An Overview on Formation of Radiation-Induced Interface Traps in Silicon-Based Devices
Abstract
1. Introduction
2. Formation Mechanisms of Interface Traps
2.1. Hole Trapping and Recombination Model
2.2. Hydrogen Models
2.2.1. Two-Stage Model
2.2.2. Hydrogen Diffusion Model
2.2.3. H2 Cracking Mechanism
3. Properties of Interface Traps
3.1. Types of Interface Traps
3.1.1. Classification According to Physical Position and Energy Distribution
3.1.2. Classification According to Defect Structure
3.2. Electrical Properties
3.3. Influence of Interface Trap Properties on Device Performance
3.3.1. Influence of Interface Trap Concentration
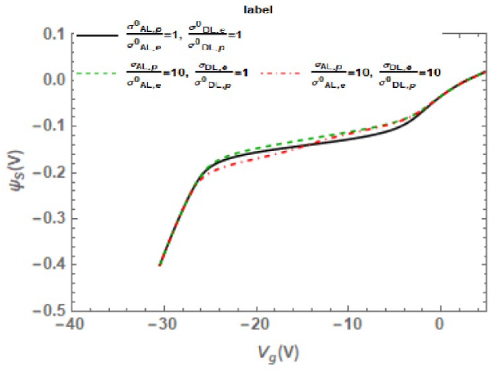
3.3.2. Influence of Interface Trap Energy Levels and Capture Cross-Sections
3.3.3. Influence of Interface Trap Charge State
4. Influencing Factors of Interface Trap Formation
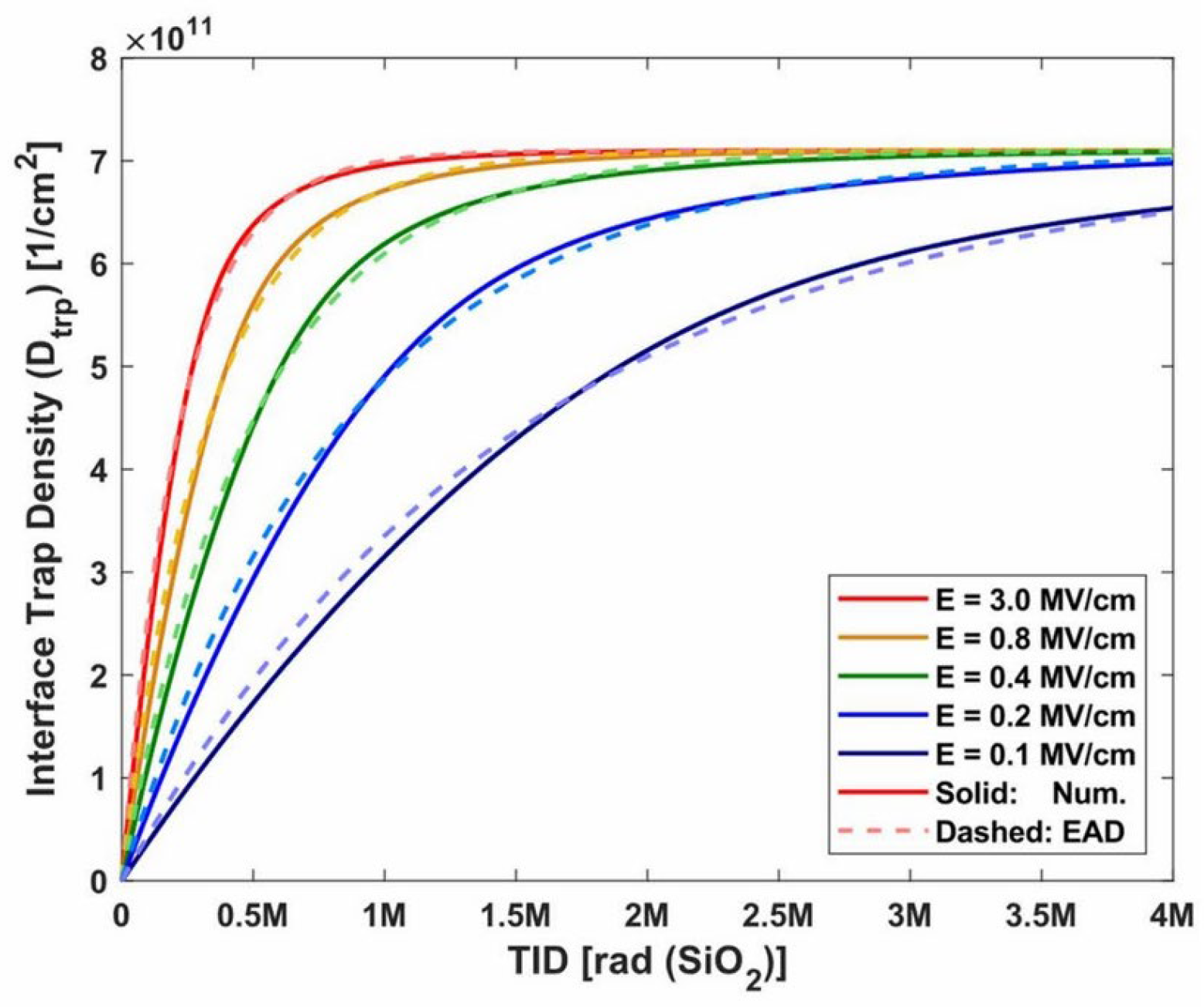
4.1. Electric Field/Bias
4.2. H2 Concentration
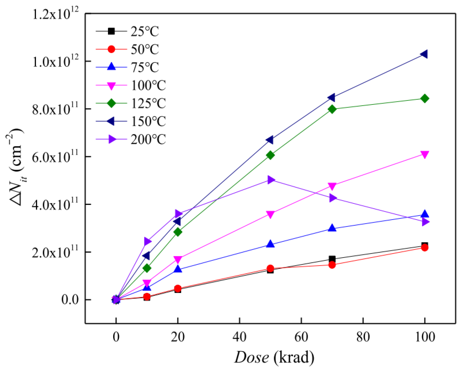
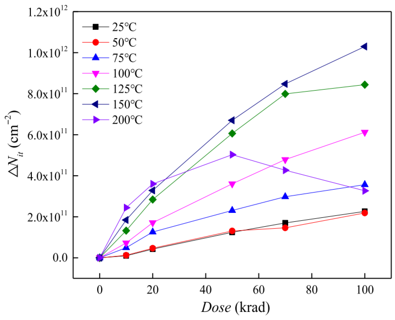
4.3. Temperature
5. Challenges and Future Outlook
- (1)
- The main types of interface defects have been identified, but there is still no definite conclusion on the degree to which different types of interface defects affect the performance of silicon-based devices, for example, the role played by donor- and acceptor-type interface traps in device performance degradation.
- (2)
- The energy levels of interface defects are different, and they also have different capture cross-sections for electrons/holes, which will affect carrier recombination rate and thus the electrical performance of the devices. Therefore, it is necessary to conduct further microscopic research on the electrical properties of interface traps.
- (3)
- Devices with different structures exhibit different variation curves of interface traps under environments such as temperature and electric field. It is necessary to study the mechanisms causing these phenomena.
- (4)
- It needs more study on the properties of near-interface traps, and their impacts on the electrical performance of devices.
