Study of the Influence of NanOx Parameters
Abstract
1. Introduction
2. Theoretical Framework
2.1. Local Lethal Events
2.2. Non-Local Events
2.3. Core and Penumbra Approximation
2.4. Model Parameters
3. Materials and Methods
3.1. Cell Lines and Standard Values of the Parameters
3.2. Outcomes
- the LQ parameter , which is extensively used both experimentally and theoretically to assess the effect of different radiation qualities;
- , the dose deposited to achieve 10% of cell survival, which is often used in clinical contexts;
- , the dose deposited to achieve 1% of cell survival, which is necessarily more sensitive to the shoulder effect than the previous endpoint.
3.3. Sensitive Volume,
3.4. Effective Lethal Function
3.5. Time of •OH Radical Diffusion,
3.6. Quadratic Coefficient for the Reference Radiation,
4. Results and Discussion
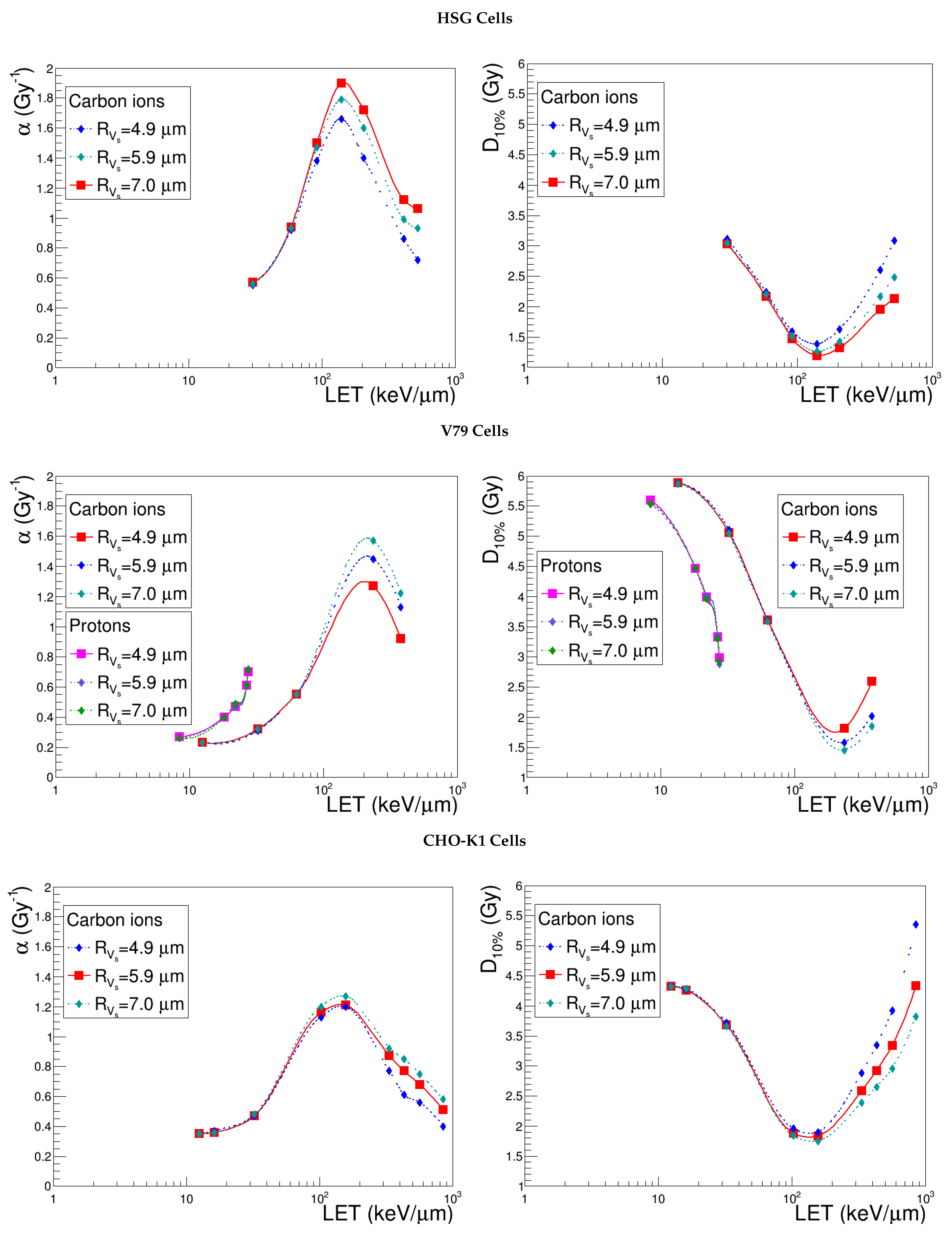
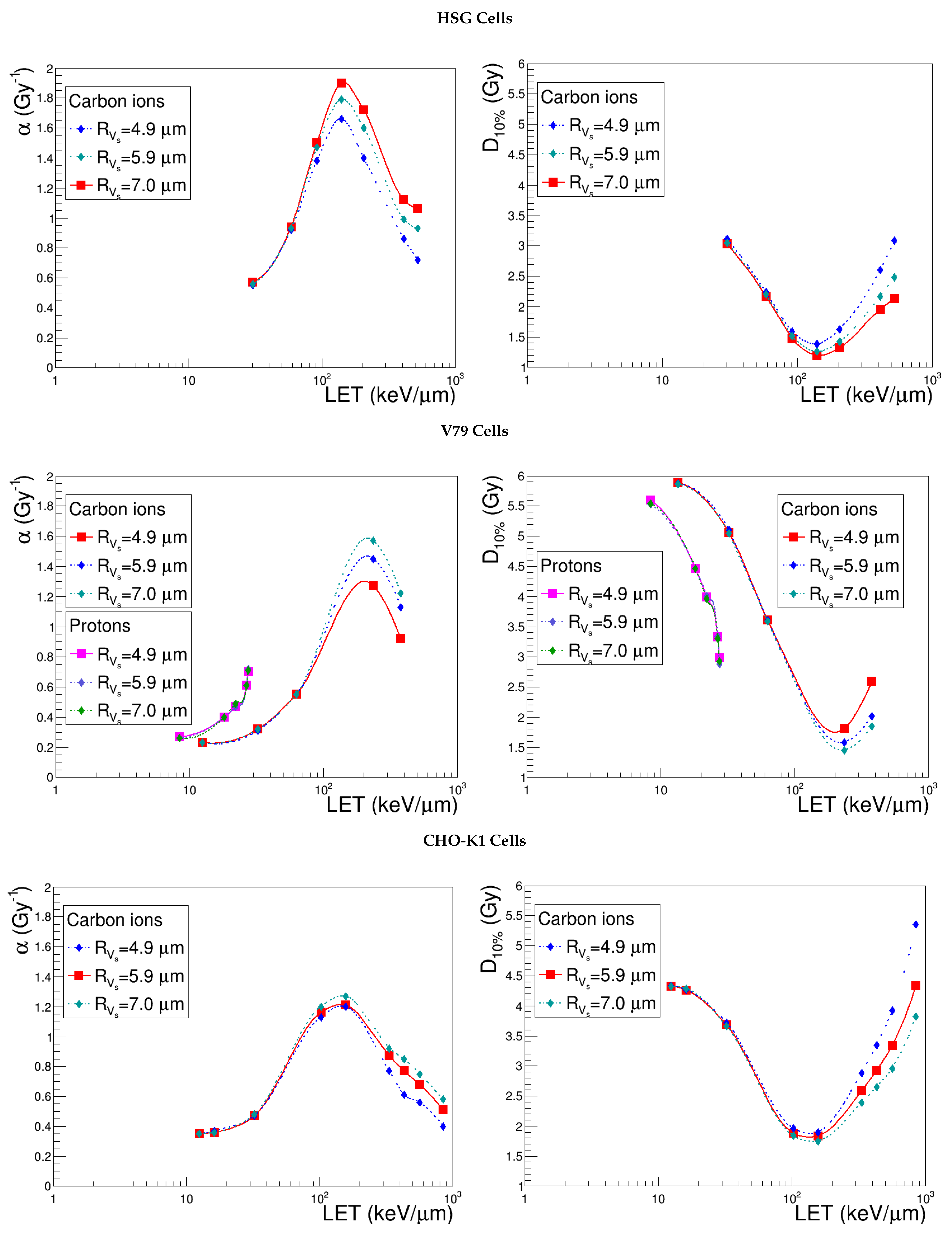
4.1. Sensitive Volume,
4.2. Effective Lethal Function
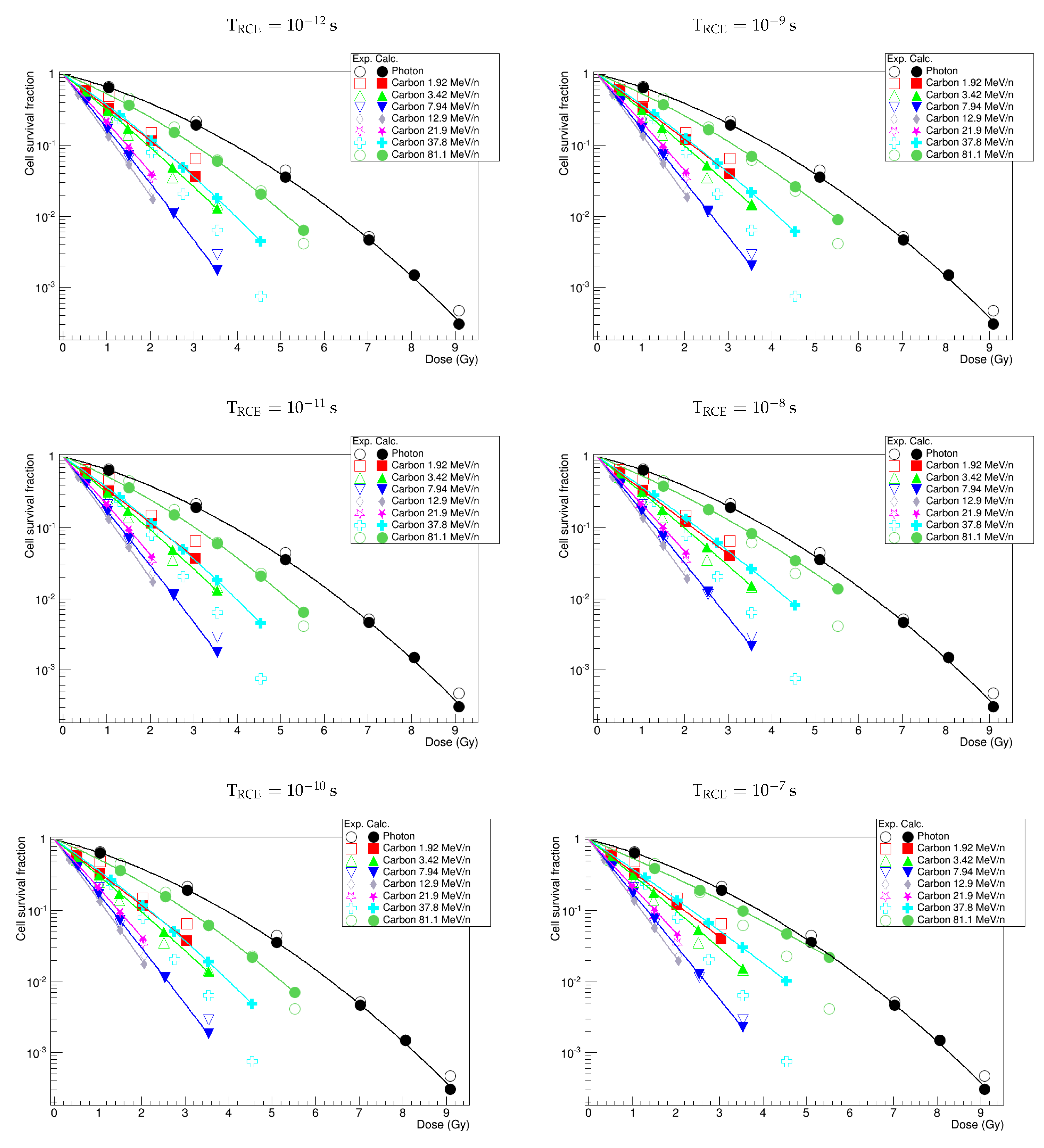
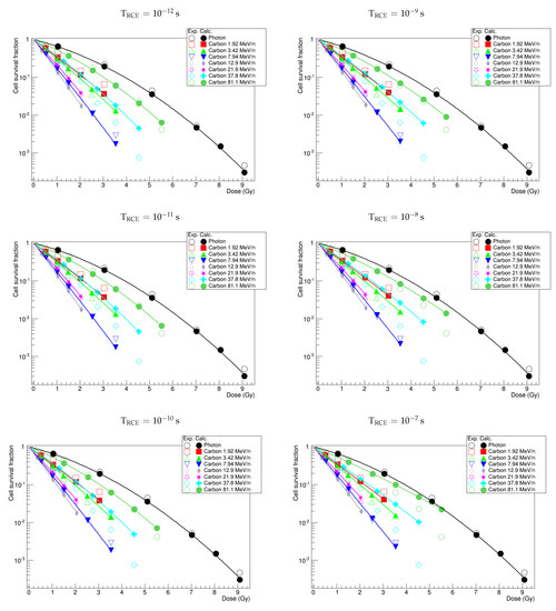
4.3. Time of •OH Radical Diffusion,
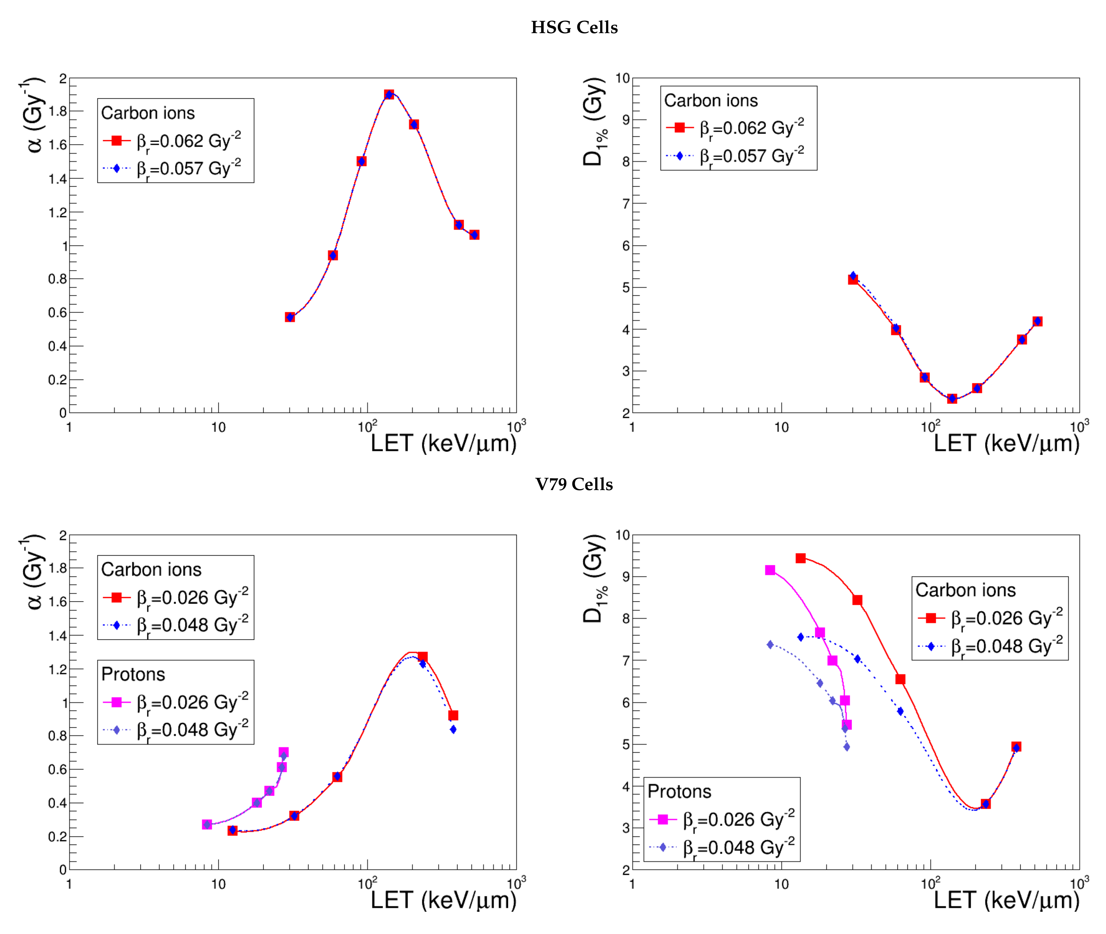
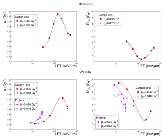
4.4. Quadratic Coefficient for the Reference Radiation,
4.5. Towards a Clinical Application
5. Conclusions
Acknowledgments
Author Contributions
Conflicts of Interest
References
