Treosulfan-Based Conditioning Regimen for Second Allograft in Patients with Myelofibrosis
Simple Summary
Abstract
1. Introduction
2. Materials and Methods
2.1. Patient Selection
2.2. Patient Characteristics
2.3. Donor Characteristics
2.4. Therapy Plan
2.5. Supportive Care
2.6. Statistical Analysis
3. Results
3.1. Engraftment
3.2. Graft-versus-Host Disease
3.3. Response
3.4. Toxicity and TRM
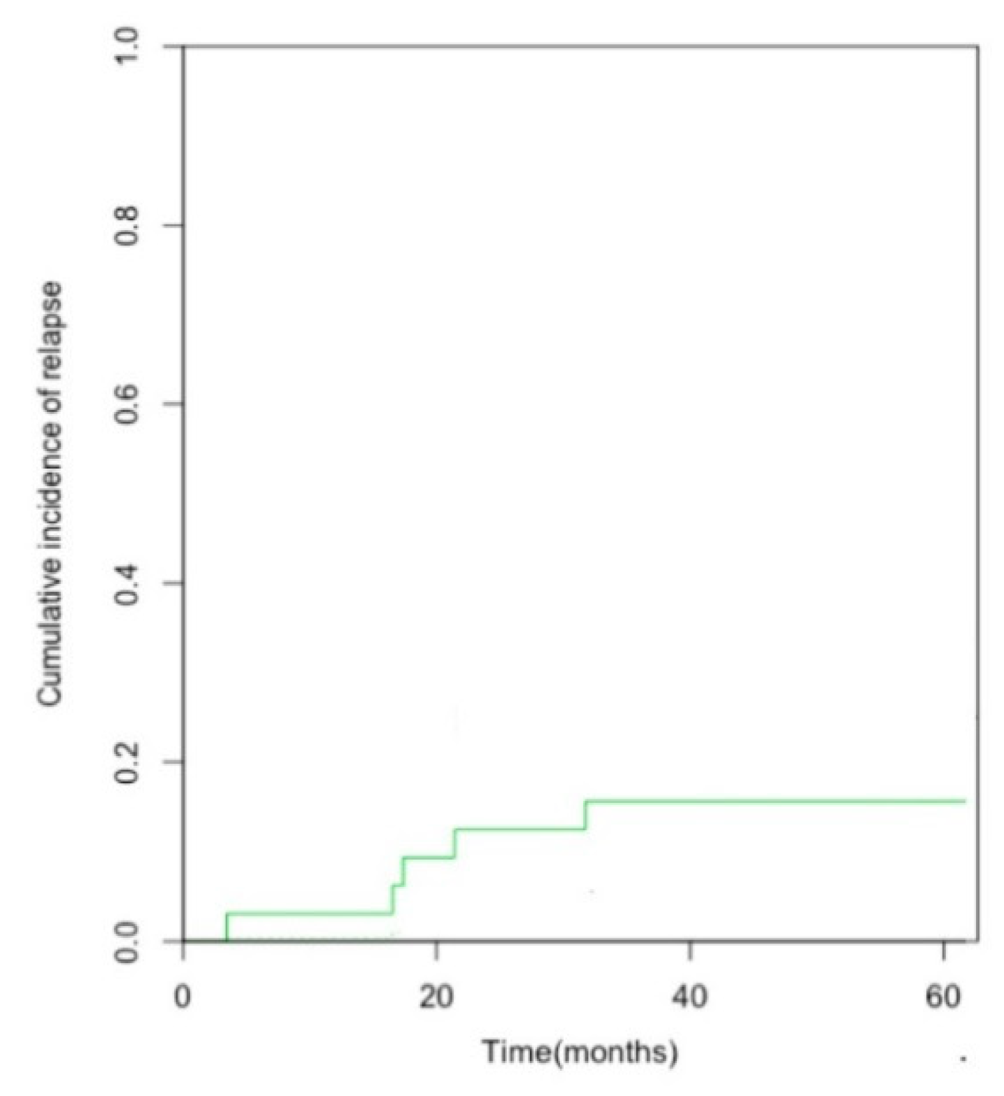
3.5. Outcome/Overall and Disease-Free Survival
4. Discussion
5. Conclusions
Author Contributions
Funding
Conflicts of Interest
References
- Barbui, T.; Barosi, G.; Birgegard, G.; Cervantes, F.; Finazzi, G.; Griesshammer, M.; Harrison, C.; Hasselbalch, H.C.; Hehlmann, R.; Hoffman, R.; et al. Philadelphia-Negative Classical Myeloproliferative Neoplasms: Critical Concepts and Management Recommendations From European LeukemiaNet. J. Clin. Oncol. 2011, 29, 761–770. [Google Scholar] [CrossRef]
- Robin, M.; De Wreede, L.C.; Wolschke, C.; Schetelig, J.; Eikema, D.-J.; Van Lint, M.T.; Knelange, N.S.; Beelen, D.; Brecht, A.; Niederwieser, D.; et al. Long-term outcome after allogeneic hematopoietic cell transplantation for myelofibrosis. Haematologica 2019, 104, 1782–1788. [Google Scholar] [CrossRef]
- Deeg, H.J.; Bredeson, C.; Farnia, S.; Ballen, K.; Gupta, V.; Mesa, R.A.; Popat, U.; Hari, P.; Saber, W.; Seftel, M.; et al. Hematopoietic Cell Transplantation as Curative Therapy for Patients with Myelofibrosis: Long-Term Success in all Age Groups. Biol. Blood Marrow Transplant. 2015, 21, 1883–1887. [Google Scholar] [CrossRef] [PubMed]
- Kroeger, N.; Holler, E.; Kobbe, G.; Bornhäuser, M.; Schwerdtfeger, R.; Baurmann, H.; Nagler, A.; Bethge, W.; Stelljes, M.; Uharek, L.; et al. Allogeneic stem cell transplantation after reduced-intensity conditioning in patients with myelofibrosis: A prospective, multicenter study of the Chronic Leukemia Working Party of the European Group for Blood and Marrow Transplantation. Blood 2009, 114, 5264–5270. [Google Scholar] [CrossRef] [PubMed]
- Kröger, N.; Alchalby, H.; Klyuchnikov, E.; Badbaran, A.; Hildebrandt, Y.; Ayuk, F.; Bacher, U.; Bock, O.; Kvasnicka, M.; Fehse, B.; et al. JAK2-V617F–triggered preemptive and salvage adoptive immunotherapy with donor-lymphocyte infusion in patients with myelofibrosis after allogeneic stem cell transplantation. Blood 2009, 113, 1866–1868. [Google Scholar] [CrossRef] [PubMed]
- Rondelli, D.; Barosi, G.; Bacigalupo, A.; Prchal, J.T.; Popat, U.; Alessandrino, E.P.; Spivak, J.L.; Smith, B.D.; Klingemann, H.G.; Fruchtman, S.; et al. Allogeneic hematopoietic stem-cell transplantation with reduced-intensity conditioning in intermediate- or high-risk patients with myelofibrosis with myeloid metaplasia. Blood 2005, 105, 4115–4119. [Google Scholar] [CrossRef] [PubMed]