Author Contributions
Funding
Data Availability Statement
Conflicts of Interest
References
- Fleetwood, D.M.; Kosier, S.L.; Nowlin, R.N.; Schrimpf, R.D.; Reber, R.A., Jr.; DeLaus, M.; Winokur, P.S.; Wei, A.; Combs, W.E.; Pease, R.L. Physical mechanisms contributing to enhanced bipolar gain degradation at low dose rates. IEEE Trans. Nucl. Sci. 1994, 41, 1871–1883. [Google Scholar] [CrossRef]
- Freitag, R.K.; Brown, D.B. Study of low-dose-rate effects on commercial linear bipolar ICs. IEEE Trans. Nucl. Sci. 1998, 45, 2649–2658. [Google Scholar] [CrossRef]
- Hjalmarson, H.P.; Pease, R.L.; Witczak, S.C.; Shaneyfelt, M.R.; Schwank, J.R.; Edwards, A.; Hembree, C.E.; Mattsson, T.R. Mechanisms for radiation dose-rate sensitivity of bipolar transistors. IEEE Trans. Nucl. Sci. 2003, 50, 1901–1909. [Google Scholar] [CrossRef]
- Boch, J.; Saigne, F.; Dusseau, L.; Schrimpf, R.D. Temperature effect on geminate recombination. Appl. Phys. Lett. 2006, 89, 042108. [Google Scholar] [CrossRef]
- Johnston, A.H. Radiation effects in advanced microelectronics technologies. IEEE Trans. Nucl. Sci. 1998, 45, 1339–1354. [Google Scholar] [CrossRef]
- Schmidt, D.M.; Fleetwood, D.M.; Schrimpf, R.D.; Pease, R.L.; Graves, R.J.; Johnson, G.H. Comparison of ionizing-radiation-induced gain degradation in lateral, substrate, and vertical PNP BJTs. IEEE Trans. Nucl. Sci. 1995, 42, 1541–1549. [Google Scholar] [CrossRef]
- Kosier, S.L.; Wei, A.; Schrimpf, R.D.; Fleetwood, D.M.; DeLaus, M.D.; Pease, R.L.; Combs, W.E. Physically based comparison of hot-carrier-induced and ionizing-radiation-induced degradation in BJTs. IEEE Trans. Electron Devices 1995, 42, 436–444. [Google Scholar] [CrossRef]
- Powell, R.J.; Derbenwick, G.F. Vacuum ultraviolet radiation effects in SiO2. IEEE Trans. Nucl. Sci. 1971, 18, 99–105. [Google Scholar] [CrossRef]
- McGarrity, J.M.; Winokur, P.S.; Boesch, H.E., Jr.; McLean, F.B. INTERFACE STATES RESULTING FROM A HOLE FLUX INCIDENT ON ON THE SiO2/Si INTERFACE. In The Physics of SiO2 and its Interfaces; Pergamon: Oxford, UK, 1978; pp. 428–432. [Google Scholar]
- Winokur, P.S.; McGarrity, J.M.; Boesch, H.E., Jr. Dependence of Interface-State Buildup on Hole Generation and Transport in Irradiated MOS Capacitors; HarrLabs.: Adelphi, MD, USA, 1976. [Google Scholar]
- Hu, G.; Johnson, W.C. Relationship between trapped holes and interface states in MOS capacitors. Appl. Phys. Lett. 1980, 36, 590–592. [Google Scholar] [CrossRef]
- Grunthaner, F.J.; Lewis, B.F.; Zamini, N.; Zamini, N.; Maserjian, J.; Madhukar, A. XPS studies of structure-induced radiation effects at the Si/SiO2 interface. IEEE Trans. Nucl. Sci. 1980, 27, 1640–1646. [Google Scholar] [CrossRef]
- Grunthaner, F.J.; Grunthaner, P.J.; Maserjian, J. Radiation-induced defects in SiO2 as determined with XPS. IEEE Trans. Nucl. Sci. 1982, 29, 1462–1466. [Google Scholar] [CrossRef]
- Grunthaner, F.J.; Grunthaner, P.J. Chemical and electronic structure of the SiO2/Si interface. Mater. Sci. Rep. 1986, 1, 65–160. [Google Scholar] [CrossRef]
- Lai, S.K. Interface trap generation in silicon dioxide when electrons are captured by trapped holes. J. Appl. Phys. 1983, 54, 2540–2546. [Google Scholar] [CrossRef]
- Chang, S.T.; Lyon, S.A. Location of positive charge trapped near the Si-SiO2 interface at low temperature. Appl. Phys. Lett. 1986, 48, 136–138. [Google Scholar] [CrossRef]
