From a Philosophical Framework to a Valid Prognostic Staging System of the New “Comprehensive Assessment” for Transplantable Hepatocellular Carcinoma
Abstract
1. Introduction
2. Results
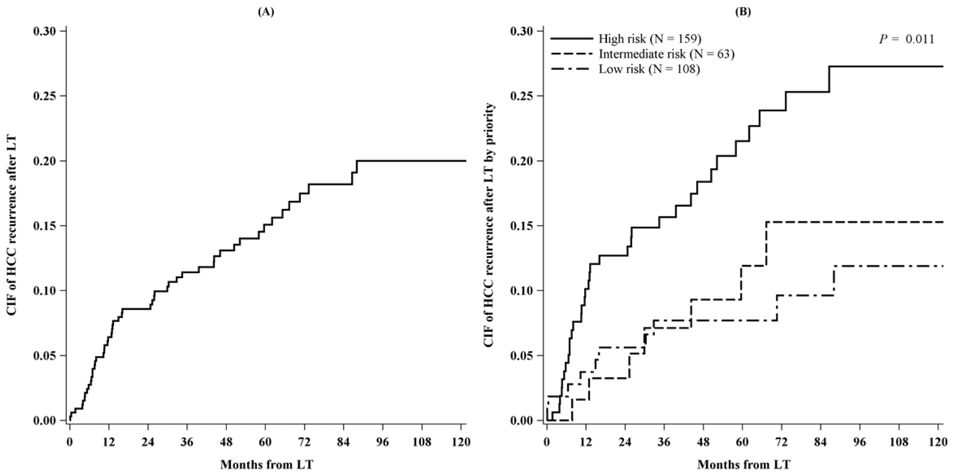
2.1. Impact of Re-Staging Features on Post LT Outcome
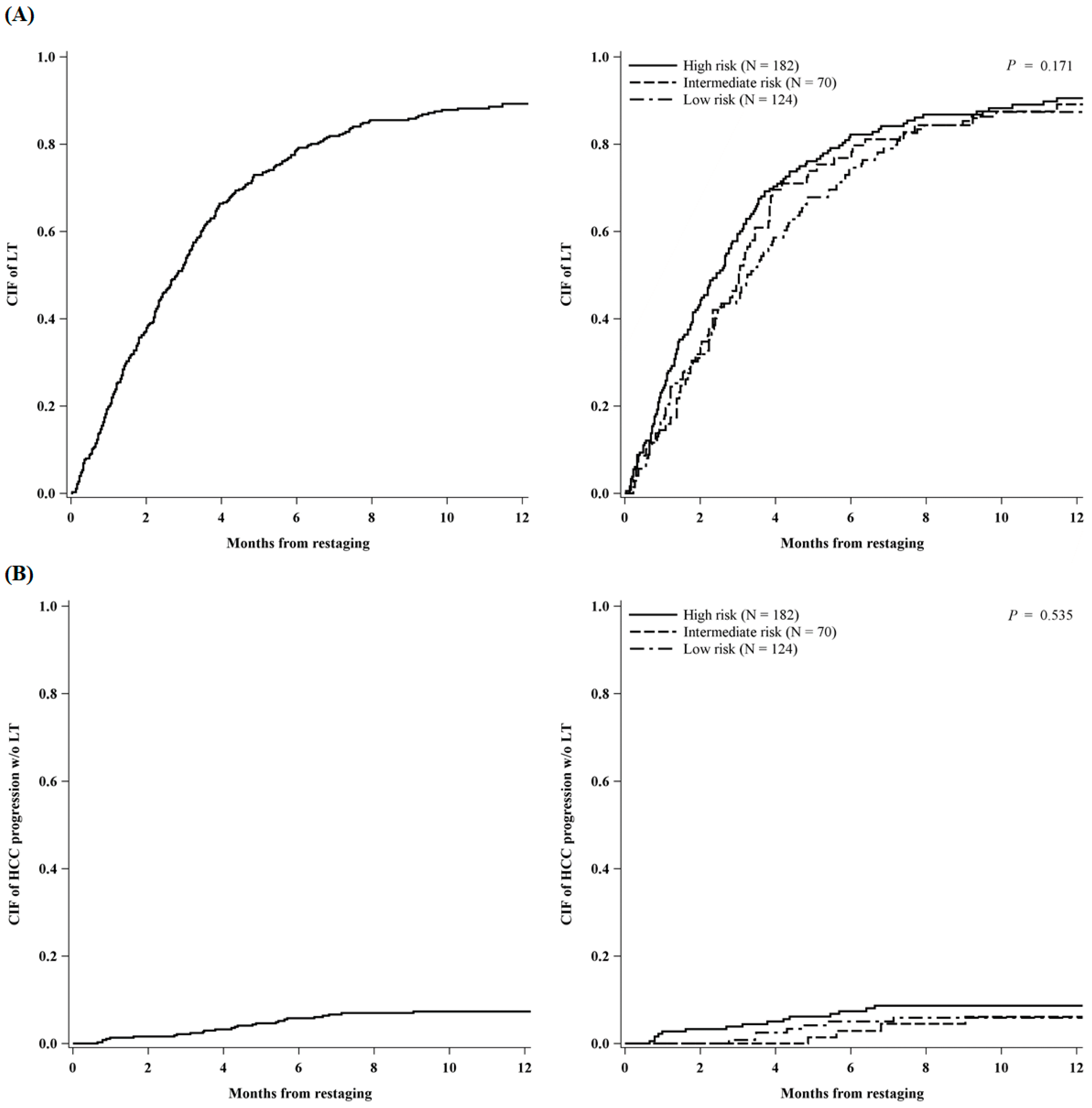
2.2. Dropped-Out From WL
2.3. Intention-to-Treat and Survival
3. Discussion
4. Materials and Methods
- High-risk-class (HRC) = stages TTDR and TTPR;
- Intermediate-risk-class (IRC) = stages TT0NT, TTFR, and TTUT;
- Low-risk-class (LRC) = stages TT1, TT0L, and TT0.
Statistical Analysis
5. Conclusions
Supplementary Materials
Author Contributions
Funding
Conflicts of Interest
References
- Fan, H.L.; Chen, T.W.; Hsieh, C.B.; Jan, H.C.; His, S.C.; De-Chuan, C.; Chu, C.H.; Yu, J.C. Liver transplantation is an alternative treatment of hepatocellular carcinoma beyond the Milan criteria. Am. J. Surg. 2010, 200, 252–257. [Google Scholar] [CrossRef] [PubMed]
- Lai, Q.; Vitale, A.; Iesari, S.; Finkenstedt, A.; Mennini, G.; Spoletini, G.; Hoppe-Lotichius, M.; Vennarecci, G.; Manzia, T.M.; Nicolini, D.; et al. Intention-to-treat survival benefit of liver transplantation in patients with hepatocellular cancer. Hepatology 2017, 66, 1910–1919. [Google Scholar] [CrossRef] [PubMed]
- Forner, A.; Llovet, J.M.; Bruix, J. Hepatocellular carcinoma. Lancet 2012, 379, 1245–1255. [Google Scholar] [CrossRef]
- Altekruse, S.F.; McGlynn, K.A.; Dickie, L.A.; Kleiner, D.E. Hepatocellular carcinoma confirmation, treatment, and survival in surveillance, epidemiology, and end results registries, 1992–2008. Hepatology 2012, 55, 476–482. [Google Scholar] [CrossRef] [PubMed]
- Llovet, J.; Brú, C.; Bruix, J. Prognosis of hepatocellular carcinoma: The BCLC staging classification. Semin. Liver Dis. 1999, 19, 329–338. [Google Scholar] [CrossRef] [PubMed]
- Mazzaferro, V.; Regalia, E.; Doci, R.; Andreola, S.; Pulvirenti, A.; Bozzetti, F.; Montalto, F.; Ammatuna, M.; Morabito, A.; Gennari, L. Liver transplantation for the treatment of small hepatocellular carcinomas in patients with cirrhosis. N. Engl. J. Med. 1996, 334, 693–700. [Google Scholar] [CrossRef]
- Yao, F. Liver transplantation for hepatocellular carcinoma: Expansion of the tumor size limits does not adversely impact survival. Hepatology 2001, 33, 1394–1403. [Google Scholar] [CrossRef]
