Can Comprehensive Geriatric Assessment Predict Tolerance of Radiotherapy for Localized Prostate Cancer in Men Aged 75 Years or Older?
Abstract
1. Introduction
2. Results
2.1. Urinary and Geriatric Impairment Over Time
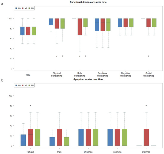
2.2. Evolution in Quality of Life
2.3. Predictive Factors for Qol Impairment
3. Discussion
4. Patients and Methods
5. Conclusions
Supplementary Materials
Author Contributions
Funding
Acknowledgments
Conflicts of Interest
References
- Bechis, S.K.; Carroll, P.R.; Cooperberg, M.R. Impact of age at diagnosis on prostate cancer treatment and survival. J. Clin. Oncol. 2011, 29, 235–241. [Google Scholar] [CrossRef]
- Bekelman, J.E.; Mitra, N.; Handorf, E.A.; Uzzo, R.G.; Hahn, S.A.; Polsky, D.; Armstrong, K. Effectiveness of androgen-deprivation therapy and radiotherapy for older men with locally advanced prostate cancer. J. Clin. Oncol. 2015, 33, 716–722. [Google Scholar] [CrossRef]
- Marchand, V.; Bourdin, S.; Charbonnel, C.; Rio, E.; Munos, C.; Campion, L.; Bonnaud-Antignac, A.; Lisbona, A.; Mahé, M.-A.; Supiot, S. No impairment of quality of life 18 months after high-dose intensity-modulated radiotherapy for localized prostate cancer: A prospective study. Int. J. Radiat. Oncol. Biol. Phys. 2010, 77, 1053–1059. [Google Scholar] [CrossRef]
- Goineau, A.; Marchand, V.; Rigaud, J.; Bourdin, S.; Rio, E.; Campion, L.; Bonnaud-Antignac, A.; Mahé, M.-A.; Supiot, S. Prospective evaluation of quality of life 54 months after high-dose intensity-modulated radiotherapy for localized prostate cancer. Radiat. Oncol. 2013, 8, 53. [Google Scholar] [CrossRef]
- Nguyen, T.D.; Azria, D.; Brochon, D.; Poortmans, P.; Miller, R.C.; Scandolaro, L.; Majewski, W.; Krengli, M.; Abacioglu, U.; Moretti, L.; et al. Curative external beam radiotherapy in patients over 80 years of age with localized prostate cancer: A retrospective rare cancer network study. Crit. Rev. Oncol. Hematol. 2010, 74, 66–71. [Google Scholar] [CrossRef]
- Soubeyran, P.; Bellera, C.; Goyard, J.; Heitz, D.; Curé, H.; Rousselot, H.; Albrand, G.; Servent, V.; Jean, O.S.; van Praagh, I.; et al. Screening for vulnerability in older cancer patients: The ONCODAGE Prospective Multicenter Cohort Study. PLoS ONE 2014, 9, e115060. [Google Scholar] [CrossRef]
- Gerritse, F.L.; Meulenbeld, H.J.; Roodhart, J.M.L.; van der Velden, A.M.T.; Blaisse, R.J.B.; Smilde, T.J.; Erjavec, Z.; de Wit, R.; Los, M. NePro Study Investigators Analysis of docetaxel therapy in elderly (≥70years) castration resistant prostate cancer patients enrolled in the Netherlands Prostate Study. Eur. J. Cancer 2013, 49, 3176–3183. [Google Scholar] [CrossRef]
- Lee, C.E.; Kilgour, A.; Lau, Y.K.J. Efficacy of walking exercise in promoting cognitive-psychosocial functions in men with prostate cancer receiving androgen deprivation therapy. BMC Cancer 2012, 12, 324. [Google Scholar] [CrossRef]
