Functional Classification of TP53 Mutations in Acute Myeloid Leukemia
Abstract
1. Introduction
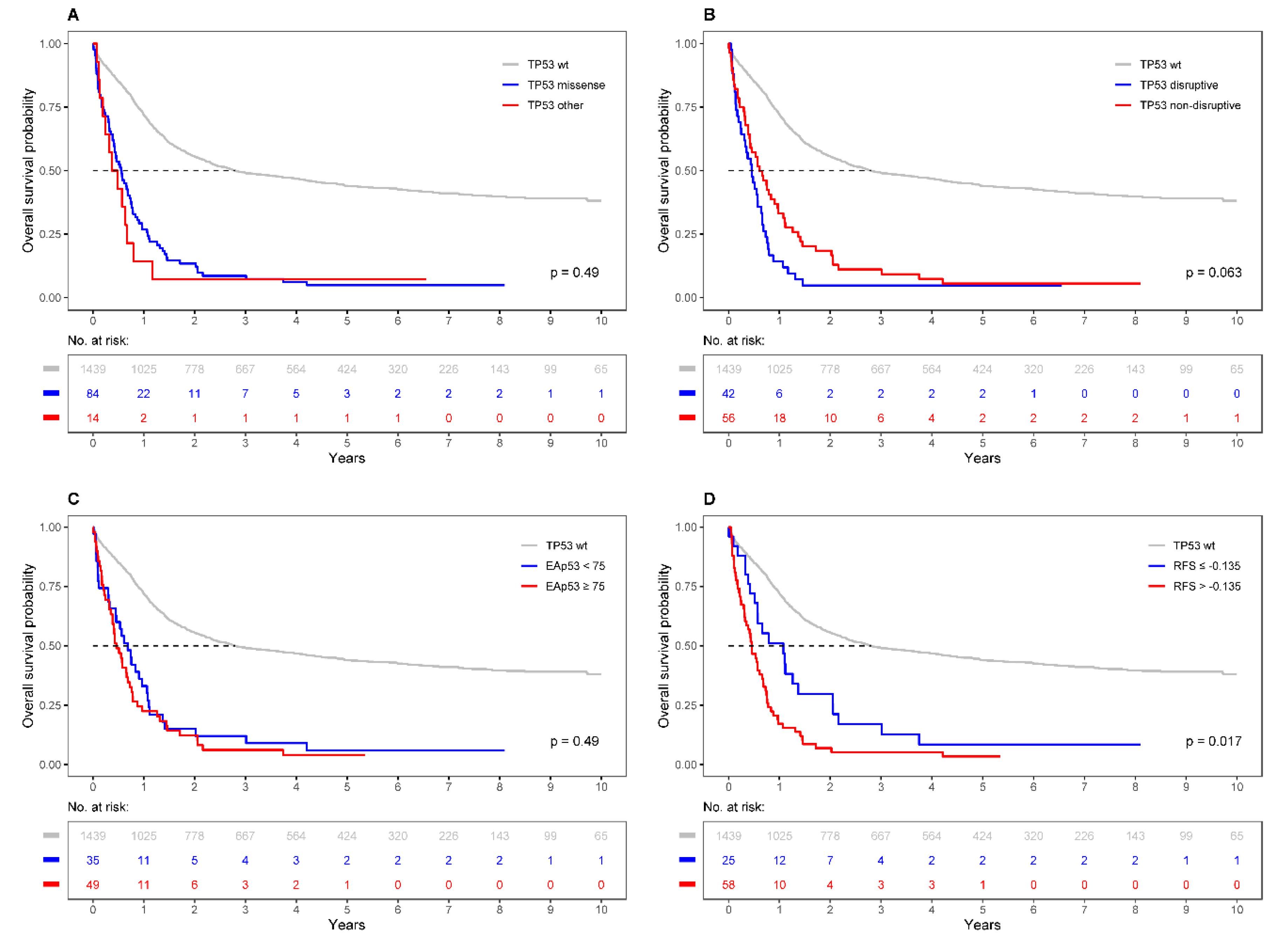
2. Results
3. Discussion
4. Materials and Methods
Statistical Analyses
5. Conclusions
Supplementary Materials
Author Contributions
Funding
Conflicts of Interest
References
- Dohner, H.; Weisdorf, D.J.; Bloomfield, C.D. Acute Myeloid Leukemia. N. Engl. J. Med. 2015, 373, 1136–1152. [Google Scholar] [CrossRef]
- Noguera, N.I.; Catalano, G.; Banella, C.; Divona, M.; Faraoni, I.; Ottone, T.; Arcese, W.; Voso, M.T. Acute Promyelocytic Leukemia: Update on the Mechanisms of Leukemogenesis, Resistance and on Innovative Treatment Strategies. Cancers 2019, 11, 1591. [Google Scholar] [CrossRef] [PubMed]
- Cheung, E.; Perissinotti, A.J.; Bixby, D.L.; Burke, P.W.; Pettit, K.M.; Benitez, L.L.; Brown, J.; Scappaticci, G.B.; Marini, B.L. The Leukemia Strikes Back: A Review of Pathogenesis and Treatment of Secondary AML. Ann. Hematol. 2019, 98, 541–559. [Google Scholar] [CrossRef] [PubMed]
- Sill, H.; Olipitz, W.; Zebisch, A.; Schulz, E.; Wolfler, A. Therapy-Related Myeloid Neoplasms: Pathobiology and Clinical Characteristics. Br. J. Pharmacol. 2011, 162, 792–805. [Google Scholar] [CrossRef] [PubMed]
- Dores, G.M.; Devesa, S.S.; Curtis, R.E.; Linet, M.S.; Morton, L.M. Acute Leukemia Incidence and Patient Survival among Children and Adults in the United States, 2001–2007. Blood 2012, 119, 34–43. [Google Scholar] [CrossRef] [PubMed]
- Cancer Genome Atlas Research Network. Genomic and Epigenomic Landscapes of Adult de Novo Acute Myeloid Leukemia. N. Engl. J. Med. 2013, 368, 2059–2074. [Google Scholar] [CrossRef] [PubMed]
- Papaemmanuil, E.; Gerstung, M.; Bullinger, L.; Gaidzik, V.I.; Paschka, P.; Roberts, N.D.; Potter, N.E.; Heuser, M.; Thol, F.; Bolli, N.; et al. Genomic Classification and Prognosis in Acute Myeloid Leukemia. N. Engl. J. Med. 2016, 374, 2209–2221. [Google Scholar] [CrossRef] [PubMed]
- Tyner, J.W.; Tognon, C.E.; Bottomly, D.; Wilmot, B.; Kurtz, S.E.; Savage, S.L.; Long, N.; Schultz, A.R.; Traer, E.; Abel, M.; et al. Functional Genomic Landscape of Acute Myeloid Leukaemia. Nature 2018, 562, 526–531. [Google Scholar] [CrossRef]
- Zjablovskaja, P.; Florian, M.C. Acute Myeloid Leukemia: Aging and Epigenetics. Cancers 2019, 12, 103. [Google Scholar] [CrossRef]
- Jan, M.; Snyder, T.M.; Corces-Zimmerman, M.R.; Vyas, P.; Weissman, I.L.; Quake, S.R.; Majeti, R. Clonal Evolution of Preleukemic Hematopoietic Stem Cells Precedes Human Acute Myeloid Leukemia. Sci. Transl. Med. 2012, 4. [Google Scholar] [CrossRef]
- Shlush, L.I.; Zandi, S.; Mitchell, A.; Chen, W.C.; Brandwein, J.M.; Gupta, V.; Kennedy, J.A.; Schimmer, A.D.; Schuh, A.C.; Yee, K.W.; et al. Identification of Pre-Leukaemic Haematopoietic Stem Cells in Acute Leukaemia. Nature 2014, 506, 328–333. [Google Scholar] [CrossRef] [PubMed]
- Lal, R.; Lind, K.; Heitzer, E.; Ulz, P.; Aubell, K.; Kashofer, K.; Middeke, J.M.; Thiede, C.; Schulz, E.; Rosenberger, A.; et al. Somatic TP53 Mutations Characterize Preleukemic Stem Cells in Acute Myeloid Leukemia. Blood 2017, 129, 2587–2591. [Google Scholar] [CrossRef]
- Reinisch, A.; Chan, S.M.; Thomas, D.; Majeti, R. Biology and Clinical Relevance of Acute Myeloid Leukemia Stem Cells. Semin. Hematol. 2015, 52, 150–164. [Google Scholar] [CrossRef] [PubMed]
- Klco, J.M.; Spencer, D.H.; Miller, C.A.; Griffith, M.; Lamprecht, T.L.; O’Laughlin, M.; Fronick, C.; Magrini, V.; Demeter, R.T.; Fulton, R.S.; et al. Functional Heterogeneity of Genetically Defined Subclones in Acute Myeloid Leukemia. Cancer Cell 2014, 25, 379–392. [Google Scholar] [CrossRef] [PubMed]