- Robin, M.; Porcher, R.; Wolschke, C.; De Fontbrune, F.S.; Alchalby, H.; Christopeit, M.; Cassinat, B.; Zabelina, T.; De Latour, R.P.; Ayuk, F.; et al. Outcome after Transplantation According to Reduced-Intensity Conditioning Regimen in Patients Undergoing Transplantation for Myelofibrosis. Biol. Blood Marrow Transplant. 2016, 22, 1206–1211. [Google Scholar] [CrossRef]
- Jain, T.; Kunze, K.L.; Temkit, M.; Partain, D.K.; Patnaik, M.M.; Slack, J.L.; Khera, N.; Hogan, W.J.; Roy, V.; Noel, P.; et al. Comparison of reduced intensity conditioning regimens used in patients undergoing hematopoietic stem cell transplantation for myelofibrosis. Bone Marrow Transplant. 2018, 54, 204–211. [Google Scholar] [CrossRef]
- Klyuchnikov, E.; Holler, E.; Bornhäuser, M.; Kobbe, G.; Nagler, A.; Shimoni, A.; Könecke, C.; Wolschke, C.; Bacher, U.; Zander, A.R.; et al. Donor lymphocyte infusions and second transplantation as salvage treatment for relapsed myelofibrosis after reduced-intensity allografting. Br. J. Haematol. 2012, 159, 172–181. [Google Scholar] [CrossRef]
- McLornan, D.P.; Szydlo, R.; Robin, M.; Van Biezen, A.; Koster, L.; Blok, H.J.P.; Van Lint, M.T.; Finke, J.; Vitek, A.; Carlson, K.; et al. Outcome of patients with Myelofibrosis relapsing after allogeneic stem cell transplant: A retrospective study by the Chronic Malignancies Working Party of EBMT. Br. J. Haematol. 2018, 182, 418–422. [Google Scholar] [CrossRef]
- Tanvetyanon, T.; Stiff, P. Second allogeneic transplantation using a reduced-intensity preparative regimen for relapsed myelofibrosis. Am. J. Hematol. 2004, 77, 204–205. [Google Scholar] [CrossRef] [PubMed]
- Shimoni, A.; Hardan, I.; Shem-Tov, N.; Rand, A.; Yerushalmi, R.; Nagler, A. Fludarabine and treosulfan: A novel modified myeloablative regimen for allogeneic hematopoietic stem-cell transplantation with effective antileukemia activity in patients with acute myeloid leukemia and myelodysplastic syndromes. Leuk. Lymphoma 2007, 48, 2352–2359. [Google Scholar] [CrossRef] [PubMed]
- Danylesko, I.; Shimoni, A.; Nagler, A. Treosulfan-based conditioning before hematopoietic SCT: More than a BU look-alike. Bone Marrow Transplant. 2011, 47, 5–14. [Google Scholar] [CrossRef] [PubMed]
- Beelen, D.W.; Trenschel, R.; Stelljes, M.; Groth, C.; Masszi, T.; Reményi, P.; Wagner-Drouet, E.-M.; Hauptrock, B.; Dreger, P.; Luft, T.; et al. Treosulfan or busulfan plus fludarabine as conditioning treatment before allogeneic haemopoietic stem cell transplantation for older patients with acute myeloid leukaemia or myelodysplastic syndrome (MC-FludT.14/L): A randomised, non-inferiority, phase 3 trial. Lancet Haematol. 2019, 7, e28–e39. [Google Scholar] [CrossRef] [PubMed]
