396 | 2 | 0.49 | 1987 | 0 | 0 | 84 | 0 | 0 | 612 | |
| 60–119 | 64 | 0.75 * | 17,676 | 1 | 0.36 | 1001 | 0 | 0 | 43 | 0 | 0 | 334 | |
| 120+ | 94 | 0.93 | 7951 | 1 | 0.46 | 346 | 0 | 0 | 19 | 2 | 2.1 | 141 | |
| Total | 245 | 0.77 * | 36,054 | 4 | 0.39 * | 2452 | 0 | 0 | 112 | 2 | 0.64 | 752 | |
| Age at Diagnosis (Years) | Time since BC Diagnosis (Months) | Chemotherapy Status | Crude MRR | CI95 c | p-Value d | |||||||
|---|---|---|---|---|---|---|---|---|---|---|---|---|
| No/Unknown | Yes | |||||||||||
| O a | Persons | Person-Years | Crude AD Mortality Rate b | O a | Persons | Person-Years | Crude AD Mortality Rate b | |||||
| 65–69 | 0–119 | 57 | 24,703 | 154,178.79 | 36.97 | 10 | 10,286 | 55,654.87 | 17.97 | 0.486 | 0.221–0.960 | 0.0315 |
| 120+ | 205 | 8748 | 50,105.53 | 409.14 | 37 | 2541 | 11,404.05 | 324.45 | 0.793 | 0.543–1.130 | 0.1931 | |
| Total | 262 | 24,703 | 204,284.32 | 128.25 | 47 | 10,286 | 67,058.92 | 70.09 | 0.547 | 0.392–0.748 | 0.0001 | |
| 70–74 | 0–119 | 127 | 23,885 | 147,381.40 | 86.17 | 14 | 6182 | 31,469.60 | 44.49 | 0.516 | 0.274–0.899 | 0.0168 |
| 120+ | 387 | 8111 | 40,853.18 | 947.29 | 43 | 1310 | 5474.60 | 785.45 | 0.829 | 0.590–1.138 | 0.243 | |
| Total | 514 | 23,885 | 188,234.58 | 273.06 | 57 | 6182 | 36,944.21 | 154.29 | 0.565 | 0.422–0.744 | <0.0001 | |
| 75–79 | 0–119 | 296 | 21,724 | 127,501.65 | 232.15 | 19 | 3191 | 15,014.76 | 126.54 | 0.545 | 0.324–0.867 | 0.0092 |
| 120+ | 339 | 6007 | 24,295.26 | 1395.33 | 23 | 549 | 1898.00 | 1211.80 | 0.869 | 0.543–1.325 | 0.512 | |
| Total | 635 | 21,724 | 151,796.92 | 418.32 | 42 | 3191 | 16,912.76 | 248.33 | 0.594 | 0.424–0.812 | 0.0009 | |
| 80–84 | 0–119 | 420 | 16,205 | 82,793.72 | 507.28 | 13 | 1179 | 4695.96 | 276.83 | 0.546 | 0.288–0.943 | 0.029 |
| 120+ | 213 | 2796 | 8314.72 | 2561.72 | 8 | 118 | 304.28 | N/A | N/A | N/A | N/A | |
| Total | 633 | 16,205 | 91,108.44 | 694.78 | 21 | 1179 | 5000.25 | 419.98 | 0.605 | 0.372–0.932 | 0.0218 | |
| 85–89 | 0–119 | 308 | 9267 | 38,241.96 | 805.4 | 5 | 293 | 843.2 | N/A | N/A | N/A | N/A |
| 120+ | 54 | 786 | 1740.11 | 3103.25 | 0 | 7 | 12.25 | N/A | N/A | N/A | N/A | |
| Total | 362 | 9267 | 39,982.07 | 905.41 | 5 | 293 | 855.45 | N/A | N/A | N/A | N/A | |
| 90–94 | 0–119 | 104 | 3261 | 9809.39 | 1060.21 | 0 | 57 | 124.03 | N/A | N/A | N/A | N/A |
| 120+ | 6 | 67 | 97.48 | N/A | 0 | 0 | 0 | N/A | N/A | N/A | N/A | |
| Total | 110 | 3261 | 9906.86 | 1110.34 | 0 | 57 | 124.03 | N/A | N/A | N/A | N/A | |
| 95–99 | 0–119 | 25 | 640 | 1513.91 | 1651.35 | 0 | 8 | 25.25 | N/A | N/A | N/A | N/A |
| 120+ | 0 | 3 | 1.25 | N/A | 0 | 0 | 0 | N/A | N/A | N/A | N/A | |