- Ferrara, F.; Schiffer, C.A. Acute Myeloid Leukaemia in Adults. Lancet 2013, 381, 484–495. [Google Scholar] [CrossRef]
- Gerstung, M.; Papaemmanuil, E.; Martincorena, I.; Bullinger, L.; Gaidzik, V.I.; Paschka, P.; Heuser, M.; Thol, F.; Bolli, N.; Ganly, P.; et al. Precision Oncology for Acute Myeloid Leukemia using a Knowledge Bank Approach. Nat. Genet. 2017, 49, 332–340. [Google Scholar] [CrossRef] [PubMed]
- Shlush, L.I.; Mitchell, A.; Heisler, L.; Abelson, S.; Ng, S.W.K.; Trotman-Grant, A.; Medeiros, J.J.F.; Rao-Bhatia, A.; Jaciw-Zurakowsky, I.; Marke, R.; et al. Tracing the Origins of Relapse in Acute Myeloid Leukaemia to Stem Cells. Nature 2017, 547, 104–108. [Google Scholar] [CrossRef]
- Zebisch, A.; Hatzl, S.; Pichler, M.; Wolfler, A.; Sill, H. Therapeutic Resistance in Acute Myeloid Leukemia: The Role of Non-Coding RNAs. Int. J. Mol. Sci. 2016, 17, 2080. [Google Scholar] [CrossRef]
- Hatzl, S.; Perfler, B.; Wurm, S.; Uhl, B.; Quehenberger, F.; Ebner, S.; Troppmair, J.; Reinisch, A.; Wolfler, A.; Sill, H.; et al. Increased Expression of Micro-RNA-23a Mediates Chemoresistance to Cytarabine in Acute Myeloid Leukemia. Cancers 2020, 12, 496. [Google Scholar] [CrossRef]
- Ferrara, F.; Lessi, F.; Vitagliano, O.; Birkenghi, E.; Rossi, G. Current Therapeutic Results and Treatment Options for Older Patients with Relapsed Acute Myeloid Leukemia. Cancers 2019, 11, 224. [Google Scholar] [CrossRef]
- Dohner, H.; Estey, E.H.; Amadori, S.; Appelbaum, F.R.; Buchner, T.; Burnett, A.K.; Dombret, H.; Fenaux, P.; Grimwade, D.; Larson, R.A.; et al. Diagnosis and Management of Acute Myeloid Leukemia in Adults: Recommendations from an International Expert Panel, on Behalf of the European LeukemiaNet. Blood 2010, 115, 453–474. [Google Scholar] [CrossRef] [PubMed]
- Koreth, J.; Schlenk, R.; Kopecky, K.J.; Honda, S.; Sierra, J.; Djulbegovic, B.J.; Wadleigh, M.; DeAngelo, D.J.; Stone, R.M.; Sakamaki, H.; et al. Allogeneic Stem Cell Transplantation for Acute Myeloid Leukemia in First Complete Remission: Systematic Review and Meta-Analysis of Prospective Clinical Trials. JAMA 2009, 301, 2349–2361. [Google Scholar] [CrossRef] [PubMed]
- Magina, K.N.; Pregartner, G.; Zebisch, A.; Wolfler, A.; Neumeister, P.; Greinix, H.T.; Berghold, A.; Sill, H. Cytarabine Dose in the Consolidation Treatment of AML: A Systematic Review and Meta-Analysis. Blood 2017, 130, 946–948. [Google Scholar] [CrossRef] [PubMed]
- Grimwade, D.; Walker, H.; Oliver, F.; Wheatley, K.; Harrison, C.; Harrison, G.; Rees, J.; Hann, I.; Stevens, R.; Burnett, A.; et al. The Importance of Diagnostic Cytogenetics on Outcome in AML: Analysis of 1612 Patients Entered into the MRC AML 10 Trial. The Medical Research Council Adult and Children’s Leukaemia Working Parties. Blood 1998, 92, 2322–2333. [Google Scholar] [CrossRef] [PubMed]
- Dohner, H.; Estey, E.; Grimwade, D.; Amadori, S.; Appelbaum, F.R.; Buchner, T.; Dombret, H.; Ebert, B.L.; Fenaux, P.; Larson, R.A.; et al. Diagnosis and Management of AML in Adults: 2017 ELN Recommendations from an International Expert Panel. Blood 2017, 129, 424–447. [Google Scholar] [CrossRef]
- Vousden, K.H.; Prives, C. Blinded by the Light: The Growing Complexity of p53. Cell 2009, 137, 413–431. [Google Scholar] [CrossRef]
- Kastenhuber, E.R.; Lowe, S.W. Putting p53 in Context. Cell 2017, 170, 1062–1078. [Google Scholar] [CrossRef]