- Claudiani, S.; Marktel, S.; Piemontese, S.; Assanelli, A.; Lupo-Stanghellini, M.T.; Carrabba, M.; Guggiari, E.; Giglio, F.; De Freitas, T.; Marcatti, M.; et al. Treosulfan based reduced toxicity conditioning followed by allogeneic stem cell transplantation in patients with myelofibrosis. Hematol. Oncol. 2014, 34, 154–160. [Google Scholar] [CrossRef]
- Przepiorka, D.; Weisdorf, D.; Martin, P.; Klingemann, H.G.; Beatty, P.; Hows, J.; Thomas, E.D. 1994 Consensus Conference on Acute GVHD Grading. Bone Marrow Transplant. 1995, 15, 825–828. [Google Scholar]
- Jagasia, M.H.; Greinix, H.T.; Arora, M.; Williams, K.M.; Wolff, D.; Cowen, E.W.; Palmer, J.; Weisdorf, D.; Treister, N.S.; Cheng, G.-S.; et al. National Institutes of Health Consensus Development Project on Criteria for Clinical Trials in Chronic Graft-versus-Host Disease: I. The 2014 Diagnosis and Staging Working Group Report. Biol. Blood Marrow Transplant. 2015, 21, 389–401.e1. [Google Scholar] [CrossRef]
- Kröger, N.; Shimoni, A.; Zabelina, T.; Schieder, H.; Panse, J.; Ayuk, F.; Wolschke, C.; Renges, H.; Dahlke, J.; Atanackovic, D.; et al. Reduced-toxicity conditioning with treosulfan, fludarabine and ATG as preparative regimen for allogeneic stem cell transplantation (alloSCT) in elderly patients with secondary acute myeloid leukemia (sAML) or myelodysplastic syndrome (MDS). Bone Marrow Transplant. 2006, 37, 339–344. [Google Scholar] [CrossRef]
- Patriarca, F.; Bacigalupo, A.; Sperotto, A.; Isola, M.; Soldano, F.; Bruno, B.; Van Lint, M.T.; Iori, A.P.; Santarone, S.; Porretto, F.; et al. Allogeneic hematopoietic stem cell transplantation in myelofibrosis: The 20-year experience of the Gruppo Italiano Trapianto di Midollo Osseo (GITMO). Haematologica 2008, 93, 1514–1522. [Google Scholar] [CrossRef]
- Gupta, V.; Kröger, N.; Aschan, J.; Xu, W.; Leber, B.; Dalley, C.; Sabloff, M.; Lipton, J.H.; Messner, H.; Brüne, M.; et al. A retrospective comparison of conventional intensity conditioning and reduced-intensity conditioning for allogeneic hematopoietic cell transplantation in myelofibrosis. Bone Marrow Transplant. 2009, 44, 317–320. [Google Scholar] [CrossRef]
- Shimoni, A.; Labopin, M.; Savani, B.; Hamladji, R.-M.; Beelen, D.; Mufti, G.; Socié, G.; Delage, J.; Blaise, D.; Chevallier, P.; et al. Intravenous Busulfan Compared with Treosulfan-Based Conditioning for Allogeneic Stem Cell Transplantation in Acute Myeloid Leukemia: A Study on Behalf of the Acute Leukemia Working Party of European Society for Blood and Marrow Transplantation. Biol. Blood Marrow Transplant. 2018, 24, 751–757. [Google Scholar] [CrossRef] [PubMed]