- Yao, F.Y.; Mehta, N.; Flemming, J.; Dodge, J.; Hameed, B.; Fix, O.; Hirose, R.; Fidelman, N.; Kerlan, R.K., Jr.; Roberts, J.P. Downstaging of hepatocellular cancer before liver transplant: Long-term outcome compared to tumors within Milan criteria. Hepatology 2015, 61, 1968–1977. [Google Scholar] [CrossRef]
- Mazzaferro, V.; Llovet, J.M.; Miceli, R.; Bhoori, S.; Schiavo, M.; Mariani, L.; Camerini, T.; Roayaie, S.; Schwartz, M.E.; Grazi, G.L.; et al. Predicting survival after liver transplantation in patients with hepatocellular carcinoma beyond the Milan criteria: A retrospective, exploratory analysis. Lancet Oncol. 2009, 10, 35–43. [Google Scholar] [CrossRef]
- Mazzaferro, V.; Sposito, C.; Zhou, J.; Pinna, A.D.; De Carlis, L.; Fan, J.; Cescon, M.; Di Sandro, S.; Yi-Feng, H.; Lauterio, A.; et al. Metroticket 2.0 Model for analysis of competing risks of death after liver transplantation for hepatocellular carcinoma. Gastroenterology 2018, 154, 128–139. [Google Scholar] [CrossRef]
- Sharma, P.; Schaubel, D.E.; Guidinger, M.K.; Goodrich, N.P.; Ojo, A.O.; Merion, R.M. Impact of MELD-based allocation on end-stage renal disease after liver transplantation. Am. J. Transplant. 2011, 11, 2372–2378. [Google Scholar] [CrossRef] [PubMed]
- Vitale, A.; Volk, M.L.; De Feo, T.M.; Burra, P.; Frigo, A.C.; Ramirez Morales, R.; De Carlis, L.; Belli, L.; Colledan, M.; Fagiuoli, S.; et al. A method for establishing allocation equity among patients with and without hepatocellular carcinoma on a common liver transplant waiting list. J. Hepatol. 2014, 60, 290–297. [Google Scholar] [CrossRef] [PubMed]
- Toso, C.; Mazzaferro, V.; Bruix, J.; Freeman, R.; Mentha, G.; Majno, P. Toward a better liver graft allocation that accounts for candidates with and without hepatocellular carcinoma. Am. J. Transplant. 2014, 14, 2221–2227. [Google Scholar] [CrossRef] [PubMed]
- De Carlis, L.; Di Sandro, S.; Giacomoni, A.; Slim, A.; Lauterio, A.; Mangoni, I.; Mihaylov, P.; Pirotta, V.; Aseni, P.; Rampoldi, A. Beyond the Milan criteria: What risks for patients with hepatocellular carcinoma progression before liver transplantation? J. Clin. Gastroenterol. 2012, 46, 78–86. [Google Scholar] [CrossRef] [PubMed]
- Mazzaferro, V. Squaring the circle of selection and allocation in liver transplantation for HCC: An adaptive approach. Hepatology 2016, 63, 1707–1717. [Google Scholar] [CrossRef]