- Liu, Y.; Elf, S.E.; Asai, T.; Miyata, Y.; Liu, Y.; Sashida, G.; Huang, G.; Di Giandomenico, S.; Koff, A.; Nimer, S.D. The p53 Tumor Suppressor Protein is a Critical Regulator of Hematopoietic Stem Cell Behavior. Cell Cycle 2009, 8, 3120–3124. [Google Scholar] [CrossRef]
- Muller, P.A.; Vousden, K.H. Mutant p53 in Cancer: New Functions and Therapeutic Opportunities. Cancer. Cell 2014, 25, 304–317. [Google Scholar] [CrossRef]
- Hainaut, P.; Pfeifer, G.P. Somatic TP53 Mutations in the Era of Genome Sequencing. Cold Spring Harb Perspect. Med. 2016, 6. [Google Scholar] [CrossRef]
- Merkel, O.; Taylor, N.; Prutsch, N.; Staber, P.B.; Moriggl, R.; Turner, S.D.; Kenner, L. When the Guardian Sleeps: Reactivation of the p53 Pathway in Cancer. Mutat. Res. 2017, 773, 1–13. [Google Scholar] [CrossRef] [PubMed]
- Bougeard, G.; Renaux-Petel, M.; Flaman, J.M.; Charbonnier, C.; Fermey, P.; Belotti, M.; Gauthier-Villars, M.; Stoppa-Lyonnet, D.; Consolino, E.; Brugieres, L.; et al. Revisiting Li-Fraumeni Syndrome from TP53 Mutation Carriers. J. Clin. Oncol. 2015, 33, 2345–2352. [Google Scholar] [CrossRef] [PubMed]
- Schulz, E.; Valentin, A.; Ulz, P.; Beham-Schmid, C.; Lind, K.; Rupp, V.; Lackner, H.; Wolfler, A.; Zebisch, A.; Olipitz, W.; et al. Germline Mutations in the DNA Damage Response Genes BRCA1, BRCA2, BARD1 and TP53 in Patients with Therapy Related Myeloid Neoplasms. J. Med. Genet. 2012, 49, 422–428. [Google Scholar] [CrossRef] [PubMed]
- Zebisch, A.; Lal, R.; Muller, M.; Lind, K.; Kashofer, K.; Girschikofsky, M.; Fuchs, D.; Wolfler, A.; Geigl, J.B.; Sill, H. Acute Myeloid Leukemia with TP53 Germ Line Mutations. Blood 2016, 128, 2270–2272. [Google Scholar] [CrossRef] [PubMed]
- Pabst, G.; Lind, K.; Graf, R.; Zebisch, A.; Stolzel, F.; Dohner, K.; Heitzer, E.; Reinisch, A.; Sill, H. TP53 Mutated AML Subclones Exhibit Engraftment in a Humanized Bone Marrow Ossicle Mouse Model. Ann. Hematol. 2020. [Google Scholar] [CrossRef] [PubMed]
- Andersen, M.K.; Christiansen, D.H.; Pedersen-Bjergaard, J. Centromeric Breakage and Highly Rearranged Chromosome Derivatives Associated with Mutations of TP53 are Common in Therapy-Related MDS and AML after Therapy with Alkylating Agents: An M-FISH Study. Genes Chromosomes Cancer 2005, 42, 358–371. [Google Scholar] [CrossRef]
- Montalban-Bravo, G.; Benton, C.B.; Wang, S.A.; Ravandi, F.; Kadia, T.; Cortes, J.; Daver, N.; Takahashi, K.; DiNardo, C.; Jabbour, E.; et al. More than 1 TP53 Abnormality is a Dominant Characteristic of Pure Erythroid Leukemia. Blood 2017, 129, 2584–2587. [Google Scholar] [CrossRef]
- Grossmann, V.; Schnittger, S.; Kohlmann, A.; Eder, C.; Roller, A.; Dicker, F.; Schmid, C.; Wendtner, C.M.; Staib, P.; Serve, H.; et al. A Novel Hierarchical Prognostic Model of AML Solely Based on Molecular Mutations. Blood 2012, 120, 2963–2972. [Google Scholar] [CrossRef]
- Middeke, J.M.; Fang, M.; Cornelissen, J.J.; Mohr, B.; Appelbaum, F.R.; Stadler, M.; Sanz, J.; Baurmann, H.; Bug, G.; Schafer-Eckart, K.; et al. Outcome of Patients with Abnl(17p) Acute Myeloid Leukemia after Allogeneic Hematopoietic Stem Cell Transplantation. Blood 2014, 123, 2960–2967. [Google Scholar] [CrossRef]
- Middeke, J.M.; Herold, S.; Rucker-Braun, E.; Berdel, W.E.; Stelljes, M.; Kaufmann, M.; Schafer-Eckart, K.; Baldus, C.D.; Stuhlmann, R.; Ho, A.D.; et al. TP53 Mutation in Patients with High-Risk Acute Myeloid Leukaemia Treated with Allogeneic Haematopoietic Stem Cell Transplantation. Br. J. Haematol. 2016, 172, 914–922. [Google Scholar] [CrossRef]