- Wedenberg, M.; Lind, B.K.; Hardemark, B. A model for the relative biological effectiveness of protons: The tissue specific parameter α/β of photons is a predictor for the sensitivity to LET changes. Acta Oncol. 2013, 52, 580–588. [Google Scholar] [CrossRef] [PubMed]
- McNamara, A.L.; Schuemann, J.; Paganetti, H. A phenomenological relative biological effectiveness (RBE) model for proton therapy based on all published in vitro cell survival data. Phys. Med. Biol. 2015, 60, 8399–8416. [Google Scholar] [CrossRef] [PubMed]
- Carante, M.P.; Ballarini, F. Calculating Variations in Biological Effectiveness for a 62 MeV Proton Beam. Front. Oncol. 2016, 6, 76. [Google Scholar] [CrossRef] [PubMed]
- Krämer, M.; Scholz, M. Treatment planning for heavy-ion radiotherapy: Calculation and optimization of biologically effective dose. Phys. Med. Biol. 2000, 45, 3319–3330. [Google Scholar] [CrossRef]
- Krämer, M.; Scifoni, E.; Wälzlein, C.; Durante, M. Ion beams in radiotherapy—From tracks to treatment planning. J. Phys. 2012, 373, 12017. [Google Scholar] [CrossRef]
- Endo, M.; Koyama-Ito, H.; Minohara, S.I.; Miyahara, N.; Tomura, H.; Kanai, T.; Kawachi, K.; Tsujii, H.; Morita, K. HIPLAN—A Heavy Ion Treatment Planning System at HIMAC. J. JASTRO 1996, 8, 231–238. [Google Scholar]
- Inaniwa, T.; Furukawa, T.; Kase, Y.; Matsufuji, N.; Toshito, T.; Matsumoto, Y.; Furusawa, Y.; Noda, K. Treatment planning for a scanned carbon beam with a modified microdosimetric kinetic model. Phys. Med. Biol. 2010, 55, 6721–6737. [Google Scholar] [CrossRef] [PubMed]