- Cillo, U.; Burra, P.; Mazzaferro, V.; Belli, L.; Pinna, A.D.; Spada, M.; Nanni Costa, A.; Toniutto, P.; on behalf of the I-BELT (Italian Board of Experts in the Field of Liver Transplantation). A multistep, consensus-based approach to organ allocation in liver transplantation: Toward a “Blended principle model”. Am. J. Transplant. 2015, 15, 2552–2561. [Google Scholar] [CrossRef] [PubMed]
- Lai, Q.; Avolio, A.W.; Graziadei, I.; Otto, G.; Rossi, M.; Tisone, G.; Goffette, P.; Vogel, W.; Pitton, M.B.; Lerut, J.; et al. Alpha-fetoprotein and modified response evaluation criteria in solid tumors progression after locoregional therapy as predictors of hepatocellular cancer recurrence and death after transplantation. Liver Transpl. 2013, 19, 1108–1118. [Google Scholar] [CrossRef]
- Otto, G.; Schuchmann, M.; Hoppe-Lotichius, M.; Heise, M.; Weinmann, A.; Hansen, T.; Pitton, M.P. How to decide about liver transplantation in patients with hepatocellular carcinoma: Size and number of lesions or response to TACE? J. Hepatol. 2013, 59, 279–284. [Google Scholar] [CrossRef]
- European Association For The Study Of The Liver; European Organisation For Research And Treatment Of Cancer. EASL-EORTC clinical practice guidelines: Management of hepatocellular carcinoma. J. Hepatol. 2012, 56, 908–943. [Google Scholar] [CrossRef]
- Salvalaggio, P.R.; Felga, G.; Axelrod, D.A.; Della Guardia, B.; Almeida, M.D.; Rezende, M.B. List and liver transplant survival according to waiting time in patients with hepatocellular carcinoma. Am. J. Transplant. 2015, 15, 668–677. [Google Scholar] [CrossRef]
- Di Sandro, S.; Slim, A.O.; Giacomoni, A.; Lauterio, A.; Mangoni, I.; Aseni, P.; Pirotta, V.; Aldumour, A.; Mihaylov, P.; De Carlis, L. Living donor liver transplantation for hepatocellular carcinoma: Long-term results compared with deceased donor liver transplantation. Transplant. Proc. 2009, 41, 1283–1285. [Google Scholar] [CrossRef] [PubMed]
- Halazun, K.J.; Patzer, R.E.; Rana, A.A.; Verna, E.C.; Griesemer, A.D.; Parsons, R.F.; Samstein, B.; Guarrera, J.V.; Kato, T.; Brown, R.S., Jr.; et al. Standing the test of time: outcomes of a decade of prioritizing patients with hepatocellular carcinoma, results of the UNOS natural geographic experiment. Hepatology 2014, 60, 1957–1962. [Google Scholar] [CrossRef] [PubMed]
- Kulik, L.M.; Fisher, R.A.; Rodrigo, D.R.; Brown, R.S., Jr.; Freise, C.E.; Shaked, A.; Everhart, J.E.; Everson, G.T.; Hong, J.C.; Hayashi, P.H.; et al. Outcomes of living and deceased donor liver transplant recipients with hepatocellular carcinoma: Results of the A2ALL cohort. Am. J. Transplant. 2012, 12, 2997–3007. [Google Scholar] [CrossRef] [PubMed]