- Prochazka, K.T.; Pregartner, G.; Rucker, F.G.; Heitzer, E.; Pabst, G.; Wolfler, A.; Zebisch, A.; Berghold, A.; Dohner, K.; Sill, H. Clinical Implications of Subclonal TP53 Mutations in Acute Myeloid Leukemia. Haematologica 2019, 104, 516–523. [Google Scholar] [CrossRef] [PubMed]
- Rucker, F.G.; Schlenk, R.F.; Bullinger, L.; Kayser, S.; Teleanu, V.; Kett, H.; Habdank, M.; Kugler, C.M.; Holzmann, K.; Gaidzik, V.I.; et al. TP53 Alterations in Acute Myeloid Leukemia with Complex Karyotype Correlate with Specific Copy Number Alterations, Monosomal Karyotype, and Dismal Outcome. Blood 2012, 119, 2114–2121. [Google Scholar] [CrossRef] [PubMed]
- Brosh, R.; Rotter, V. When Mutants Gain New Powers: News from the Mutant p53 Field. Nat. Rev. Cancer 2009, 9, 701–713. [Google Scholar] [CrossRef] [PubMed]
- Loizou, E.; Banito, A.; Livshits, G.; Ho, Y.J.; Koche, R.P.; Sanchez-Rivera, F.J.; Mayle, A.; Chen, C.C.; Kinalis, S.; Bagger, F.O.; et al. A Gain-of-Function p53-Mutant Oncogene Promotes Cell Fate Plasticity and Myeloid Leukemia through the Pluripotency Factor FOXH1. Cancer Discov. 2019, 9, 962–979. [Google Scholar] [CrossRef] [PubMed]
- Boettcher, S.; Miller, P.G.; Sharma, R.; McConkey, M.; Leventhal, M.; Krivtsov, A.V.; Giacomelli, A.O.; Wong, W.; Kim, J.; Chao, S.; et al. A Dominant-Negative Effect Drives Selection of TP53 Missense Mutations in Myeloid Malignancies. Science 2019, 365, 599–604. [Google Scholar] [CrossRef] [PubMed]
- Poeta, M.L.; Manola, J.; Goldwasser, M.A.; Forastiere, A.; Benoit, N.; Califano, J.A.; Ridge, J.A.; Goodwin, J.; Kenady, D.; Saunders, J.; et al. TP53 Mutations and Survival in Squamous-Cell Carcinoma of the Head and Neck. N. Engl. J. Med. 2007, 357, 2552–2561. [Google Scholar] [CrossRef]
- Neskey, D.M.; Osman, A.A.; Ow, T.J.; Katsonis, P.; McDonald, T.; Hicks, S.C.; Hsu, T.K.; Pickering, C.R.; Ward, A.; Patel, A.; et al. Evolutionary Action Score of TP53 Identifies High-Risk Mutations Associated with Decreased Survival and Increased Distant Metastases in Head and Neck Cancer. Cancer Res. 2015, 75, 1527–1536. [Google Scholar] [CrossRef]
- Short, N.J.; Kantarjian, H.M.; Loghavi, S.; Huang, X.; Qiao, W.; Borthakur, G.; Kadia, T.M.; Daver, N.; Ohanian, M.; Dinardo, C.D.; et al. Treatment with a 5-Day Versus a 10-Day Schedule of Decitabine in Older Patients with Newly Diagnosed Acute Myeloid Leukaemia: A Randomised Phase 2 Trial. Lancet Haematol. 2019, 6, 29–37. [Google Scholar] [CrossRef]
- Dohner, H.; Dolnik, A.; Tang, L.; Seymour, J.F.; Minden, M.D.; Stone, R.M.; Del Castillo, T.B.; Al-Ali, H.K.; Santini, V.; Vyas, P.; et al. Cytogenetics and Gene Mutations Influence Survival in Older Patients with Acute Myeloid Leukemia Treated with Azacitidine or Conventional Care. Leukemia 2018, 32, 2546–2557. [Google Scholar] [CrossRef]
- Bykov, V.J.; Issaeva, N.; Shilov, A.; Hultcrantz, M.; Pugacheva, E.; Chumakov, P.; Bergman, J.; Wiman, K.G.; Selivanova, G. Restoration of the Tumor Suppressor Function to Mutant p53 by a Low-Molecular-Weight Compound. Nat. Med. 2002, 8, 282–288. [Google Scholar] [CrossRef]
- Lambert, J.M.; Gorzov, P.; Veprintsev, D.B.; Soderqvist, M.; Segerback, D.; Bergman, J.; Fersht, A.R.; Hainaut, P.; Wiman, K.G.; Bykov, V.J. PRIMA-1 Reactivates Mutant p53 by Covalent Binding to the Core Domain. Cancer Cell 2009, 15, 376–388. [Google Scholar] [CrossRef] [PubMed]
- Lehmann, S.; Bykov, V.J.; Ali, D.; Andren, O.; Cherif, H.; Tidefelt, U.; Uggla, B.; Yachnin, J.; Juliusson, G.; Moshfegh, A.; et al. Targeting p53 in Vivo: A First-in-Human Study with p53-Targeting Compound APR-246 in Refractory Hematologic Malignancies and Prostate Cancer. J. Clin. Oncol. 2012, 30, 3633–3639. [Google Scholar] [CrossRef] [PubMed]