- Wang, S.J.; Sung, J.M.; Lyon, S.A. Relationship between hole trapping and interface state generation in metal-oxide-silicon structures. Appl. Phys. Lett. 1988, 52, 1431–1433. [Google Scholar] [CrossRef]
- DiMaria, D.J.; Buchanan, D.A.; Stathis, J.H.; Stahlbush, R.E. Interface states induced by the presence of trapped holes near the silicon–silicon-dioxide interface. J. Appl. Phys. 1995, 77, 2032–2040. [Google Scholar] [CrossRef]
- Chen, X.J.; Barnaby, H.J.; Vermeire, B.; Holbert, K.; Wright, D.; Pease, R.L.; Adell, P. Mechanisms of enhanced radiation-induced degradation due to excess molecular hydrogen in bipolar oxides. IEEE Trans. Nucl. Sci. 2007, 54, 1913–1919. [Google Scholar] [CrossRef]
- Svensson, C.M. THE DEFECT STRUCTURE OF THE Si-SiO2 INTERFACE, A MODEL BASED ON TRIVALENT SILICON AND ITS HYDROGEN “COMPOUNDS”. In The Physics of SiO2 and Its Interfaces; Pergamon: Oxford, UK, 1978; pp. 328–332. [Google Scholar]
- Winokur, P.S.; Boesch, H.E.; McGarrity, J.M.; McLean, F.B. Two-stage process for buildup of radiation-induced interface states. J. Appl. Phys. 1979, 50, 3492–3494. [Google Scholar] [CrossRef]
- McLean, F.B. A framework for understanding radiation-induced interface states in SiO2 MOS structures. IEEE Trans. Nucl. Sci. 1980, 27, 1651–1657. [Google Scholar] [CrossRef]
- Griscom, D.L.; Brown, D.B.; Saks, N.S. The Physics and Chemistty of SiO2 and the Si-SiO2 Interface; Helms, C., Deal, B., Eds.; Plenum Press: New York, NY, USA, 1988; pp. 287–298. [Google Scholar]
- Saks, N.S.; Brown, D.B. Interface trap formation via the two-stage H+ process. IEEE Trans. Nucl. Sci. 1989, 36, 1848–1857. [Google Scholar] [CrossRef]
- Chatzikyriakou, E.; Potter, K.; de Groot, C.H. A systematic method for simulating total ionizing dose effects using the finite elements method. J. Comput. Electron. 2017, 16, 548–555. [Google Scholar] [CrossRef]
- Schwank, J.R. Basic Mechanisms of Radiation Effects in the Natural Space Radiation Environment; Sandia National Labs.: Albuquerque, NM, USA, 1994. [Google Scholar]
- Shaneyfelt, M.R.; Schwank, J.R.; Fleetwood, D.M.; Winokur, P.S.; Hughes, K.L.; Sexton, F.W. Field dependence of interface-trap buildup in polysilicon and metal gate MOS devices. IEEE Trans. Nucl. Sci. 1990, 37, 1632–1640. [Google Scholar] [CrossRef]
- Rashkeev, S.N.; Fleetwood, D.M.; Schrimpf, R.D.; Pantelides, S.T. Defect generation by hydrogen at the Si-SiO2 interface. Phys. Rev. Lett. 2001, 87, 165506. [Google Scholar] [CrossRef]
- Rashkeev, S.N.; Fleetwood, D.M.; Schrimpf, R.D.; Pantelides, S.T. Proton-induced defect generation at the Si-SiO2 interface. IEEE Trans. Nucl. Sci. 2001, 48, 2086–2092. [Google Scholar] [CrossRef]
- Griscom, D.L. Diffusion of radiolytic molecular hydrogen as a mechanism for the post-irradiation buildup of interface states in SiO2-on-Si structures. J. Appl. Phys. 1985, 58, 2524–2533. [Google Scholar] [CrossRef]
- Conley, J.F.; Lenahan, P.M. Molecular hydrogen, E’center hole traps, and radiation induced interface traps in MOS devices. IEEE Trans. Nucl. Sci. 1993, 40, 1335–1340. [Google Scholar] [CrossRef]
- Kohler, R.A.; Kushner, R.A.; Lee, K.H. Total dose radiation hardness of MOS devices in hermetic ceramic packages. IEEE Trans. Nucl. Sci. 1988, 35, 1492–1496. [Google Scholar] [CrossRef]
