Design of N-Way Power Divider Based on TE10 Mode Splitting Strategy
Abstract
1. Introduction
2. Methods
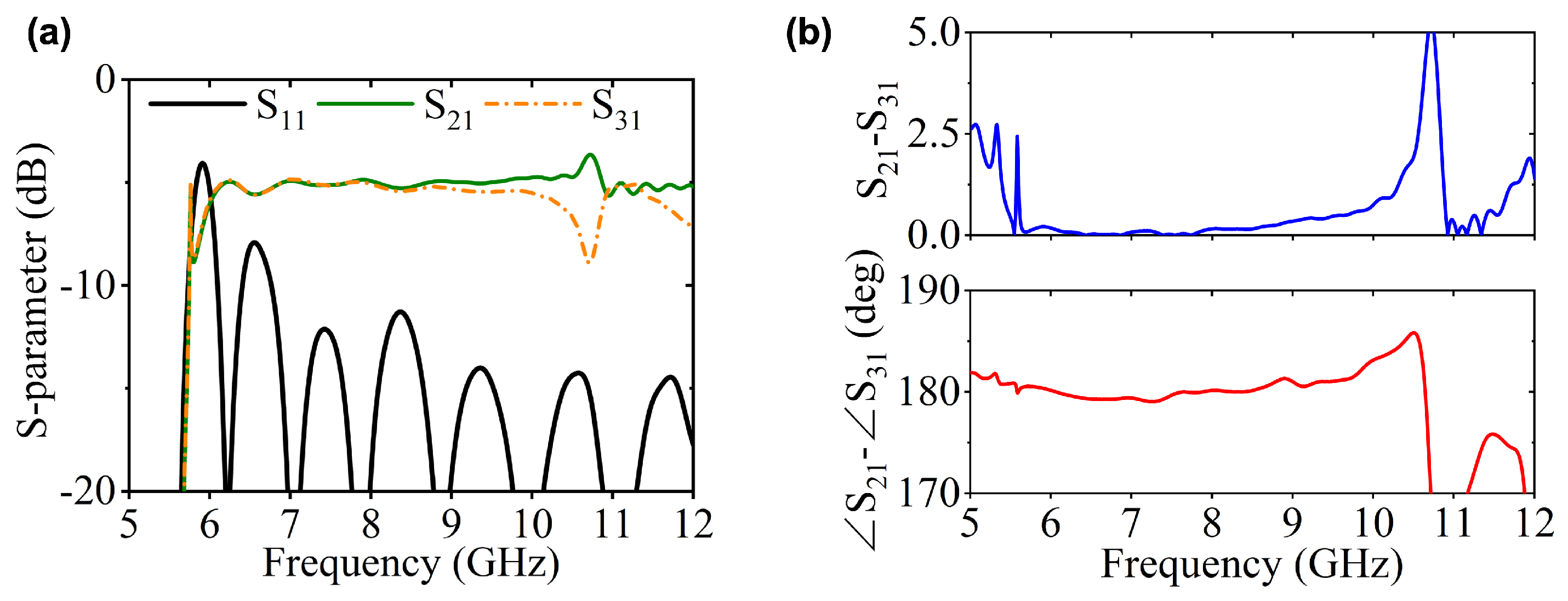
3. Results
4. Conclusions
Author Contributions
Funding
Data Availability Statement
Conflicts of Interest
References
- Li, Y.; Ge, L.; Wang, J.; Ai, B.; Chen, M.; Zhang, Z.; Li, Z. A Ka-band 3-D-printed wideband stepped waveguide-fed magnetoelectric dipole antenna array. IEEE Trans. Antennas Propag. 2020, 68, 2724–2735. [Google Scholar]
- Jin, J.-D.; Hsu, S.S.H. A 1-V 45-GHz balanced amplifier with 21.5-dB gain using 0.18-μm CMOS technology. IEEE Trans. Microw. Theory Tech. 2008, 56, 599–603. [Google Scholar]
- Malo-Gomez, I.; Gallego-Puyol, J.D.; Diez-Gonzalez, C.; Lopez-Fernandez, I.; Briso-Rodriguez, C. Cryogenic hybrid coupler for ultra-low-noise radio astronomy balanced amplifiers. IEEE Trans. Microw. Theory Tech. 2009, 57, 3239–3245. [Google Scholar] [CrossRef]
- Wilkinson, E.J. An N-way hybrid power divider. IRE Trans. Microw. Theory Tech. 1960, MTT-8, 116–118. [Google Scholar] [CrossRef]
- Gysel, U.H. A new N-way power divider/combiner suitable for high-power applications. In Proceedings of the 1975 IEEE-MTT-S International Microwave Symposium, Palo Alto, CA, USA, 12–14 May 1975; pp. 116–118. [Google Scholar]
- Kazemi, R.; Fathy, A.E.; Sadeghzadeh, R.A. Dielectric Rod Antenna Array With Substrate Integrated Waveguide Planar Feed Network for Wideband Applications. IEEE Trans. Antennas Propag. 2012, 60, 1312–1319. [Google Scholar] [CrossRef]
- Kazemi, R.; Fathy, A.E. UWB 4-Element Ridge-SIW Vivaldi Antenna Array. In Proceedings of the 2014 IEEE Antennas and Propagation Society International Symposium (APSURSI), Memphis, TN, USA, 6–11 July 2014; pp. 1039–1040. [Google Scholar]
- Fantauzzi, S.; Valletti, L.; Bertolami, S.; Di Paolo, F. Waveguide-to-Microstrip Nonbinary Power Dividers. IEEE Microw. Wirel. Technol. Lett. 2012, 34, 375–378. [Google Scholar] [CrossRef]
- Biao, S.; Chao, S.; Jiang, W.H.; Gui, W.L.; Yong, W. Design of Broadband High Power Amplifier Based on Odd Equal Power. In Proceedings of the 2021 International Applied Computational Electromagnetics Society (ACES-China) Symposium, Chengdu, China, 28–31 July 2021; pp. 1–2. [Google Scholar]