- Maslah, N.; Salomao, N.; Drevon, L.; Verger, E.; Partouche, N.; Ly, P.; Aubin, P.; Naoui, N.; Schlageter, M.H.; Bally, C.; et al. Synergistic Effects of PRIMA-1Met (APR-246) and Azacitidine in TP53-Mutated Myelodysplastic Syndromes and Acute Myeloid Leukemia. Haematologica 2019. [Google Scholar] [CrossRef] [PubMed]
- Sallman, D.A.; DeZern, A.E.; Garcia-Manero, G.; Steensma, D.P.; Roboz, G.; Sekkeres, M.A.; Cluzeau, T.; Sweet, K.L.; McLemore, A.F.; McGraw, K.; et al. Phase 2 results of PRIMA-1Met (APR-246) and azacitidine in TP53-mutated myelodysplastic syndromes and oligoblastic acute myeloid leukemia (AML). Blood 2019, 134, 676. [Google Scholar] [CrossRef]
- Ciurea, S.O.; Chilkulwar, A.; Saliba, R.M.; Chen, J.; Rondon, G.; Patel, K.P.; Khogeer, H.; Shah, A.R.; Randolph, B.V.; Perez, J.M.R.; et al. Prognostic Factors Influencing Survival after Allogeneic Transplantation for AML/MDS Patients with TP53 Mutations. Blood 2018, 131, 2989–2992. [Google Scholar] [CrossRef]
- Schlenk, R.F.; Dohner, K.; Mack, S.; Stoppel, M.; Kiraly, F.; Gotze, K.; Hartmann, F.; Horst, H.A.; Koller, E.; Petzer, A.; et al. Prospective Evaluation of Allogeneic Hematopoietic Stem-Cell Transplantation from Matched Related and Matched Unrelated Donors in Younger Adults with High-Risk Acute Myeloid Leukemia: German-Austrian Trial AMLHD98A. J. Clin. Oncol. 2010, 28, 4642–4648. [Google Scholar] [CrossRef]
- Schlenk, R.F.; Dohner, K.; Krauter, J.; Frohling, S.; Corbacioglu, A.; Bullinger, L.; Habdank, M.; Spath, D.; Morgan, M.; Benner, A.; et al. Mutations and Treatment Outcome in Cytogenetically Normal Acute Myeloid Leukemia. N. Engl. J. Med. 2008, 358, 1909–1918. [Google Scholar] [CrossRef]
- Schlenk, R.F.; Frohling, S.; Hartmann, F.; Fischer, J.T.; Glasmacher, A.; del Valle, F.; Grimminger, W.; Gotze, K.; Waterhouse, C.; Schoch, R.; et al. Phase III Study of all-Trans Retinoic Acid in Previously Untreated Patients 61 Years or Older with Acute Myeloid Leukemia. Leukemia 2004, 18, 1798–1803. [Google Scholar] [CrossRef]
- Duncavage, E.J.; Uy, G.L.; Petti, A.A.; Miller, C.A.; Lee, Y.S.; Tandon, B.; Gao, F.; Fronick, C.C.; O’Laughlin, M.; Fulton, R.S.; et al. Mutational Landscape and Response are Conserved in Peripheral Blood of AML and MDS Patients during Decitabine Therapy. Blood 2017, 129, 1397–1401. [Google Scholar] [CrossRef]
- Oren, M.; Rotter, V. Mutant p53 Gain-of-Function in Cancer. Cold Spring Harb Perspect. Biol. 2010, 2, a001107. [Google Scholar] [CrossRef]
- Kotler, E.; Shani, O.; Goldfeld, G.; Lotan-Pompan, M.; Tarcic, O.; Gershoni, A.; Hopf, T.A.; Marks, D.S.; Oren, M.; Segal, E. A Systematic p53 Mutation Library Links Differential Functional Impact to Cancer Mutation Pattern and Evolutionary Conservation. Mol. Cell 2018, 71, 873. [Google Scholar] [CrossRef] [PubMed]
- Ruopp, M.D.; Perkins, N.J.; Whitcomb, B.W.; Schisterman, E.F. Youden Index and Optimal Cut-Point Estimated from Observations Affected by a Lower Limit of Detection. Biom. J. 2008, 50, 419–430. [Google Scholar] [CrossRef] [PubMed]

| Study | ID | cDNA Change | Amino Acid Change | Variant Allele Frequency | Frequency | Missense (1) Other (0) | Disruptive (1) Non-Disr. (0) | EAp53 Score | RFS |
|---|---|---|---|---|---|---|---|---|---|
| 07-04 | 17 | c.461G>A | p.G154D | 12.5 | 1× | 1 | 0 | 70.67 | −2.09007995 |
| 07-04 | 30 | c.773A>C | p.E258A | 23.28 | 1× | 1 | 0 | 93.29 | −0.1473427 |