- Beuve, M. Formalization and theoretical analysis of the Local Effect Model. J. Radiat. Res. 2009, 172, 394–402. [Google Scholar] [CrossRef] [PubMed]
- Russo, G.; Attili, A.; Bourhaleb, F. Analysis of the reliability of the local effect model for the use in carbon ion treatment planning systems. Radiat. Prot. Dosim. 2011, 143, 497–502. [Google Scholar] [CrossRef] [PubMed]
- Cunha, M.; Monini, C.; Testa, E.; Beuve, M. NanOx, a new model to predict cell survival in the context of particle therapy. Phys. Med. Biol. 2017, 62, 1248–1268. [Google Scholar] [CrossRef] [PubMed]
- Monini, C.; Testa, E.; Beuve, M. NanOx predictions of cell survival probabilities for three cell lines. Acta Phys. Pol. Ser. B 2017, 48, 1653. [Google Scholar] [CrossRef]
- Monini, C.; Testa, E.; Beuve, M. Positioning of NanOx among the biophysical models for hadron therapy. Radiat. Prot. Dosim. 2018. Under revision. [Google Scholar]
- Beuve, M.; Colliaux, A.; Dabli, D.; Dauvergne, D.; Gervais, B.; Montarou, G.; Testa, E. Statistical effects of dose deposition in track-structure modelling of radiobiology efficiency. Nucl. Instrum. Methods Phys. Res. Sect. B 2009, 267, 983–988. [Google Scholar] [CrossRef]
- Gervais, B.; Beuve, M.; Olivera, G.; Galassi, M.; Rivarola, R. Production of HO2 and O2 by multiple ionization in water radiolysis by swift carbon ions. Chem. Phys. Lett. 2005, 410, 330–334. [Google Scholar] [CrossRef]