- Bekelman, J.E.; Mitra, N.; Efstathiou, J.; Liao, K.; Sunderland, R.; Yeboa, D.N.; Armstrong, K. Outcomes after intensity-modulated versus conformal radiotherapy in older men with nonmetastatic prostate cancer. Int. J. Radiat. Oncol. Biol. Phys. 2011, 81, e325–e334. [Google Scholar] [CrossRef]
- Osborne, G.E.C.; Appleyard, S.A.; Gilbert, D.C.; Jones, C.I.; Lorimer, C.; Villanueva, M.; Peasgood, E.; Robinson, A.; Nikapota, A.; Ring, A. Comprehensive Geriatric Assessment in Men Aged 70 Years or Older with Localised Prostate Cancer Undergoing Radical Radiotherapy. Clin. Oncol. 2017, 29, 609–616. [Google Scholar] [CrossRef]
- Geinitz, H.; Thamm, R.; Scholz, C.; Heinrich, C.; Prause, N.; Kerndl, S.; Keller, M.; Busch, R.; Molls, M.; Zimmermann, F.B. Longitudinal analysis of quality of life in patients receiving conformal radiation therapy for prostate cancer. Strahlenther. Onkol. 2010, 186, 46–52. [Google Scholar] [CrossRef]
- Liuu, E.; Canouï-Poitrine, F.; Tournigand, C.; Laurent, M.; Caillet, P.; Le Thuaut, A.; Vincent, H.; Culine, S.; Audureau, E.; Bastuji-Garin, S.; et al. Accuracy of the G-8 geriatric-oncology screening tool for identifying vulnerable elderly patients with cancer according to tumour site: The ELCAPA-02 study. J. Geriatr. Oncol. 2014, 5, 11–19. [Google Scholar] [CrossRef]
- Soubeyran, P.; Fonck, M.; Blanc-Bisson, C.; Blanc, J.-F.; Ceccaldi, J.; Mertens, C.; Imbert, Y.; Cany, L.; Vogt, L.; Dauba, J.; et al. Predictors of early death risk in older patients treated with first-line chemotherapy for cancer. J. Clin. Oncol. 2012, 30, 1829–1834. [Google Scholar] [CrossRef]
- Aparicio, T.; Jouve, J.-L.; Teillet, L.; Gargot, D.; Subtil, F.; Le Brun-Ly, V.; Cretin, J.; Locher, C.; Bouché, O.; Breysacher, G.; et al. Geriatric factors predict chemotherapy feasibility: Ancillary results of FFCD 2001-02 phase III study in first-line chemotherapy for metastatic colorectal cancer in elderly patients. J. Clin. Oncol. 2013, 31, 1464–1470. [Google Scholar] [CrossRef]
- Blanc-Bisson, C.; Fonck, M.; Rainfray, M.; Soubeyran, P.; Bourdel-Marchasson, I. Undernutrition in elderly patients with cancer: Target for diagnosis and intervention. Crit. Rev. Oncol. Hematol. 2008, 67, 243–254. [Google Scholar] [CrossRef]
- Dinh, K.T.; Reznor, G.; Muralidhar, V.; Mahal, B.A.; Nezolosky, M.D.; Choueiri, T.K.; Hoffman, K.E.; Hu, J.C.; Sweeney, C.J.; Trinh, Q.-D.; et al. Association of Androgen Deprivation Therapy With Depression in Localized Prostate Cancer. J. Clin. Oncol. 2016, 34, 1905–1912. [Google Scholar] [CrossRef]
- Wortel, R.C.; Incrocci, L.; Pos, F.J.; van der Heide, U.A.; Lebesque, J.V.; Aluwini, S.; Witte, M.G.; Heemsbergen, W.D. Late Side Effects After Image Guided Intensity Modulated Radiation Therapy Compared to 3D-Conformal Radiation Therapy for Prostate Cancer: Results From 2 Prospective Cohorts. Int. J. Radiat. Oncol. Biol. Phys. 2016, 95, 680–689. [Google Scholar] [CrossRef]