| 07-04 | 32 | c.817C>T | p.R273C | 13.74 | 4× | 1 | 0 | 84.5 | −0.12541853 |
| 07-04 | 41 | c.524G>A | p.R175H | 71.93 | 7× | 1 | 0 | 78.5 | −0.14494686 |
| 07-04 | 76 | c.869G>A | p.R290H | 45.69 | 1× | 1 | 0 | 16.59 | −1.5430162 |
| 07-04 | 110 | c.658T>C | p.Y220H | 62.66 | 1× | 1 | 0 | 43.94 | −0.68522627 |
| 07-04 | 129 | c.488A>G | p.Y163C | 58.93 | 2× | 1 | 0 | 70 | 0.12544937 |
| 07-04 | 133 | c.713G>A | p.C238Y | 96.33 | 1× | 1 | 0 | 92.66 | 0.2148364 |
| 07-04 | 139 | c.427G>A | p.V143M | 8.7 | 1× | 1 | 0 | 51.7 | −1.33071158 |
| 07-04 | 177 | c.524G>A | p.R175H | 89.01 | 7× | 1 | 0 | 78.5 | −0.14494686 |
| 07-04 | 197 | c.743G>A | p.R248Q | 88.02 | 7× | 1 | 1 | 78.95 | −0.03958725 |
| 07-04 | 198 | c.659A>G | p.Y220C | 30.77 | 5× | 1 | 0 | 72.52 | 0.21906403 |
| 07-04 | 204 | c.1024C>T | p.R342* | 44.36 | 1× | 0 | 1 | ||
| 07-04 | 204 | c.796G>C | p.G266R | 46.25 | 1× | 1 | 91.41 | 0.30570903 | |
| 07-04 | 214 | c.743G>A | p.R248Q | 77.72 | 7× | 1 | 1 | 78.95 | −0.03958725 |
| 07-04 | 228 | c.503A>C | p.H168P | 94.44 | 1× | 1 | 1 | 78.86 | −0.31621125 |
| 07-04 | 241 | c.994-1G>A | NA | 87.94 | 1× | 0 | 1 | ||
| 07-04 | 246 | c.799C>T | p.R267W | 46.36 | 1× | 1 | 0 | 89.04 | −0.64560831 |
| 07-04 | 251 | c.817C>T | p.R273C | 70.95 | 4× | 1 | 0 | 84.5 | −0.12541853 |
| 07-04 | 302 | c.824G>A | p.C275Y | 86.52 | 1× | 1 | 0 | 93.47 | 0.40550255 |
| 07-04 | 421 | c.826G>C | p.A276P | 5.78 | 1× | 1 | 73.15 | −0.16222675 | |
| 07-04 | 421 | c.743G>A | p.R248Q | 12.84 | 7× | 1 | 1 | 78.95 | −0.03958725 |
| 07-04 | 421 | c.587G>A | p.R196Q | 13.98 | 1× | 1 | 82.24 | −1.35549764 | |
| 07-04 | 421 | c.395A>G | p.K132R | 38.55 | 2× | 1 | 69 | 0.46452687 | |
| 07-04 | 439 | c.613T>G | p.Y205D | 9.96 | 1× | 1 | 0 | 94.27 | 0.41838153 |
| 07-04 | 462 | c.583A>T | p.I195F | 84.75 | 1× | 1 | 0 | 55.72 | 0.23930621 |
| 07-04 | 475 | c.659A>G | p.Y220C | 37.62 | 5× | 1 | 0 | 72.52 | 0.21906403 |
| 07-04 | 578 | c.524G>A | p.R175H | 71.64 | 7× | 1 | 0 | 78.5 | −0.14494686 |
| 07-04 | 583 | c.818G>A | p.R273H | 8.79 | 3× | 1 | 0 | 66.12 | 0.25030959 |
| 07-04 | 654 | c.524G>A | p.R175H | 13.41 | 7× | 1 | 0 | 78.5 | −0.14494686 |
| 07-04 | 690 | c.437G>A | p.W146* | 17.31 | 2× | 0 | 1 | 0.34844348 | |
| 07-04 | 705 | c.524G>A | p.R175H | 22.86 | 7× | 1 | 78.5 | −0.14494686 | |
| 07-04 | 705 | c.673-1G>A | NA | 20.55 | 1× | 0 | 1 | ||
| 07-04 | 743 | c.493C>T | p.Q165* | 36.62 | 2× | 0 | 1 | −0.35599844 | |
| 07-04 | 873 | c.524G>A | p.R175H | 76.99 | 7× | 1 | 0 | 78.5 | −0.14494686 |
| 07-04 | 890 | c.527G>T | p.C176F | 69.66 | 1× | 1 | 1 | 96.33 | 0.19435669 |
| 07-04 | 909 | c.667C>T | p.P223S | 4.66 | 1× | 1 | 0 | 70.78 | -2.66136766 |
| 07-04 | 911 | c.832C>T | p.P278S | 26.96 | 1× | 1 | 0 | 84.34 | 0.16959628 |
| 07-04 | 913 | c.761T>A | p.I254N | 5.15 | 1× | 1 | 0 | 88.5 | −0.11720409 |
| 07-04 | 944 | c.517G>T | p.V173L | 88 | 1× | 1 | 0 | 82.64 | 0.08713433 |
| 07-04 | 954 | c.742C>T | p.R248W | 47.22 | 2× | 1 | 1 | 84.11 | 0.07397455 |
| 07-04 | 975 | c.524G>A | p.R175H | 28.92 | 7× | 1 | 0 | 78.5 | −0.14494686 |
| 07-04 | 1015 | c.743G>A | p.R248Q | 83.79 | 7× | 1 | 1 | 78.95 | −0.03958725 |
| 07-04 | 1056 | c.722C>T | p.S241F | 7.69 | 4× | 1 | 1 | 90.38 | −0.0294578 |
| 07-04 | 1096 | c.817C>T | p.R273C | 89.47 | 4× | 1 | 0 | 84.5 | −0.12541853 |
| 07-04 | 1100 | c.734G>A | p.G245D | 22.48 | 2× | 1 | 1 | 89.5 | −0.00312039 |
| 07-04 | 1107 | c.1154delT | p.F385fs*37 | 52.38 | 1× | 0 | 1 | ||
| 07-04 | 1120 | c.388C>G | p.L130V | 12.24 | 2× | 1 | 0 | 77.51 | −0.25882638 |