- Huang, Y.X.; Yan, Y.X.; Yang, Y.J.; Chen, J.X. Broadband Low-Loss Four-Way Power Divider Using Composite Cavity. IEEE Microw. Wirel. Technol. Lett. 2024, 34, 595–598. [Google Scholar] [CrossRef]
- Song, K.; Li, Q.; Zou, X.; Fan, Y. Substrate Integrated Waveguide Radial Sixteen-Way Power Divider. IEEE Trans. Circuits Syst. II Exp. Briefs 2023, 70, 650–654. [Google Scholar] [CrossRef]
- Liu, Y.; Sun, S.; Zhu, L. Design of N-Way Wideband Filtering Power Dividers with Good Port-Port Isolation. IEEE Trans. Microw. Theory Tech. 2021, 69, 3298–3306. [Google Scholar] [CrossRef]
- Neininger, P.; Zink, M.; John, L.; Friesicke, C.; Tessmann, A.; Quay, R.; Zwick, T. 16-Way Ka-Band Power Combiner Using Novel Waveguide Transitions. IEEE Trans. Microw. Theory Tech. 2022, 70, 3074–3086. [Google Scholar] [CrossRef]
- Chen, J.; Yuan, W.; Tang, W.X.; Wang, L.; Cheng, Q.; Cui, T.J. Millimeter-Wave LTSA Array Fed by High-Order Modes With a Low Cross-Polarization Level and Relaxed Fabrication Tolerance. IEEE Trans. Antennas Propag. 2021, 69, 8335–8344. [Google Scholar] [CrossRef]
- Zhang, Y.X.; Jiao, Y.C.; Zhang, L.; Wen, J.X. Wideband 2-D Monopulse Antenna Array With Higher-Order Mode Substrate Integrated Waveguide Feeding and 3-D Printed Packaging. IEEE Trans. Antennas Propag. 2020, 68, 3259–3264. [Google Scholar] [CrossRef]
- Chen, J.; Cheng, Q.; Yuan, W.; Wang, L.; Tang, W.X.; Wang, L.; Cui, T.J. Generation of High-Order Waveguide Modes With Reduced Symmetric Protection. Phys. Rev. Appl. 2020, 14, 024040. [Google Scholar] [CrossRef]
- Matsumoto, S.; Ohta, I.; Fukada, K.; Kawai, T.; Iio, K.I.; Kashiwa, T. A TE10-TE20 Mode Transducer Utilizing a Right-Angled Corner and Its Application to a Compact H-Plane Out-of-Phase Power Divider. In Proceedings of the 2009 Asia Pacific Microwave Conference, Singapore, 7–10 December 2009; pp. 1008–1011. [Google Scholar]
- Ikeuchi, H.; Matsumoto, S.; Kawai, T.; Ohta, I. A Novel TE10-TE20 Mode Transducer Utilizing Vertical Cross-Excitation. In Proceedings of the 2010 IEEE MTT-S International Microwave Symposium, Anaheim, CA, USA, 23–28 May 2010; pp. 1564–1567. [Google Scholar]
- Kirilenko, A.A.; Rud, L.A.; Tkachenko, V.I. Nonsymmetrical H-Plane Corners for TE10-TEq0 Mode Conversion in Rectangular Waveguides. IEEE Trans. Microw. Theory Tech. 2006, 54, 2471–2477. [Google Scholar] [CrossRef]