- Cozzarini, C.; Fiorino, C.; Da Pozzo, L.F.; Alongi, F.; Berardi, G.; Bolognesi, A.; Briganti, A.; Broggi, S.; Deli, A.; Guazzoni, G.; et al. Clinical factors predicting late severe urinary toxicity after postoperative radiotherapy for prostate carcinoma: A single-institute analysis of 742 patients. Int. J. Radiat. Oncol. Biol. Phys. 2012, 82, 191–199. [Google Scholar] [CrossRef]
- Longobardi, B.; Berardi, G.; Fiorino, C.; Alongi, F.; Cozzarini, C.; Deli, A.; La Macchia, M.; Perna, L.; Di Muzio, N.G.; Calandrino, R. Anatomical and clinical predictors of acute bowel toxicity in whole pelvis irradiation for prostate cancer with Tomotherapy. Radiother. Oncol. 2011, 101, 460–464. [Google Scholar] [CrossRef]
- Perna, L.; Alongi, F.; Fiorino, C.; Broggi, S.; Cattaneo Giovanni, M.; Cozzarini, C.; Di Muzio, N.; Calandrino, R. Predictors of acute bowel toxicity in patients treated with IMRT whole pelvis irradiation after prostatectomy. Radiother. Oncol 2010, 97, 71–75. [Google Scholar] [CrossRef]
- Langston, B.; Armes, J.; Levy, A.; Tidey, E.; Ream, E. The prevalence and severity of fatigue in men with prostate cancer: A systematic review of the literature. Support. Care Cancer 2013, 21, 1761–1771. [Google Scholar] [CrossRef] [PubMed]
- Lilleby, W.; Stensvold, A.; Dahl, A.A. Fatigue and other adverse effects in men treated by pelvic radiation and long-term androgen deprivation for locally advanced prostate cancer. Acta Oncol. 2016, 55, 807–813. [Google Scholar] [CrossRef] [PubMed]
- Donovan, J.L.; Hamdy, F.C.; Lane, J.A.; Mason, M.; Metcalfe, C.; Walsh, E.; Blazeby, J.M.; Peters, T.J.; Holding, P.; Bonnington, S.; et al. Patient-Reported Outcomes after Monitoring, Surgery, or Radiotherapy for Prostate Cancer. N. Engl. J. Med. 2016, 375, 1425–1437. [Google Scholar] [CrossRef] [PubMed]
- Kerleau, C.; Guizard, A.-V.; Daubisse-Marliac, L.; Heutte, N.; Mercier, M.; Grosclaude, P.; Joly, F. French Network of Cancer Registries (FRANCIM) Long-term quality of life among localised prostate cancer survivors: QALIPRO population-based study. Eur. J. Cancer 2016, 63, 143–153. [Google Scholar] [CrossRef]
- Gonzalez, B.D.; Jim, H.S.L.; Booth-Jones, M.; Small, B.J.; Sutton, S.K.; Lin, H.-Y.; Park, J.Y.; Spiess, P.E.; Fishman, M.N.; Jacobsen, P.B. Course and Predictors of Cognitive Function in Patients With Prostate Cancer Receiving Androgen-Deprivation Therapy: A Controlled Comparison. J. Clin. Oncol. 2015, 33, 2021–2027. [Google Scholar] [CrossRef]
- Alibhai, S.M.H.; Breunis, H.; Timilshina, N.; Johnston, C.; Tomlinson, G.; Tannock, I.; Krahn, M.; Fleshner, N.E.; Warde, P.; Canning, S.D.; et al. Impact of androgen-deprivation therapy on physical function and quality of life in men with nonmetastatic prostate cancer. J. Clin. Oncol. 2010, 28, 5038–5045. [Google Scholar] [CrossRef]