| Total | 25 | 640 | 1515.16 | 1649.99 | 0 | 8 | 25.25 | N/A | N/A | N/A | N/A | |
| Age (Years) | Time since BC Diagnosis (Months) | Radiation Status | Comparison Beam: No/Unknown | |||||||||
|---|---|---|---|---|---|---|---|---|---|---|---|---|
| No/Unknown | Beam | MRR | CI95 c | p-Value d | ||||||||
| O a | Persons | Person-Years | Crude AD Mortality Rate b | O | Persons | Person-Years | Crude AD Mortality Rate | |||||
| 65–69 | 0–119 | 34 | 14,420 | 85,637.71 | 39.7 | 32 | 18,787 | 115,147.04 | 27.79 | 0.7 | 0.418–1.170 | 0.1454 |
| 120+ | 126 | 4742 | 27,631.06 | 456.01 | 111 | 6244 | 32,758.58 | 338.84 | 0.743 | 0.571–0.967 | 0.022 | |
| Total | 160 | 14,420 | 113,268.77 | 141.26 | 143 | 18,787 | 147,905.62 | 96.68 | 0.684 | 0.542–0.863 | 0.0009 | |
| 70–74 | 0–119 | 82 | 13,900 | 80,724.34 | 101.58 | 52 | 14,888 | 91,811.65 | 56.64 | 0.558 | 0.386–0.799 | 0.0008 |
| 120+ | 218 | 4363 | 22,233.44 | 980.51 | 207 | 4866 | 23,350.98 | 886.47 | 0.904 | 0.744–1.099 | 0.2987 | |
| Total | 300 | 13,900 | 102,957.78 | 291.38 | 259 | 14,888 | 115,162.63 | 224.9 | 0.772 | 0.651–0.915 | 0.0022 | |
| 75–79 | 0–119 | 180 | 13,140 | 71,581.47 | 251.46 | 126 | 10,769 | 65,982.38 | 190.96 | 0.759 | 0.6 | 0.959 |
| 120+ | 190 | 3220 | 12,926.41 | 1469.86 | 168 | 3190 | 12,860.67 | 1306.31 | 0.889 | 0.718–1.100 | 0.2651 | |
| Total | 370 | 13,140 | 84,507.88 | 437.83 | 294 | 10,769 | 78,843.06 | 372.89 | 0.852 | 0.728–0.995 | 0.0397 | |
| 80–84 | 0–119 | 300 | 10,963 | 51,835.34 | 578.76 | 123 | 5897 | 33,193.43 | 370.56 | 0.64 | 0.515–0.792 | <0.0001 |
| 120+ | 121 | 1635 | 4902.67 | 2468.04 | 94 | 1231 | 3615.37 | 2600.01 | 1.054 | 0.796–1.391 | 0.7048 | |
| Total | 421 | 10,963 | 56,738.00 | 742.01 | 217 | 5897 | 36,808.80 | 589.53 | 0.795 | 0.671–0.938 | 0.0058 | |
| 85–89 | 0–119 | 265 | 7358 | 28,581.32 | 927.18 | 43 | 1948 | 9505.77 | 452.36 | 0.488 | 0.345–0.675 | <0.0001 |
| 120+ | 39 | 542 | 1130.28 | 3450.47 | 15 | 240 | 603.95 | 2483.65 | 0.72 | 0.369–1.336 | 0.277 | |
| Total | 304 | 7358 | 29,711.60 | 1023.17 | 58 | 1948 | 10,109.72 | 573.71 | 0.561 | 0.416–0.745 | <0.0001 | |
| 90–94 | 0–119 | 93 | 2943 | 8597.44 | 1081.72 | 10 | 329 | 1177.30 | 849.4 | 0.785 | 0.409–1.508 | 0.467 |
| 120+ | 6 | 55 | 81.29 | N/A | 0 | 12 | 16.19 | N/A | N/A | N/A | N/A | |
| Total | 99 | 2943 | 8678.73 | 1140.72 | 10 | 329 | 1193.49 | 837.88 | 0.735 | 0.383–1.407 | 0.3505 | |
| 95–99 | 0–119 | 24 | 619 | 1481.60 | 1619.87 | 1 | 26 | 52.9 | N/A | N/A | N/A | N/A |
| 120+ | 0 | 3 | 1.25 | N/A | 0 | 0 | 0 | N/A | N/A | N/A | N/A | |
| Total | 24 | 619 | 1482.85 | 1618.5 | 1 | 26 | 52.9 | N/A | N/A | N/A | N/A | |