- Ravanat, J.L.; Douki, T.; Cadet, J. Direct and indirect effects of UV radiation on DNA and its components. J. Photochem. Photobiol. B 2001, 63, 88–102. [Google Scholar] [CrossRef]
- Von Sonntag, C. Free-Radical-Induced DNA Damage and Its Repair; Springer: Berlin/Heidelberg, Germany, 2006. [Google Scholar]
- Gervais, B.; Beuve, M.; Olivera, G.; Galassid, M.E. Numerical simulation of multiple ionization and high LET effects in liquid water radiolysis. Radiat. Phys. Chem. 2006, 75, 493–513. [Google Scholar] [CrossRef]
- Colliaux, A.; Gervais, B.; Rodriguez-Lafrasse, C.; Beuve, M. Simulation of ion-induced water radiolysis in different conditions of oxygenation. Nucl. Instrum. Methods Phys. Res. Sect. B 2015, 365, 596–605. [Google Scholar] [CrossRef]
- Alpen, E.L. Radiation Biophysics; Academic Press: Berlin/Heidelberg, Germany, 1997. [Google Scholar]
- James, F. MINUIT Function Minimization and Error Analysis: Reference Manual Version 94.1; CERN: Geneva, Switzerland, 1994. [Google Scholar]
- Elsässer, T.; Scholz, M. Cluster effects within the Local Effect Model. J. Radiat. Res. 2007, 167, 319–329. [Google Scholar] [CrossRef] [PubMed]
- Schipler, A.; Iliakis, G. DNA double-strand—Break complexity levels and their possible contributions to the probability for error-prone processing and repair pathway choice. Nucleic Acids Res. 2013, 41, 7589–7605. [Google Scholar] [CrossRef] [PubMed]