| 07-04 | 1135 | c.659A>G | p.Y220C | 33.15 | 5× | 1 | 0 | 72.52 | 0.21906403 |
| 07-04 | 1156 | c.710T>A | p.M237K | 94.53 | 1× | 1 | 1 | 85.52 | 0.29707147 |
| 07-04 | 1169 | c.645T>G | p.S215R | 11.03 | 2× | 1 | 0 | 89.07 | 0.00332001 |
| 07-04 | 1171 | c.743G>A | p.R248Q | 77.72 | 7× | 1 | 1 | 78.95 | -0.03958725 |
| 07-04 | 1216 | c.584T>A | p.I195N | 49.47 | 1× | 1 | 1 | 87.79 | 0.11355885 |
| 98A | 28 | c.400T>A | p.F134I | 54.37 | 1× | 1 | 0 | 56.1 | 0.18555266 |
| 98A | 69 | c.701A>G | p.Y234C | 67.95 | 1× | 1 | 0 | 62.9 | 0.23555926 |
| 98A | 152 | c.1022_1023insT | p.R342fs*5 | 25.22 | 1× | 0 | 1 | ||
| 98A | 213 | c.743G>A | p.R248Q | 94.06 | 7× | 1 | 1 | 78.95 | −0.03958725 |
| 98A | 233 | c.760A>G | p.I254V | 53.28 | 1× | 1 | 0 | 34.31 | −2.12561332 |
| 98A | 266 | c.490A>G | p.K164E | 58.82 | 2× | 1 | 1 | 74.74 | 0.45663438 |
| 98A | 296 | c.419C>A | p.T140N | 44.19 | 1× | 1 | 0 | 68 | −3.19750232 |
| 98A | 320 | c.31G>A | p.E11K | 52.61 | 1× | 1 | 0 | 10.43 | |
| 98A | 409 | c.814G>A | p.V272M | 14.85 | 2× | 1 | 0 | 63.4 | 0.22735985 |
| 98A | 434 | c.823T>C | p.C275R | 33.85 | 1× | 1 | 0 | 97.76 | 0.32999589 |
| 98A | 477 | c.818G>A | p.R273H | 37.85 | 3× | 1 | 0 | 66.12 | 0.25030959 |
| 98A | 498 | c.722C>T | p.S241F | 7.2 | 4× | 1 | 1 | 90.38 | −0.0294578 |
| 98A | 536 | c.488A>G | p.Y163C | 96.77 | 2× | 1 | 0 | 70 | 0.12544937 |
| 98A | 551 | c.800G>C | p.R267P | 25.48 | 1× | 1 | 0 | 94.88 | 0.59067636 |
| 98A | 554 | c.722C>T | p.S241F | 84.35 | 4× | 1 | 1 | 90.38 | −0.0294578 |
| 98A | 568 | c.794T>C | p.L265P | 90.91 | 1× | 1 | 0 | 84 | −0.31706353 |
| 98A | 598 | c.814G>A | p.V272M | 34.38 | 2× | 1 | 0 | 63.4 | 0.22735985 |
| 98A | 624 | c.711G>A | p.M237I | 73.65 | 3× | 1 | 0 | 63.68 | 0.19340041 |
| 98A | 630 | c.159G>A | p.W53* | 96.97 | 1× | 0 | 1 | ||
| 98A | 661 | c.439delG | p.V147fs* | 71.73 | 1× | 0 | 1 | ||
| 98A | 691 | c.848G>A | p.R283H | 48 | 1× | 1 | 0 | 48.44 | −1.7891287 |
| 98A | 692 | c.722C>T | p.S241F | 72.28 | 4× | 1 | 1 | 90.38 | −0.0294578 |
| 98A | 695 | c.722C>A | p.S241Y | 69.83 | 1× | 1 | 0 | 89.87 | −0.60425762 |
| 98A | 739 | c.376-1G>A | NA | 89.19 | 1× | 0 | 1 | ||
| 98A | 799 | c.742C>T | p.R248W | 64.37 | 2× | 1 | 1 | 84.11 | 0.07397455 |
| 98A | 839 | c.711G>A | p.M237I | 79.38 | 3× | 1 | 0 | 63.68 | 0.19340041 |
| 98A | 840 | c.493C>T | p.Q165* | 91.49 | 2× | 0 | 1 | −0.35599844 | |
| 98A | 870 | c.608T>A | p.V203E | 31.78 | 1× | 1 | 0 | 71.79 | −0.45171065 |
| 98A | 919 | c.160T>C | p.F54L | 16.94 | 1× | 1 | 0 | 2.55 | |
| 98A | 941 | c.376-2A>G | NA | 78.13 | 1× | 0 | 1 | ||
| 98A | 1076 | c.395A>G | p.K132R | 76.67 | 2× | 1 | 0 | 69 | 0.46452687 |
| 98B | 35 | c.725G>C | p.C242S | 28.98 | 1× | 1 | 0 | 86.74 | 0.26799062 |
| 98B | 49 | c.637C>T | p.R213* | 87.21 | 1× | 0 | 1 | ||
| 98B | 69 | c.25A>G | p.S9G | 15.71 | 1× | 1 | 0 | 16.9 | |
| 98B | 71 | c.154C>T | p.Q52* | 84.08 | 1× | 0 | 1 | ||
| 98B | 87 | c.577C>A | p.H193N | 69.93 | 1× | 1 | 1 | 73.11 | 0.17590301 |
| 98B | 98 | c.711G>A | p.M237I | 15.51 | 3× | 1 | 63.68 | 0.19340041 | |
| 98B | 98 | c.490A>G | p.K164E | 16.23 | 2× | 1 | 1 | 74.74 | 0.45663438 |
| 98B | 103 | c.993+1G>A | NA | 89.86 | 1× | 0 | 1 | ||
| 98B | 126 | c.785G>T | p.G262V | 43.67 | 1× | 1 | 88.2 | 0.28619807 | |
| 98B | 126 | c.553_559+ 2delAGCGATGgt | p.? | 47.57 | 1× | 0 | 1 | ||
| 98B | 199 | c.645T>G | p.S215R | 26.99 | 2× | 1 | 89.07 | 0.00332001 | |
| 98B | 199 | c.560-1G>A | NA | 19.44 | 1× | 0 | 1 | ||
| 98B | 201 | c.472delC | p.R158fs* | 16.66 | 1× | 0 | |||