- Zhou, Z.; Li, Y. N-Port Equal/Unequal-Split Power Dividers Using Epsilon-Near-Zero Metamaterials. IEEE Trans. Microw. Theory Tech. 2021, 69, 1529–1537. [Google Scholar] [CrossRef]
- Deng, J.; Zhao, X.; Luo, W.; Bai, X.; Xu, L.; Jiang, H. Microwave Detection Technique Combined With Deep Learning Algorithm Facilitates Quantitative Analysis of Heavy Metal Pb Residues in Edible Oils. J. Food Sci. 2024, 89, 6005–6015. [Google Scholar] [CrossRef] [PubMed]
- Xu, L.; Chen, Z.; Bai, X.; Deng, J.; Zhao, X.; Jiang, H. Determination of Aflatoxin B1 in Peanuts Based on Millimetre Wave. Food Chem. 2025, 464, 141867. [Google Scholar] [CrossRef] [PubMed]
- Deng, J.; Ni, L.; Bai, X.; Jiang, H.; Xu, L. Simultaneous Analysis of Mildew Degree and Aflatoxin B1 of Wheat by a Multi-Task Deep Learning Strategy Based on Microwave Detection Technology. LWT 2023, 184, 115047. [Google Scholar] [CrossRef]
- Kraus, J.D.; Marhefka, R.J. Antennas for All Applications, 3rd ed.; McGraw-Hill: New York, NY, USA, 2002. [Google Scholar]










Disclaimer/Publisher’s Note: The statements, opinions and data contained in all publications are solely those of the individual author(s) and contributor(s) and not of MDPI and/or the editor(s). MDPI and/or the editor(s) disclaim responsibility for any injury to people or property resulting from any ideas, methods, instructions or products referred to in the content. |
© 2025 by the authors. Licensee MDPI, Basel, Switzerland. This article is an open access article distributed under the terms and conditions of the Creative Commons Attribution (CC BY) license (https://creativecommons.org/licenses/by/4.0/).
Share and Cite
Chen, J.; Tang, H.; Zhang, S.; Xu, L. Design of N-Way Power Divider Based on TE10 Mode Splitting Strategy. Micromachines 2025, 16, 1033. https://doi.org/10.3390/mi16091033
Chen J, Tang H, Zhang S, Xu L. Design of N-Way Power Divider Based on TE10 Mode Splitting Strategy. Micromachines. 2025; 16(9):1033. https://doi.org/10.3390/mi16091033
Chicago/Turabian StyleChen, Jianfeng, Haidi Tang, Shengqi Zhang, and Leijun Xu. 2025. "Design of N-Way Power Divider Based on TE10 Mode Splitting Strategy" Micromachines 16, no. 9: 1033. https://doi.org/10.3390/mi16091033
APA StyleChen, J., Tang, H., Zhang, S., & Xu, L. (2025). Design of N-Way Power Divider Based on TE10 Mode Splitting Strategy. Micromachines, 16(9), 1033. https://doi.org/10.3390/mi16091033