- Schwank, J.R.; Fleetwood, D.M.; Shaneyfelt, M.R.; Winokur, P.S.; Axness, C.L.; Riewe, L.C. Latent interface-trap buildup and its implications for hardness assurance (MOS transistors). IEEE Trans. Nucl. Sci. 1992, 39, 1953–1963. [Google Scholar] [CrossRef]
- Pease, R.L.; Dunham, G.W.; Seiler, J.E.; Platteter, D.G.; McClure, S.S. Total dose and dose rate response of an AD590 temperature transducer. IEEE Trans. Nucl. Sci. 2007, 54, 1049–1054. [Google Scholar] [CrossRef]
- Stahlbush, R.E.; Edwards, A.H.; Griscom, D.L.; Mrstik, B.J. Post-irradiation cracking of H2 and formation of interface states in irradiated metal-oxide-semiconductor field-effect transistors. J. Appl. Phys. 1993, 73, 658–667. [Google Scholar] [CrossRef]
- Batyrev, I.G.; Hughart, D.; Durand, R.; Bounasser, M.; Tuttle, B.R.; Fleetwood, D.M.; Schrimpf, R.D.; Rashkeev, S.N.; Dunham, G.W.; Law, M.; et al. Effects of hydrogen on the radiation response of bipolar transistors: Experiment and modeling. IEEE Trans. Nucl. Sci. 2008, 55, 3039–3045. [Google Scholar] [CrossRef]
- Esqueda, I.S.; Barnaby, H.J.; Adell, P.C. Modeling the effects of hydrogen on the mechanisms of dose rate sensitivity. IEEE Trans. Nucl. Sci. 2012, 59, 701–706. [Google Scholar] [CrossRef]
- Vitiello, M.; Lopez, N.; Illas, F.; Lopez, N.; Illas, F.; Pacchioni, G. H2 cracking at SiO2 defect centers. J. Phys. Chem. A 2000, 104, 4674–4684. [Google Scholar] [CrossRef]
- Fleetwood, D.M.; Schrimpf, R.D.; Pantelides, S.T.; Pease, R.L.; Dunham, G.W. Electron capture, hydrogen release, and enhanced gain degradation in linear bipolar devices. IEEE Trans. Nucl. Sci. 2008, 55, 2986–2991. [Google Scholar] [CrossRef]
- Kotz, J.C.; Treichel, J.P.T. Chemistry & Chemical Reactivity; Saunders College Publishing: Philadelphia, PA, USA, 1999. [Google Scholar]
- Chen, X.J.; Barnaby, H.J.; Adell, P.; Pease, R.L.; Vermeire, B.; Holbert, K.E. Modeling the dose rate response and the effects of hydrogen in bipolar technologies. IEEE Trans. Nucl. Sci. 2009, 56, 3196–3202. [Google Scholar] [CrossRef]
- Pease, R.L.; Adell, P.C.; Rax, B.G.; Chen, X.J.; Barnaby, H.J.; Holbert, K.E.; Hjalmarson, H.P. The effects of hydrogen on the enhanced low dose rate sensitivity (ELDRS) of bipolar linear circuits. IEEE Trans. Nucl. Sci. 2008, 55, 3169–3173. [Google Scholar] [CrossRef]
- Tuttle, B.R.; Hughart, D.R.; Schrimpf, R.D.; Fleetwood, D.M.; Pantelides, S.T. Defect Interactions of H2 in SiO2: Implications for ELDRS and Latent Interface Trap Buildup. IEEE Trans. Nucl. Sci. 2010, 57, 3046–3053. [Google Scholar]
- Liu, Y.; Zhang, G.; Zhou, H.; Zuo, X.; Song, Y.; Zhang, Y. Modeling the ELDRS effects in hydrogen-rich a-SiO2 of a specific designed GLPNP bipolar transistor. Eur. Phys. J. Plus 2021, 136, 613. [Google Scholar] [CrossRef]
- Rowsey, N.L.; Law, M.E.; Schrimpf, R.D.; Fleetwood, D.M.; Tuttle, B.R.; Pantelides, S.T. A Quantitative Model for ELDRS and H2 Degradation Effects in Irradiated Oxides Based on First Principles Calculations. IEEE Trans. Nucl. Sci. 2011, 58, 2937–2944. [Google Scholar] [CrossRef]
- Adell, P. Hydrogen Contamination and Its Correlation with Enhanced Low-Dose-Rate Sensitivity. Available online: https://nepp.nasa.gov/files/25742/12_162_JPL_Adell_Hydrogen%20Contamination%20rec%201%207%2014.pdf (accessed on 1 December 2012).