- Nikjoo, H.; O’Neill, P.; Goodhead, D.T.; Terrissol, M. Computational modelling of low-energy electron-induced DNA damage by early physical and chemical events. Int. J. Radiat. Biol. 1997, 71, 467–483. [Google Scholar] [CrossRef] [PubMed]
- Kreipl, M.S.; Friedland, W.; Paretzke, H.G. Interaction of ion tracks in spatial and temporal proximity. Radiat. Environ. Biophys. 2009, 48, 349–359. [Google Scholar] [CrossRef] [PubMed]
- Furusawa, Y.; Fukutsu, K.; Aoki, M.; Itsukaichi, H.; Eguchi-Kasai, K.; Ohara, H.; Yatagai, F.; Kanai, T.; Ando, K. Inactivation of aerobic and hypoxic cells from three different cell lines by accelerated (3)He-, (12)C- and (20)Ne-ion beams. J. Radiat. Res. 2000, 154, 485–496. [Google Scholar] [CrossRef]
- Aoki-Nakano, M.; Furusawa, Y.; Uzawa, A.; Matsumoto, Y.; Hirayama, R.; Tsuruoka, C.; Ogino, T.; Nishio, T.; Kagawa, K.; Murakami, M.; et al. Relative biological effectiveness of therapeutic proton beams for HSG cells at Japanese proton therapy facilities. J. Radiat. Res. 2014, 55, 812–815. [Google Scholar] [CrossRef] [PubMed]
- Cox, R.; Thacker, J.; Goodhead, D.T. Inactivation and Mutation of Cultured Mammalian Cells by Aluminium Characteristic Ultrasoft X-rays: II. Dose-responses of Chinese Hamster and Human Diploid Cells to Aluminium X-rays and Radiations of Different LET. Int. J. Radiat. Biol. 1977, 31, 561–576. [Google Scholar] [CrossRef]