- Lo, C.M.; Fan, S.T.; Liu, C.L.; Chan, S.C.; Ng, I.O.L.; Wong, J. Living donor versus deceased donor liver transplantation for early irresectable hepatocellular carcinoma. Br. J. Surg. 2007, 94, 78–86. [Google Scholar] [CrossRef] [PubMed]
- Malagó, M.; Sotiropoulos, G.C.; Nadalin, S.; Valentin-Gamazo, C.; Paul, A.; Lang, H.; Radtke, A.; Saner, F.; Molmenti, E.; Beckebaum, S.; et al. Living donor liver transplantation for hepatocellular carcinoma: A single-center preliminary report. Liver Transpl. 2006, 12, 934–940. [Google Scholar] [CrossRef]
- Samoylova, M.L.; Dodge, J.L.; Yao, F.Y.; Roberts, J.P. Time to transplantation as a predictor of hepatocellular carcinoma recurrence after liver transplantation. Liver Transpl. 2014, 20, 937–944. [Google Scholar] [CrossRef] [PubMed]
- Choi, H.; Charnsangavej, C.; Faria, S.C.; Macapinlac, H.A.; Burgess, M.A.; Patel, S.R.; Chen, L.L.; Podoloff, D.A.; Benjamin, R.S. Correlation of computed tomography and positron emission tomography in patients with metastatic gastrointestinal stromal tumor treated at a single institution with imatinib mesylate: Proposal of new computed tomography response criteria. J. Clin. Oncol. 2007, 25, 1753–1759. [Google Scholar] [CrossRef]
- Eisenhauer, E.A.; Therasse, P.; Bogaerts, J.; Schwartz, L.H.; Sargent, D.; Ford, R.; Dancey, J.; Arbuck, S.; Gwyther, S.; Mooney, M.; et al. New response evaluation criteria in solid tumours: Revised RECIST guideline (version 1.1). Eur. J. Cancer 2009, 45, 228–247. [Google Scholar] [CrossRef]
- Riaz, A.; Memon, K.; Miller, F.H.; Nikolaidis, P.; Kulik, L.M.; Lewandowski, R.J.; Ryu, R.K.; Sato, K.T.; Gates, V.L.; Mulcahy, M.F.; et al. Role of the EASL, RECIST, and WHO response guidelines alone or in combination for hepatocellular carcinoma: Radiologic-pathologic correlation. J. Hepatol. 2011, 54, 695–704. [Google Scholar] [CrossRef]
- De Carlis, L.; Di Sandro, S.; Centonze, L.; Lauterio, A.; Buscemi, V.; De Carlis, R.; Ferla, F.; Sguinzi, R.; Okolicsanyi, S.; Belli, L.; et al. Liver-allocation policies for patients affected by HCC in Europe. Curr. Transplant. Rep. 2016, 3, 313–318. [Google Scholar] [CrossRef]
- Wald, C.; Russo, M.W.; Heimbach, J.K.; Hussain, H.K.; Pomfret, E.A.; Bruix, J. New OPTN/UNOS policy for liver transplant allocation: Standardization of liver imaging, diagnosis, classification, and reporting of hepatocellular carcinoma. Radiology 2013, 266, 376–382. [Google Scholar] [CrossRef] [PubMed]
