The Multi-Conductivity Clausius–Mossotti Factor as an Electrophysiology Rosetta Stone: Dielectrophoresis, Membrane Potential and Zeta Potential
Abstract
1. Introduction
2. Background Theory
2.1. An Electromic Rosetta Stone
2.2. The Clausius–Mossotti Factor
2.3. Membrane Potential
2.4. Zeta Potential (ζ)
3. The Cellular Electrome Model
4. The σmed-Dependent Clausius–Mossotti Response
4.1. The Standard Clausius–Mossotti Interpretation
4.2. σcyto Varies Linearly with σmed
4.3. Vm Depends on σcyto and σmed
4.4. Gspec Depends on Vm, ζ, and σcyto
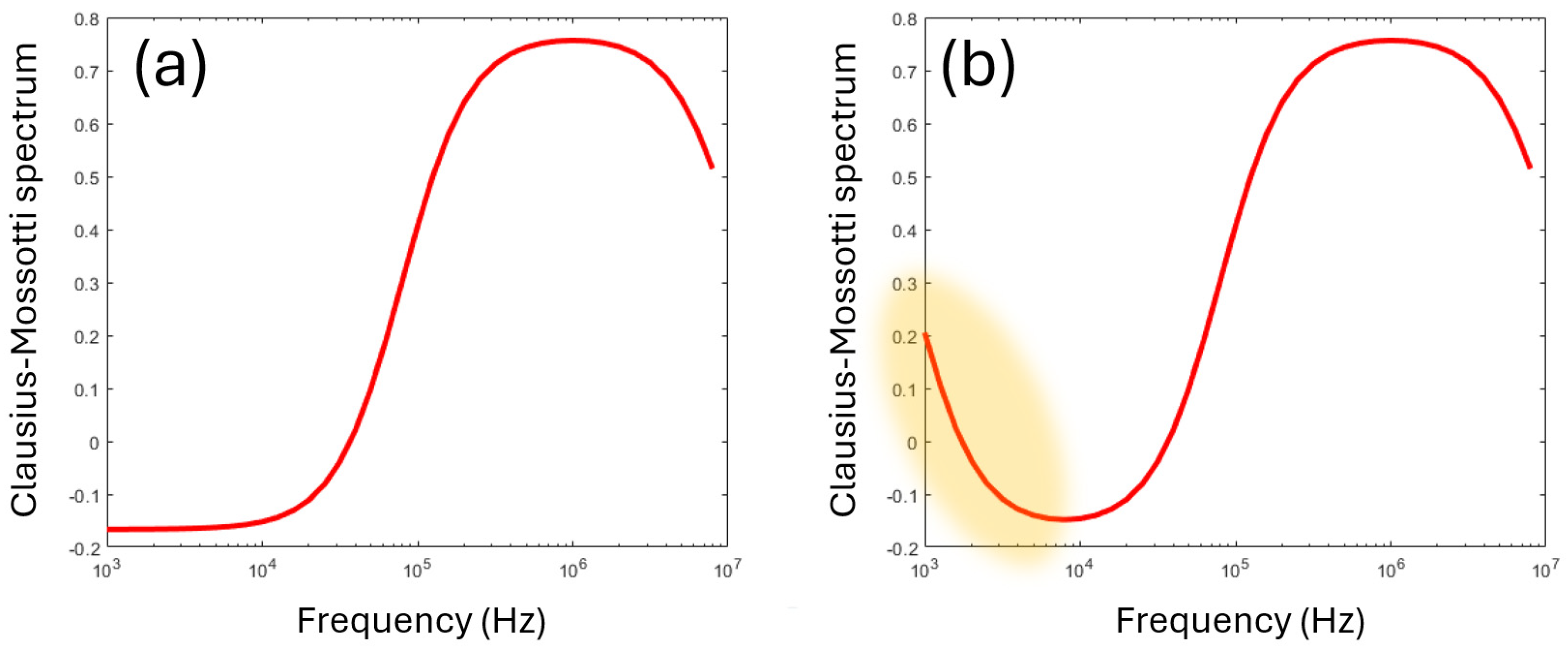
4.5. The Low-Frequency Dispersion in the Clausius–Mossotti Factor Yields Patch-Clamp-Compatible Parameters
4.6. A Note on Capacitance
5. Discussion
6. Conclusions
Funding
Conflicts of Interest
Appendix A. DEP Basics


Appendix B. C–M Factor for Ellipsoidal Particles
References
- Pethig, R. Dielectrophoresis: Theory, Methodology and Biological Applications; Wiley: Chichester, UK, 2017. [Google Scholar]
- Huang, Y.; Holzel, R.; Pethig, R.; Wang, X.-B. Differences in the AC electrodynamics of viable and non-viable yeast cells determined through combined dielectrophoresis and electrorotation studies. Phys. Med. Biol. 1992, 37, 1499–1517. [Google Scholar] [CrossRef]
- Pohl, H.A.; Hawk, I. Separation of living and dead cells by dielectrophoresis. Science 1966, 152, 647–649. [Google Scholar] [CrossRef]
- Gascoyne, P.R.C.; Noshari, J.; Becker, F.F.; Pethig, R. Use of dielectrophoretic collection spectra for characterizing differences between normal and cancerous cells. IEEE Trans. Ind. Appl. 1994, 30, 829–834. [Google Scholar] [CrossRef]
- Flanagan, L.A.; Lu, J.; Wang, L.; Marchenko, S.A.; Jeon, N.L.; Lee, A.P.; Monuki, E.S. Unique Dielectric Properties Distinguish Stem Cells and Their Differentiated Progeny. Stem. Cells 2008, 26, 656–665. [Google Scholar] [CrossRef] [PubMed]