- Bratt, O.; Folkvaljon, Y.; Hjälm Eriksson, M.; Akre, O.; Carlsson, S.; Drevin, L.; Franck Lissbrant, I.; Makarov, D.; Loeb, S.; Stattin, P. Undertreatment of Men in Their Seventies with High-risk Nonmetastatic Prostate Cancer. Eur. Urol. 2015, 68, 53–58. [Google Scholar] [CrossRef]
- Kopp, R.P.; Marshall, L.M.; Wang, P.Y.; Bauer, D.C.; Barrett-Connor, E.; Parsons, J.K. Osteoporotic Fractures in Men (MrOS) Research Group The burden of urinary incontinence and urinary bother among elderly prostate cancer survivors. Eur. Urol. 2013, 64, 672–679. [Google Scholar] [CrossRef]
- Goineau, A.; Campion, L.; d’Aillières, B.; Vié, B.; Ghesquière, A.; Béra, G.; Jaffres, D.; de Laroche, G.; Magné, N.; Artignan, X.; et al. Comprehensive Geriatric Assessment and quality of life after localized prostate cancer radiotherapy in elderly patients. PLoS ONE 2018, 13, e0194173. [Google Scholar] [CrossRef]
- Osoba, D.; Rodrigues, G.; Myles, J.; Zee, B.; Pater, J. Interpreting the significance of changes in health-related quality-of-life scores. J. Clin. Oncol. 1998, 16, 139–144. [Google Scholar] [CrossRef]
- Guren, M.G.; Dueland, S.; Skovlund, E.; Fosså, S.D.; Poulsen, J.P.; Tveit, K.M. Quality of life during radiotherapy for rectal cancer. Eur. J. Cancer 2003, 39, 587–594. [Google Scholar] [CrossRef]


| Characteristics | Characteristics | N (%) |
|---|---|---|
| Age | 75–79 | 154 (74.0) |
| 80–84 | 49 (23.6) | |
| ≥85 | 5 (2.4) | |
| BMI | underweight (<18) | 0 (0.0) |
| normal (18–25) | 71 (34.6) | |
| overweight (25–30) | 94 (45.9) | |
| obesity (>30) | 40 (19.5) | |
| Number of medications | 0–3 | 107 (51.4) |
| >3 | 109 (48.6) | |
| Distance to radiotherapy center | <30 km | 119 (57.2) |
| 30 to 60 km | 57 (27.4) | |
| ≥60 km | 32 (15.4) | |
| Clinical stage | low | 18 (8.7) |
| Intermediate | 88 (42.7) | |
| high | 100 (48.6) | |
| Radiotherapy | prostate | 185 (88.9) |
| prostate bed | 23 (11.1) | |
| ADT | yes | 99 (47.6) |
| no | 109 (52.4) |
| Geriatric problems | M0 N = 208 (%) | M6 N = 208 (%) |
| Depression | 48 (23) | 47 (22.6) |
| Impaired GUAGT | 17 (8.2) | 16 (7.7) |
| Malnutrition | 1 (0.5) | 1 (0.5) |
| Comorbidities | 134 (64.5) | 135 (64.9) |
| ADL impairment | 26 (12.5) | 26 (12.5) |
| IADL impairment | 34 (16.3) | 32 (11.1) |
| Cognitive impairment | 48 (23) | 53 (25.5) |
| Urinary function (IPSS score) | M0 N = 200 (%) | M6 N = 182 (%) |
| Severely impaired (IPSS 20–35) | 5 (2.5) | 8 (4.4) |
| Moderately impaired (IPSS 8–19) | 77 (38.5) | 69 (37.9) |
| Mildly impaired or normal function (IPSS <8) | 118 (59) | 105 (57.7) |
| Predictive Factors | Predictive Factors | No QoL Decrease (n = 136) | QoL Decrease (n = 45) | p |
|---|---|---|---|---|
| Age (+/- SD) | 78.1 (+/- 2.5) | 78.2 (+/- 2.9) | 0.779 | |