- Prentice, R.L.; Kalbfleisch, J.D.; Peterson, A.V.; Flournoy, N.; Farewell, V.T.; Breslow, N.E. The analysis of failure times in the presence of competing risks. Biometrics 1978, 34, 541. [Google Scholar] [CrossRef] [PubMed]
- Gray, R.J. A Class of K-sample tests for comparing the cumulative incidence of a competing risk. Ann. Stat. 1988, 16, 1141–1154. [Google Scholar] [CrossRef]
- Fine, J.P.; Gray, R.J. A proportional hazards model for the subdistribution of a competing risk. J. Am. Stat. Assoc. 1999, 94, 496. [Google Scholar] [CrossRef]




| Transplanted PTs 1 (N = 330) | Dropped-Out PTs 2 (N = 46) | Total PTs (N = 376) | ||
|---|---|---|---|---|
| Characteristics of PTs | ||||
| Age, median (IQR) | 57 (52–61) | 57 (52–60) | 57 (52–61) | |
| Sex, N (%) | Men | 289 (88) | 38 (83) | 327 (87.0) |
| Women | 41 (12) | 8 (17) | 49 (13.0) | |
| Presence of HCV, N (%) | 205 (62) | 31 (67) | 236 (62.8) | |
| Presence of HBV, N (%) | 79 (24) | 11 (24) | 90 (23.9) | |
| Abuse of alcohol, N (%) | 95 (29) | 8 (17) | 103 (27.4) | |
| Other cause of cirrhosis, N (%) 3 | 17 (5) | 2 (4) | 19 (5.1) | |
| Reason for drop-out, N (%) | HCC progression | 27 (59) | 27 (59) | |
| Other 4 | 19 (41) | 19 (41) | ||
| Parameter at the last restaging | ||||
| Restaging, N (%) | TT0C | 6 (2) | 2 (4) | 8 (2.1) |
| TT0L | 93 (28) | 11 (24) | 104 (27.7) | |
| TT1 | 9 (3) | 3 (6) | 12 (3.2) | |
| TT0NT | 15 (4) | 0 (0) | 15 (4.0) | |
| TTFR | 32 (10) | 7 (15) | 39 (10.4) | |
| TTUT | 16 (5) | 0 (0) | 16 (4.3) | |
| TTPR | 80 (24) | 10 (22) | 90 (23.9) | |
| TTDR | 79 (24) | 13 (28) | 92 (24.5) | |
| AFP (ng/mL), median (IQR) | 8 (3–35) | 35 (5–208) | 9 (3–43) | |
| Missing | 31 | 21 | 52 | |
| Number of nodules, median (IQR) | 1 (0–2) | 3 (1–5) | 1 (0–2) | |
| Missing | 25 | 22 | 47 | |
| Diameter of the largest nodule (mm), median (IQR) | 17 (14–23) | 30 (14–45) | 18 (14–25) | |
| Missing | 19 | 3 | 22 | |
| Time from the last TRT to restaging (days), median (IQR) | 92 (44–245) | 97 (37–294) | 92 (42–257) | |
| Missing | 14 | 0 | 14 | |
| MELD score, N (%) | ≤9 | 105 (32) | 3 (18) | 108 (31.4) |
| 10–19 | 193 (60) | 10 (59) | 203 (58.8) | |
| 20–29 | 25 (7) | 3 (18) | 28 (8.1) | |
| ≥30 | 3 (1) | 1 (5) | 6 (1.7) | |
| Missing | 2 | 29 | 31 | |
| CHILD score, N (%) | A | 152 (51) | 4 (36) | 156 (50.5) |
| B | 112 (38) | 3 (27) | 115 (37.2) | |
| C | 34 (11) | 4 (36) | 38 (12.3) | |