- Folkard, M.; Prise, K.; Voijnovic, B.; Newman, H.C.; Roper, M.J.; Michael, B.D. Inactivation of V79 cells by low-energy protons, deuterons and helium-3 ions. Int. J. Radiat. Biol. 1996, 69, 729–738. [Google Scholar] [CrossRef] [PubMed]
- Weyrather, W.; Ritter, S.; Scholz, M.; Kraft, G. RBE for carbon track-segment irradiation in cell lines of differing repair capacity. Int. J. Radiat. Biol. 1999, 75, 1357–1364. [Google Scholar] [PubMed]
- Hill, M.A.; Herdman, M.T.; Stevens, D.L.; Jones, N.J.; Thacker, J.; Goodhead, D.T. Relative Sensitivities of Repair-Deficient Mammalian Cells for Clonogenic Survival after α-Particle Irradiation. J. Radiat. Res. 2004, 162, 667–676. [Google Scholar] [CrossRef]
- Cunha, M.; Testa, E.; Beuve, M.; Balosso, J.; Chaikh, A. Considerations on the miniaturization of detectors for in vivo dosimetry in radiotherapy: A Monte Carlo study. Nucl. Instrum. Methods Phys. Res. B 2017, 399, 20–27. [Google Scholar] [CrossRef]










| Class | Parameters | Variations | Standard Values | Standard Values | Standard Values |
|---|---|---|---|---|---|
| Considered | for HSG Cells | for V79 Cells | for CHO-K1 Cells | ||
| Local/Global | () | ✓ | 7.0 | 4.9 | 5.9 |
| () | ✓ | 1.0 | 1.0 | 1.0 | |
| Local | (Gy) | ✓ | 15,654 | 22,789 | 14,507 |
| (Gy) | ✓ | 549 | 8117 | 2781 | |
| h | ✓ | 179,439 | 225,841 | 104,810 | |
| () | ✗ | 10 | |||
| () | ✗ | ||||
| Global | (Gy−2) | ✓ | 0.0961 | 0.0405 | 0.0625 |