| Characteristics | AIAN † | API ‡ | Black | White | ALL | |
|---|---|---|---|---|---|---|
| Number of BC patients | 1726 | 24,993 | 28,456 | 282,092 | 337,267 | |
| Number of primary cancers per patient * | 1 | 1531 | 21,660 | 24,667 | 237,452 | 285,310 |
| 2–14 | 195 | 3333 | 3789 | 44,640 | 51,957 | |
| Chemotherapy | No | 1011 | 15,882 | 16,497 | 202,063 | 235,453 |
| Yes | 715 | 9,111 | 11,959 | 80,029 | 101,814 | |
| Radiotherapy | Beam | 783 | 12,799 | 12,918 | 121,878 | 148,378 |
| No | 867 | 11,695 | 14,246 | 151,129 | 177,937 | |
| Other | 76 | 499 | 1292 | 9085 | 10,952 | |
| AD deaths | No | 1720 | 24,865 | 28,317 | 278,489 | 333,391 |
| Yes | 6 | 128 | 139 | 3603 | 3876 | |
| Year of birth: Median (range) | 1945 (1887–1971) | 1942 (1883–1971) | 1941 (1882–1971) | 1933 (1876–1971) | 1,935 (1876–1971) | |
| Year of diagnosis: Median (range) | 2005 (1975–2016) | 2005 (1975–2016) | 2003 (1975–2016) | 1999 (1975–2016) | 1999 (1975–2016) | |
| Person-years: Median (range) | 5.63 (0.08–37.42) | 6.58 (0.08–41.47) | 5.08 (0.08–41.88) | 7.25 (0.08–41.88) | 7.00 (0.08–41.88) | |
| Age at diagnosis (years) Median (range) | 58 (45–103) | 60 (45–104) | 60 (45–107) | 63 (45–107) | 63 (45–107) | |
| Age at AD death (months) Median (range) | 1008 (846–1113) | 1082 (786–1245) | 1055 (724–1264) | 1065 (694–1274) | 1065 (694–1274) | |
| Time between BC and AD death (months): median (range) | 199 (23–318) | 175 (16–448) | 176 (3–459) | 160 (2–497) | 161 (2–497) | |
© 2020 by the authors. Licensee MDPI, Basel, Switzerland. This article is an open access article distributed under the terms and conditions of the Creative Commons Attribution (CC BY) license (http://creativecommons.org/licenses/by/4.0/).
Share and Cite
Mezencev, R.; Chernoff, Y.O. Risk of Alzheimer’s Disease in Cancer Patients: Analysis of Mortality Data from the US SEER Population-Based Registries. Cancers 2020, 12, 796. https://doi.org/10.3390/cancers12040796
Mezencev R, Chernoff YO. Risk of Alzheimer’s Disease in Cancer Patients: Analysis of Mortality Data from the US SEER Population-Based Registries. Cancers. 2020; 12(4):796. https://doi.org/10.3390/cancers12040796
Chicago/Turabian StyleMezencev, Roman, and Yury O. Chernoff. 2020. "Risk of Alzheimer’s Disease in Cancer Patients: Analysis of Mortality Data from the US SEER Population-Based Registries" Cancers 12, no. 4: 796. https://doi.org/10.3390/cancers12040796
APA StyleMezencev, R., & Chernoff, Y. O. (2020). Risk of Alzheimer’s Disease in Cancer Patients: Analysis of Mortality Data from the US SEER Population-Based Registries. Cancers, 12(4), 796. https://doi.org/10.3390/cancers12040796