- Gerardi, G.J.; Poindexter, E.H.; Caplan, P.J.; Johnson, N.M. Interface traps and Pb centers in oxidized (100) silicon wafers. Appl. Phys. Lett. 1986, 49, 348–350. [Google Scholar] [CrossRef]
- Zhang, C.-M.; Jazaeri, F.; Borghello, G.; Mattiazzo, S.; Baschirotto, A.; Enz, C. A generalized EKV charge-based MOSFET model including oxide and interface traps. Solid-State Electron. 2021, 177, 107951. [Google Scholar] [CrossRef]
- Sah, C.T.; Sun, J.Y.C.; Tzou, J.J.T. Generation-annealing kinetics of the interface donor states at 0.25 eV above the midgap and the turn-around phenomena on oxidized silicon during avalanche electron injection. J. Appl. Phys. 1983, 54, 2547–2555. [Google Scholar] [CrossRef]
- Lenahan, P.M.; Dressendorfer, P.V. Hole traps and trivalent silicon centers in MOS devices. J. Appl. Phys. 1984, 55, 3495–3499. [Google Scholar] [CrossRef]
- Poindexter, E.H.; Gerardi, G.J.; Rueckel, M.-E.; Caplan, P.J.; Johnson, N.M.; Biegelsen, D.K. Electronic traps and Pb centers at the Si/SiO2 interface: Band-gap energy distribution. J. Appl. Phys. 1984, 56, 2844–2849. [Google Scholar] [CrossRef]
- Fleetwood, D.M. Long-term annealing study of midgap interface-trap charge neutrality. Appl. Phys. Lett. 1992, 60, 2883–2885. [Google Scholar] [CrossRef]
- Fleetwood, D.M. Effects of bias and temperature on interface-trap annealing in MOS and linear bipolar devices. IEEE Trans. Nucl. Sci. 2022, 69, 587–608. [Google Scholar] [CrossRef]
- Hong, Z.; Xu, Z. Amorphous SiO2/Si Interface Defects and Mechanism of Passivation/Depassivation Reaction. J. Syst. Simul. 2020, 32, 2362–2375. [Google Scholar]
- Yang, Y.; Chen, D.; Li, D.; Zhao, T.; Zhang, W.; Qiao, W.; Liang, Y.; Yang, Y. Research on the Evolution of Defects Initiation and the Diffusion of Dopant on the Si/SiO2 Interface. Adv. Mater. Interfaces 2025, 12, 2400751. [Google Scholar] [CrossRef]
- Ball, D.R.; Schrimpf, R.D.; Barnaby, H.J. Separation of ionization and displacement damage using gate-controlled lateral PNP bipolar transistors. IEEE Trans. Nucl. Sci. 2002, 49, 3185–3190. [Google Scholar] [CrossRef]
- McWhorter, P.J.; Winokur, P.S.; Pastorek, R.A. Donor/acceptor nature of radiation-induced interface traps. IEEE Trans. Nucl. Sci. 1988, 35, 1154–1159. [Google Scholar] [CrossRef]
- Mishima, T.D.; Lenahan, P.M. A spin-dependent recombination study of radiation-induced Pb1 centers at the [001] Si/SiO2 interface. IEEE Trans. Nucl. Sci. 2000, 47, 2249–2255. [Google Scholar] [CrossRef]
- Chen, X.J.; Barnaby, H.J.; Pease, R.L.; Schrimpf, R.D.; Platteter, D.; Shaneyfelt, M.; Vermeire, B. Estimation and verification of radiation induced Not and Nit energy distribution using combined bipolar and MOS characterization methods in gated bipolar devices. IEEE Trans. Nucl. Sci. 2006, 52, 2245–2251. [Google Scholar] [CrossRef]
- Khoshnoud, A.; Yavandhassani, J. Modeling of total ionizing dose (TID) effects on the nonuniform distribution of Si/SiO2 interface trap energy states in MOS devices. Sci. Rep. 2025, 15, 17082. [Google Scholar] [CrossRef] [PubMed]