- Gupta, V.; Malone, A.K.; Hari, P.N.; Ahn, K.W.; Hu, Z.-H.; Gale, R.P.; Ballen, K.K.; Hamadani, M.; Olavarria, E.; Gerds, A.T.; et al. Reduced-Intensity Hematopoietic Cell Transplantation for Patients with Primary Myelofibrosis: A Cohort Analysis from the Center for International Blood and Marrow Transplant Research. Biol. Blood Marrow Transplant. 2014, 20, 89–97. [Google Scholar] [CrossRef]
- Alchalby, H.; Yunus, D.-R.; Zabelina, T.; Ayuk, F.; Kröger, N. Incidence and risk factors of poor graft function after allogeneic stem cell transplantation for myelofibrosis. Bone Marrow Transplant. 2016, 51, 1223–1227. [Google Scholar] [CrossRef] [PubMed]



| Number of Patients | n = 33 |
|---|---|
| Median patient age at AHSCT (years) | 59 years (range: 37–76) |
| Median donor age at AHSCT (years) | 40 years (range: 20–66) |
| Recipient gender | |
| Male/Female | n = 19/14 |
| Donor gender | |
| Male/Female | n = 26/7 |
| Male patient/female donor | n = 6 |
| Diagnosis at transplantation | |
| Primary myelofibrosis | n = 12 (36 %) |
| Post-PV myelofibrosis | n = 7 (21%) |
| Post-ET myelofibrosis | n = 8 (24%) |
| Acute Myeloid Leukemia | n = 6 (18%) |
| DIPSS at transplantation | |
| Low-Int-1 | n = 6 (18.2 %) |
| Int-2-High | n = 16 (48.5%) |
| Cytogenetic analysis | |
| Normal karyotype | n = 6 |
| Complex karyotype | n = 1 |
| Other abnormalities | n = 4 |
| Stem cell source | |
| Peripheral blood stem cells | n = 33 |
| Bone marrow | n = 0 |
| Donor Type | |
| Unrelated donor | n = 31 |
| Related donor | n = 2 |
| Donor Status | |
| Same donor | n = 4 |
| Alternative donor | n = 29 |
| HLA-Status | |
| Matched | n = 25 |
| Mismatched | n = 8 |
| CMV Status of recipient/donor | |
| +/+ | n = 23 |
| -/- | n = 5 |
| +/- | n = 4 |
| -/+ | n = 1 |
| Median number of transplanted CD34+ cells/kg BW | 8.0 × 106 (range: 2.56–15.7) |
| Conditioning regimen | |
| Treosulfan/Fludarabine | n = 26 |
| FLAMSA/Treosulfan | n = 4 |
| Treo/AraC/Mitox/Gemtu | n = 1 |
| Treosulfan/Fludarabine/Thiotepa | n = 1 |
| Treosulfan/Thiotepa | n = 1 |
| GVHD prophylaxis | |
| CSA + MMF | n = 26 |
| CSA + Methotrexate | n = 4 |
| Tacrolimus and MMF | n = 3 |
| Median time until leukocyte engraftment (days). | 11 days (range, 9–78) |
| Median time until thrombocyte engraftment (days) | 14 days (range, 9–119) |
| Response Rates (n = 27) | |
| ORR mCR hCR PR | n = 23 (85%) n = 19 (70%) n = 2 (7%) n = 2 (7%) |