| Missing | 32 | 35 | 67 | |
| Tumor classification, N (%) | T0 | 103 (35) | 3 (14) | 106 (33.7) |
| T1–T2 | 160 (55) | 7 (32) | 167 (53.0) | |
| T3–T4 | 30 (10) | 12 (54) | 42 (13.3) | |
| Missing | 37 | 24 | 61 | |
| TRT, N (%) | Yes | 273 (83) | 42 (91) | 315 (83.8) |
| Parameters and pathology at LT | ||||
| AFP (ng/mL), median (IQR) | 8 (4–24) | 8 (4–24) | ||
| Missing | 35 | 35 | ||
| Number of nodules, median (IQR) | 2 (1–3) | 2 (1–3) | ||
| Diameter of the largest nodule (mm), median (IQR) | 20 (15–30) | 20 (15–30) | ||
| Grade of HCC, N (%) | 0 | 36 (12) | 36 (12) | |
| 1 | 34 (11) | 34 (11) | ||
| 2 | 148 (48) | 148 (48) | ||
| 3 | 93 (29) | 93 (29) | ||
| Missing | 15 | 15 | ||
| Microvascular invasion, N (%) | No | 218 (73) | 218 (73) | |
| Yes | 82 (27) | 82 (27) | ||
| Missing | 30 | 30 | ||
| Macrovascular invasion, N (%) | No | 289 (97) | 289 (97) | |
| Yes | 9 (3) | 9 (3) | ||
| Missing | 32 | 32 | ||
| Univariate Model | Multivariate Model | |||
|---|---|---|---|---|
| HR (95% CI) | P | HR (95% CI) | P | |
| Priority | ||||
| Low risk | Ref. | Ref. | ||
| Intermediate risk | 1.23 (0.47–3.19) | 0.67 | 1.56 (0.51–4.74) | 0.43 |
| High risk | 2.60 (1.28–5.26) | 0.0079 | 2.89 (1.26–6.64) | 0.012 |
| Age (years) | ||||
| +10 years increase | 0.91 (0.57–1.43) | 0.67 | 0.93 (0.57–1.51) | 0.77 |
| Sex | ||||
| Women | Ref. | Ref. | ||
| Men | 0.90 (0.41–2.01) | 0.80 | 0.93 (0.49–1.76) | 0.81 |
| AFP at the last restaging (ng/mL) | ||||
| Doubling the AFP value | 1.22 (1.10–1.35) | <0.0001 | 1.23 (1.10–1.37) | 0.0002 |
| Number of nodules at the last restaging | ||||
| +1 nodule | 1.24 (1.04–1.9) | 0.018 | ||
| Diameter of the largest nodule at the last restaging (mm) | ||||
| +1 mm increase | 1.03 (1.00–1.06) | 0.026 | ||
| MELD score at the last restaging | ||||
| +1 pt increase | 0.95 (0.89–1.02) | 0.19 | 0.98 (0.90–1.07) | 0.72 |
| Tumor classification at the last restaging | ||||
| T0 | Ref. | |||
| T1–T2 | 1.79 (0.89–3.59) | 0.10 | ||
| T3–T4 | 4.26 (1.83–9.96) | 0.0008 | ||
| Time to LT from the last restaging | ||||
| <2 months | Ref. | Ref. | ||
| ≥2 months | 1.25 (0.71–2.22) | 0.44 | 1.25 (0.66–2.38) | 0.50 |
| Intermediate Risk | P1 | High Risk | P1 | |||
|---|---|---|---|---|---|---|
| <2 months (N = 22) | ≥2 months (N = 41) | <2 months (N = 78) | ≥2 months (N = 81) | |||
| AFP at LT, median (IQR) | 12 (3–32) | 6 (4–12) | 0.24 | 9 (5–25) | 11 (4–39) | 0.43 |