- Chen, X.J.; Barnaby, H.J.; Pease, R.L.; Schrimpf, R.D.; Platteter, D.G.; Dunham, G. Radiation-induced base current broadening mechanisms in gated bipolar devices. IEEE Trans. Nucl. Sci. 2004, 51, 3178–3185. [Google Scholar] [CrossRef]
- Chen, X.J.; Barnaby, H.J. The effects of radiation-induced interface traps on base current in gated bipolar test structures. Solid-State Electron. 2008, 52, 683–687. [Google Scholar] [CrossRef]
- Yiqi, Z.; Qing, S. h/sub FE/instability and 1/f noise in bipolar transistors. In Proceedings of the 28th Annual Proceedings on Reliability Physics Symposium, New Orleans, LA, USA, 27–29 March 1990; pp. 290–297. [Google Scholar]
- Duan, B.; Xiong, C.; Zhou, H.; Zhang, G.; Zhang, W.; Zeng, C. Electronic properties of ionizing radiation-induced defects at SiO2/Si interface associated with non-trivial excess current splitting. Eur. Phys. J. Plus 2024, 139, 1. [Google Scholar] [CrossRef]
- Chen, X.J.; Barnaby, H.J.; Schrimpf, R.D.; Fleetwood, D.M.; Pease, R.L.; Platteter, D.G.; Dunham, G.W. Nature of interface defect buildup in gated bipolar devices under low dose rate irradiation. IEEE Trans. Nucl. Sci. 2006, 53, 3649–3654. [Google Scholar] [CrossRef]
- Winokur, P.S.; Boesch, H.E.; McGarrity, J.M.; McLean, F.B. Field-and time-dependent radiation effects at the SiO2/Si interface of hardened MOS capacitors. IEEE Trans. Nucl. Sci. 1977, 24, 2113–2118. [Google Scholar] [CrossRef]
- Schwank, J.R.; Fleetwood, D.M.; Winokur, P.S.; Dressendorfer, P.V.; Turpin, D.C.; Sanders, D.T. The role of hydrogen in radiation-induced defect formation in polysilicon gate MOS devices. IEEE Trans. Nucl. Sci. 1987, 34, 1152–1158. [Google Scholar] [CrossRef]
- Brown, D.B.; Saks, N.S. Time dependence of radiation-induced interface trap formation in metal-oxide-semiconductor devices as a function of oxide thickness and applied field. J. Appl. Phys. 1991, 70, 3734–3747. [Google Scholar] [CrossRef]
- Ren, Y.; Zhu, M.; Dai, X.; Li, L.; Liu, M. Overview of the Properties and Formation Process of Interface Traps in MOS and Linear Bipolar Devices. Micromachines 2025, 16, 434. [Google Scholar] [CrossRef] [PubMed]
- Adell, P.C.; Rax, B.; Esqueda, I.S.; Barnaby, H.J. Hydrogen limits for total dose and dose rate response in linear bipolar circuits. IEEE Trans. Nucl. Sci. 2015, 62, 2476–2481. [Google Scholar] [CrossRef]
- Li, X.; Yang, J.; Fleetwood, D.M.; Liu, C.; Wei, Y.; Barnaby, H.J.; Galloway, K.F. Hydrogen soaking, displacement damage effects, and charge yield in gated lateral bipolar junction transistors. IEEE Trans. Nucl. Sci. 2018, 65, 1271–1276. [Google Scholar] [CrossRef]
- Yang, J.; Hua, Z.; Wu, X.; Lei, D.; Li, H.; Li, X. Effect of H2 on interface traps in the LPNP transistors caused by 3 MeV proton irradiations. Nucl. Instrum. Methods Phys. Res. Sect. B Beam Interact. Mater. At. 2020, 463, 64–68. [Google Scholar] [CrossRef]
- Schrimpf, R.D.; Graves, R.J.; Schmidt, D.M.; Fleetwood, D.M.; Pease, R.L.; Combs, W.E.; DeLaus, M. Hardness-assurance issues for lateral PNP bipolar junction transistors. IEEE Trans. Nucl. Sci. 1995, 42, 1641–1649. [Google Scholar] [CrossRef]