| 98B | 201 | c.320_321insA | p.Y107fs*1 | 18.96 | 1× | 0 | 1 | ||
| 98B | 220 | c.715A>G | p.N239D | 57.03 | 1× | 1 | 1 | 49.44 | −0.02472517 |
| 98B | 226 | c.818G>A | p.R273H | 81.2 | 3× | 1 | 0 | 66.12 | 0.25030959 |
| 98B | 275 | c.329G>T | p.R110L | 34.88 | 1× | 1 | 0 | 28.14 | |
| 98B | 292 | c.659A>G | p.Y220C | 64.2 | 5× | 1 | 0 | 72.52 | 0.21906403 |
| 98B | 332 | c.388C>G | p.L130V | 58.54 | 2× | 1 | 0 | 77.51 | −0.25882638 |
| 98B | 352 | c.659A>G | p.Y220C | 72.05 | 5× | 1 | 72.52 | 0.21906403 | |
| 98B | 352 | c.438G>A | p.W146* | 7.69 | 2× | 0 | 1 | 0.34844348 | |
| 98B | 358 | c.817C>T | p.R273C | 76 | 4× | 1 | 0 | 84.5 | −0.12541853 |
| 98B | 408 | c.743G>A | p.R248Q | 77.17 | 7× | 1 | 1 | 78.95 | −0.03958725 |
| 98B | 458 | c.734G>A | p.G245D | 54.1 | 2× | 1 | 1 | 89.5 | −0.00312039 |
| Variable | Group | Median | 95% CI |
|---|---|---|---|
| TP53 | mut | 6.5 | 5.0–8.2 |
| wt | 33.6 | 28.4–45.0 | |
| Disruptive | no | 7.3 | 5.0–11.7 |
| yes | 5.5 | 3.7–7.9 | |
| Missense | no | 5.1 | 2.9–14.0 |
| yes | 6.6 | 5.0–8.9 | |
| EAp53 | <75 | 8.2 | 5.4–12.9 |
| ≥75 | 5.5 | 4.6–8.7 | |
| RFS | ≤−1 | 13.4 | 12.9–NA |
| >−1 | 6.3 | 5.0–8.2 | |
| RFS AML | ≤−0.135 | 12.9 | 6.9–24.7 |
| >−0.135 | 5.5 | 3.8–8.2 |
| OS | EFS | ||||
|---|---|---|---|---|---|
| Variable | Category | HR (95% CI) | p | HR (95% CI) | p |
| Missense | no | 1 | 1 | ||
| yes | 1.0 (0.49–2.05) | 0.998 | 1.49 (0.73–3.06) | 0.277 | |
| Disruptive | no | 1 | 1 | ||
| yes | 1.68 (0.99–2.86) | 0.056 | 1.18 (0.71–1.96) | 0.533 | |
| EAp53 | <75 | 1 | 1 | ||
| ≥75 | 1.12 (0.65–1.93) | 0.678 | 1.41 (0.82–2.4) | 0.212 | |
| RFS | ≤−1 | 1 | 1 | ||
| >−1 | 4.26 (0.91–19.88) | 0.065 | 4.08 (0.88–18.94) | 0.072 | |
| RFS AML | ≤−0.135 | 1 | 1 | ||
| >−0.135 | 2.14 (1.15–4.0) | 0.017 | 1.97 (1.06–3.69) | 0.033 |
| Nonpolar | Polar, Negatively Charged | Polar, No Charge | Polar, Positively Charged |
|---|---|---|---|
| Phenylalanine F | Aspartic acid D | Cysteine C | Histidine H |
| Methionine M | Glutamic acid E | Asparagine N | Lysine K |
| Tryptophan W | Glutamine Q | Arginine R | |
| Isoleucine I | Threonine T | ||
| Valine V | Tyrosine Y | ||
| Leucine L | Serine S | ||
| Alanine A | Glycine G | ||
| Proline P |
© 2020 by the authors. Licensee MDPI, Basel, Switzerland. This article is an open access article distributed under the terms and conditions of the Creative Commons Attribution (CC BY) license (http://creativecommons.org/licenses/by/4.0/).
Share and Cite
Dutta, S.; Pregartner, G.; Rücker, F.G.; Heitzer, E.; Zebisch, A.; Bullinger, L.; Berghold, A.; Döhner, K.; Sill, H. Functional Classification of TP53 Mutations in Acute Myeloid Leukemia. Cancers 2020, 12, 637. https://doi.org/10.3390/cancers12030637
Dutta S, Pregartner G, Rücker FG, Heitzer E, Zebisch A, Bullinger L, Berghold A, Döhner K, Sill H. Functional Classification of TP53 Mutations in Acute Myeloid Leukemia. Cancers. 2020; 12(3):637. https://doi.org/10.3390/cancers12030637
Chicago/Turabian StyleDutta, Sayantanee, Gudrun Pregartner, Frank G. Rücker, Ellen Heitzer, Armin Zebisch, Lars Bullinger, Andrea Berghold, Konstanze Döhner, and Heinz Sill. 2020. "Functional Classification of TP53 Mutations in Acute Myeloid Leukemia" Cancers 12, no. 3: 637. https://doi.org/10.3390/cancers12030637
APA StyleDutta, S., Pregartner, G., Rücker, F. G., Heitzer, E., Zebisch, A., Bullinger, L., Berghold, A., Döhner, K., & Sill, H. (2020). Functional Classification of TP53 Mutations in Acute Myeloid Leukemia. Cancers, 12(3), 637. https://doi.org/10.3390/cancers12030637