| Distance (+/- SD) | 29.9 (+/- 24.9) | 31.9 (+/- 23.7) | 0.638 | |
| BMI (+/- SD) | 26.6 (+/- 3.9) | 27.9 (+/- 5.5) | 0.098 | |
| Number of medications (+/- SD) | 3.3 (+/- 2.6) | 2.9 (+/- 2.2) | 0.429 | |
| QoL decrease at M2 | <10 ≥10 | 95 30 | 21 17 | 0.023 |
| Clinical stage at M0 | Low Intermediate High | 13 64 57 | 2 16 27 | 0.114 |
| Radiotherapy | prostate prostatic bed pelvis | 102 13 21 | 36 7 2 | 0.106 |
| ADT | No Yes | 78 58 | 20 25 | 0.167 |
| Depression at M0 | No Yes | 106 30 | 35 10 | 0.982 |
| Risk of fall at M0 | No Yes | 108 9 | 38 5 | 0.528 |
| Malnutrition at M0 | No Yes | 135 1 | 45 0 | 0.999 |
| Comorbidities at M0 | No: <4 Yes:4+ | 32 88 | 16 27 | 0.193 |
| Comorbidities gr3–4 at M0 | 0 1 or more | 85 35 | 32 11 | 0.654 |
| Urinary symptoms at M0 | Light Moderate High | 74 51 5 | 29 15 0 | 0.368 |
| Urinary symptoms at M2 | Mild Moderate Severe | 54 60 11 | 19 15 1 | 0.367 |
| ADL impairments at M0 | No Yes | 119 16 | 39 6 | 0.793 |
| IADL impairments | No Yes | 117 18 | 36 9 | 0.278 |
| Cognitive impairment | No Yes | 108 28 | 34 11 | 0.585 |
© 2020 by the authors. Licensee MDPI, Basel, Switzerland. This article is an open access article distributed under the terms and conditions of the Creative Commons Attribution (CC BY) license (http://creativecommons.org/licenses/by/4.0/).
Share and Cite
Goineau, A.; Campion, L.; Commer, J.-M.; Vié, B.; Ghesquière, A.; Béra, G.; Jaffres, D.; Magné, N.; Artignan, X.; Chamois, J.; et al. Can Comprehensive Geriatric Assessment Predict Tolerance of Radiotherapy for Localized Prostate Cancer in Men Aged 75 Years or Older? Cancers 2020, 12, 635. https://doi.org/10.3390/cancers12030635
Goineau A, Campion L, Commer J-M, Vié B, Ghesquière A, Béra G, Jaffres D, Magné N, Artignan X, Chamois J, et al. Can Comprehensive Geriatric Assessment Predict Tolerance of Radiotherapy for Localized Prostate Cancer in Men Aged 75 Years or Older? Cancers. 2020; 12(3):635. https://doi.org/10.3390/cancers12030635
Chicago/Turabian StyleGoineau, Aurore, Loïc Campion, Jean-Marie Commer, Brigitte Vié, Agnès Ghesquière, Guillaume Béra, Didier Jaffres, Nicolas Magné, Xavier Artignan, Jérôme Chamois, and et al. 2020. "Can Comprehensive Geriatric Assessment Predict Tolerance of Radiotherapy for Localized Prostate Cancer in Men Aged 75 Years or Older?" Cancers 12, no. 3: 635. https://doi.org/10.3390/cancers12030635
APA StyleGoineau, A., Campion, L., Commer, J.-M., Vié, B., Ghesquière, A., Béra, G., Jaffres, D., Magné, N., Artignan, X., Chamois, J., Bergerot, P., Créhange, G., Deniaud-Alexandre, E., Buthaud, X., Belkacémi, Y., Doré, M., De Decker, L., & Supiot, S. (2020). Can Comprehensive Geriatric Assessment Predict Tolerance of Radiotherapy for Localized Prostate Cancer in Men Aged 75 Years or Older? Cancers, 12(3), 635. https://doi.org/10.3390/cancers12030635