- Boch, J.; Saigné, F.; Mannoni, V.; Giustino, F.; Schrimpf, R.D.; Dusseau, L.; Galloway, K.F.; Fesquet, J.; Gasiot, J.; Ecoffet, R. Model for high-temperature radiation effects in n-pn bipolar-junction transistors. IEEE Trans. Nucl. Sci. 2002, 49, 2990–2997. [Google Scholar] [CrossRef]
- Pershenkov, V.S.; Chumakov, K.A.; Nikiforov, A.Y.; Chumakov, A.I.; Ulimov, V.N.; Romanenko, A.A. Interface trap model for the low-dose-rate effect in bipolar devices. In Proceedings of the 2007 9th European Conference on Radiation and Its Effects on Components and Systems, Deauville, France, 10–14 September 2007; pp. 1–6. [Google Scholar]
- Witczak, S.C.; Schrimpf, R.D.; Galloway, K.F.; Fleetwood, D.M.; Pease, R.L.; Puhl, J.M.; Schmidt, D.M.; Combs, W.R.; Suehle, J.S. Accelerated tests for simulatinglow dose rate gain degradation of lateral and substrate pnp bipolar junctiontransistors. IEEE Trans. Nucl. Sci. 1996, 43, 3151–3160. [Google Scholar] [CrossRef]
- Hughart, D.R.; Schrimpf, R.D.; Fleetwood, D.M.; Tuttle, B.R.; Pantelides, S.T. Mechanisms of interface trap buildup and annealing during elevated temperature irradiation. IEEE Trans. Nucl. Sci. 2011, 58, 2930–2936. [Google Scholar] [CrossRef]
- Dong, L.; Yang, J.; Yu, X.; Lv, G.; Fan, Y.; Li, X. Evolution of ionization-induced defects in glpnp bipolar transistors at different temperatures. IEEE Trans. Nucl. Sci. 2020, 67, 2003–2008. [Google Scholar] [CrossRef]
- Zhou, H.; Zhang, G.; Duan, B.; Liu, Y. Unusual dual optimum temperatures for ionizing radiation-induced defect generation in GLPNP bipolar transistors. J. Mater. Sci. Mater. Electron. 2023, 34, 1119. [Google Scholar] [CrossRef]
















| Reactant 1 | Reactant 2 | Reaction(s) |
|---|---|---|
| hole | H0/H2 | Equation (3) |
| hole | Hydrogenated defects | Equations (4) and (5) |
Disclaimer/Publisher’s Note: The statements, opinions and data contained in all publications are solely those of the individual author(s) and contributor(s) and not of MDPI and/or the editor(s). MDPI and/or the editor(s) disclaim responsibility for any injury to people or property resulting from any ideas, methods, instructions or products referred to in the content. |
© 2025 by the authors. Licensee MDPI, Basel, Switzerland. This article is an open access article distributed under the terms and conditions of the Creative Commons Attribution (CC BY) license (https://creativecommons.org/licenses/by/4.0/).
Share and Cite
Dai, X.; Zhu, M.; Wu, F.; Ren, Y.; Liu, M. An Overview on Formation of Radiation-Induced Interface Traps in Silicon-Based Devices. Micromachines 2025, 16, 1278. https://doi.org/10.3390/mi16111278
Dai X, Zhu M, Wu F, Ren Y, Liu M. An Overview on Formation of Radiation-Induced Interface Traps in Silicon-Based Devices. Micromachines. 2025; 16(11):1278. https://doi.org/10.3390/mi16111278
Chicago/Turabian StyleDai, Xuehui, Min Zhu, Fei Wu, Yanru Ren, and Minghui Liu. 2025. "An Overview on Formation of Radiation-Induced Interface Traps in Silicon-Based Devices" Micromachines 16, no. 11: 1278. https://doi.org/10.3390/mi16111278
APA StyleDai, X., Zhu, M., Wu, F., Ren, Y., & Liu, M. (2025). An Overview on Formation of Radiation-Induced Interface Traps in Silicon-Based Devices. Micromachines, 16(11), 1278. https://doi.org/10.3390/mi16111278