| (Gy−1) | ✗ | 0 | |||
| (s) | ✓ | ||||
| Cell Line | Standard | Radius Var. 1 | Radius Var. 2 | Length Var. | Shape Var. | |||||
|---|---|---|---|---|---|---|---|---|---|---|
| R (m) | L (m) | R (m) | L (m) | R (m) | L (m) | R (m) | L (m) | R (m) | L (m) | |
| HSG | 7.0 | 1.0 | 5.9 | 1.0 | 4.9 | 1.0 | 7.0 | 7.0 | 4.9 | 2.1 |
| V79 | 4.9 | 1.0 | 5.9 | 1.0 | 7.0 | 1.0 | 4.9 | 4.9 | 7.0 | 0.5 |
| CHO-K1 | 5.9 | 1.0 | 4.9 | 1.0 | 7.0 | 1.0 | 5.9 | 5.9 | 7.0 | 0.7 |
| Cell Line | Standard Dataset | Minimal Dataset | ||
|---|---|---|---|---|
| Particle Type | Energies (MeV u−1) | Particle Type | Energies (MeV u−1) | |
| HSG | Photons | Photons | ||
| Helium ions | 2.9, 5.6, 8.4 | Carbon ions | 8.5, 39.1 | |
| Carbon ions | 2.3, 8.5, 21.4, 39.1, 82.6 | |||
| Neon ions | 17.2, 43.6, 84.4, 96.4 | |||
| V79 | Photons | Photons | ||
| Protons | 2.6, 7.7 | Carbon ions | 12, 28.4 | |
| Helium ions | 2.9, 9.2 | |||
| Carbon ions | 12, 28.4, 67.6, 190 | |||
| Neon ions | 23, 47.8, 105 | |||
| Argon ions | 17.3, 46.5, 170 | |||
| CHO-K1 | Photons | Photons | ||
| Carbon ions | 2.4, 4.8, 11, 35 | Carbon ions | 11, 35 | |
| Neon ions | 1.7, 11, 28.7, 58 | |||
| Oxygen ions | 11, 141.5, 360 | |||
| Cell Line | Standard Dataset, | Minimal Dataset | Relative |
|---|---|---|---|
| Output Parameters | Output Parameters | Variation (%) | |
| HSG | = 15,654 | = 14,858 | 5 |
| = 549 | = 1063 | 50 | |