| Number of nodules, median (IQR) | 2 (1–4) | 2 (1–3) | 0.73 | 2 (1–3) | 2 (1–4) | 0.32 |
| Diameter of the largest nodule, median (IQR) | 20 (15–28) | 26 (20–35) | 0.04 | 25 (15–30) | 25 (18–30) | 0.45 |
| Macrovascular invasion, N (%) | 0.49 | |||||
| No | 21 (100) | 36 (100) | 72 (96) | 72 (94) | ||
| Yes | 0 (0) | 0 (0) | 3 (4) | 5 (6) | ||
| Microvascular invasion, N (%) | 0.85 | 0.35 | ||||
| No | 16 (80) | 28 (78) | 50 (65) | 45 (58) | ||
| Yes | 4 (20) | 8 (22) | 27 (35) | 33 (42) | ||
| Grading, N (%) | 0.36 | 0.87 | ||||
| 0 | 1 (5) | 2 (5) | 5 (6) | 3 (4) | ||
| 1 | 4 (19) | 4 (10) | 5 (6) | 6 (7) | ||
| 2 | 14 (67) | 22 (57) | 38 (50) | 39 (49) | ||
| 3 | 2 (9) | 11 (28) | 29 (38) | 32 (40) | ||
© 2019 by the authors. Licensee MDPI, Basel, Switzerland. This article is an open access article distributed under the terms and conditions of the Creative Commons Attribution (CC BY) license (http://creativecommons.org/licenses/by/4.0/).
Share and Cite
Di Sandro, S.; Bagnardi, V.; Cucchetti, A.; Lauterio, A.; De Carlis, R.; Benuzzi, L.; Danieli, M.; Botta, F.; Centonze, L.; Najjar, M.; et al. From a Philosophical Framework to a Valid Prognostic Staging System of the New “Comprehensive Assessment” for Transplantable Hepatocellular Carcinoma. Cancers 2019, 11, 741. https://doi.org/10.3390/cancers11060741
Di Sandro S, Bagnardi V, Cucchetti A, Lauterio A, De Carlis R, Benuzzi L, Danieli M, Botta F, Centonze L, Najjar M, et al. From a Philosophical Framework to a Valid Prognostic Staging System of the New “Comprehensive Assessment” for Transplantable Hepatocellular Carcinoma. Cancers. 2019; 11(6):741. https://doi.org/10.3390/cancers11060741
Chicago/Turabian StyleDi Sandro, Stefano, Vincenzo Bagnardi, Alessandro Cucchetti, Andrea Lauterio, Riccardo De Carlis, Laura Benuzzi, Maria Danieli, Francesca Botta, Leonardo Centonze, Marc Najjar, and et al. 2019. "From a Philosophical Framework to a Valid Prognostic Staging System of the New “Comprehensive Assessment” for Transplantable Hepatocellular Carcinoma" Cancers 11, no. 6: 741. https://doi.org/10.3390/cancers11060741
APA StyleDi Sandro, S., Bagnardi, V., Cucchetti, A., Lauterio, A., De Carlis, R., Benuzzi, L., Danieli, M., Botta, F., Centonze, L., Najjar, M., & De Carlis, L. (2019). From a Philosophical Framework to a Valid Prognostic Staging System of the New “Comprehensive Assessment” for Transplantable Hepatocellular Carcinoma. Cancers, 11(6), 741. https://doi.org/10.3390/cancers11060741