| Cumulative incidence of acute GvHD at day 100 (n = 33) | |
| All Grades Grade II-IV Grade III-IV | 73 ± 10 % 56 ± 13 % 33 ± 13 % |
| Cumulative incidence of chronic GvHD at 1 year (n = 33) | |
| Moderate or severe | 28 ± 12 % |
| 3-year cumulative incidence of relapse | 16% (CI: 5.5–30.4) |
| Day 100 treatment related mortality | 16% (CI: 5.5–30.3) |
| 3-year treatment related mortality | 31% (CI: 16–47.7) |
| 3-year disease-free survival | 49% (CI: 27.7–75.2) |
| 5- year disease-free survival | 45% (CI: 23.9–72.9) |
| 3-year overall survival | 59% (CI: 39.1–82) |
| 5- year overall survival | 47% (CI: 27.7–75.2) |
| Infections | Number of Patients |
|---|---|
| Pneumonia Bacterial pneumonia Viral pneumonia Fungal pneumonia (Aspergillus/Mucor) CMV-pneumonia H1N1-pneumonia | n = 13 n = 3 n = 2 n = 5 (4/1) n = 2 n = 1 |
| Catheter related infection | n = 5 |
| Blood culture positive septicemia | n = 9 |
| Sepsis Catheter related sepsis Bacterial Sepsis | n = 7 n = 2 n = 5 |
| BK/JCV Cystitis | n = 5 |
| HSV-viremia | n = 1 |
| HHV-6 infection | n = 1 |
| Neutropenic Colitis | n = 1 |
Publisher’s Note: MDPI stays neutral with regard to jurisdictional claims in published maps and institutional affiliations. |
© 2020 by the authors. Licensee MDPI, Basel, Switzerland. This article is an open access article distributed under the terms and conditions of the Creative Commons Attribution (CC BY) license (http://creativecommons.org/licenses/by/4.0/).
Share and Cite
Atagunduz, I.K.; Klyuchnikov, E.; Wolschke, C.; Janson, D.; Heidenreich, S.; Christopeit, M.; Ayuk, F.; Kröger, N. Treosulfan-Based Conditioning Regimen for Second Allograft in Patients with Myelofibrosis. Cancers 2020, 12, 3098. https://doi.org/10.3390/cancers12113098
Atagunduz IK, Klyuchnikov E, Wolschke C, Janson D, Heidenreich S, Christopeit M, Ayuk F, Kröger N. Treosulfan-Based Conditioning Regimen for Second Allograft in Patients with Myelofibrosis. Cancers. 2020; 12(11):3098. https://doi.org/10.3390/cancers12113098
Chicago/Turabian StyleAtagunduz, Isik Kaygusuz, Evgeny Klyuchnikov, Christine Wolschke, Dietlinde Janson, Silke Heidenreich, Maximilian Christopeit, Francis Ayuk, and Nicolaus Kröger. 2020. "Treosulfan-Based Conditioning Regimen for Second Allograft in Patients with Myelofibrosis" Cancers 12, no. 11: 3098. https://doi.org/10.3390/cancers12113098
APA StyleAtagunduz, I. K., Klyuchnikov, E., Wolschke, C., Janson, D., Heidenreich, S., Christopeit, M., Ayuk, F., & Kröger, N. (2020). Treosulfan-Based Conditioning Regimen for Second Allograft in Patients with Myelofibrosis. Cancers, 12(11), 3098. https://doi.org/10.3390/cancers12113098