| h = 179,439 | h = 165,283 | 8 | |
| V79 | = 22,789 | = 24,481 | 7 |
| = 8117 | = 10,135 | 25 | |
| h = 22,5841 | h = 22,3597 | 1 | |
| CHO-K1 | = 14,507 | = 14,191 | 2 |
| = 2781 | = 44 | 98 | |
| h = 104,810 | h = 107,548 | 3 |
| Cell Line | Standard (Gy−2), | Varied (Gy−2), | Relative |
|---|---|---|---|
| (Source) | (Source) | Difference (%) | |
| HSG | 0.0615 | 0.0565 | 8.5 |
| [25] | [26] | ||
| V79 | 0.0259 | 0.0480 | 85.3 |
| [27] | [28] | ||
| CHO-K1 | 0.0200 × 2 | 0.0350 | 12.5 |
| [29] | [30] |
© 2018 by the authors. Licensee MDPI, Basel, Switzerland. This article is an open access article distributed under the terms and conditions of the Creative Commons Attribution (CC BY) license (http://creativecommons.org/licenses/by/4.0/).
Share and Cite
Monini, C.; Cunha, M.; Testa, E.; Beuve, M. Study of the Influence of NanOx Parameters. Cancers 2018, 10, 87. https://doi.org/10.3390/cancers10040087
Monini C, Cunha M, Testa E, Beuve M. Study of the Influence of NanOx Parameters. Cancers. 2018; 10(4):87. https://doi.org/10.3390/cancers10040087
Chicago/Turabian StyleMonini, Caterina, Micaela Cunha, Etienne Testa, and Michaёl Beuve. 2018. "Study of the Influence of NanOx Parameters" Cancers 10, no. 4: 87. https://doi.org/10.3390/cancers10040087
APA StyleMonini, C., Cunha, M., Testa, E., & Beuve, M. (2018). Study of the Influence of NanOx Parameters. Cancers, 10(4), 87. https://doi.org/10.3390/cancers10040087