- Graham, K.A.; Mulhall, H.J.; Labeed, F.H.; Lewis, M.P.; Hoettges, K.F.; Kalavrezos, N.; McCaul, J.; Liew, C.; Porter, S.; Fedele, S.; et al. A dielectrophoretic method of discrimination between normal oral epithelium, and oral and oropharyngeal cancer in a clinical setting. Analyst 2015, 140, 5198–5204. [Google Scholar] [CrossRef]
- Rohani, A.; Moore, J.H.; Kashatus, J.A.; Sesaki, H.; Kashatus, D.F.; Swami, N.S. Label-free quantification of intracellular mitochondrial dynamics using dielectrophoresis. Anal. Chem. 2017, 89, 5757–5764. [Google Scholar] [CrossRef] [PubMed]
- Stephens, M.; Talary, M.S.; Pethig, R.; Burnett, A.K.; Mills, K.I. The dielectrophoresis enrichment of CD34+ cells from peripheral blood stem cell harvests. Bone Marrow Transpl. 1996, 18, 777–782. [Google Scholar]
- Mulhall, H.J.; Cardnell, A.; Hoettges, K.F.; Labeed, F.H.; Hughes, M.P. Apoptosis progression studied using parallel dielectrophoresis electrophysiological analysis and flow cytometry. Integr. Biol. 2015, 7, 1396–1401. [Google Scholar] [CrossRef]
- Labeed, F.H.; Beale, A.D.; Schneider, P.; Kitcatt, S.J.; Kruchek, E.J.; Reece, S.E. Circadian rhythmicity in murine blood: Electrical effects of malaria infection and anemia. Front. Bioeng. Biotechnol. 2022, 10, 994487. [Google Scholar] [CrossRef]
- Mulhall, H.J.; Hughes, M.P.; Kazmi, B.; Lewis, M.P.; Labeed, F.H. Epithelial cancer cells exhibit different electrical properties when cultured in 2D and 3D environments. Biochim. Biophys. Acta 2013, 1830, 5136–5141. [Google Scholar] [CrossRef]
- Lavi, E.D.; Crivellari, F.; Gagnon, Z. Dielectrophoretic detection of electrical property changes of stored human red blood cells. Electrophoresis 2022, 43, 1297–1308. [Google Scholar] [CrossRef]
- Gascoyne, P.R.C.; Pethig, R.; Burt, J.P.H.; Becker, F.F. Membrane changes accompanying the induced differentiation of Friend murine erythroleukemia cells studied by dielectrophoresis. Biochim. Biophys. Acta 1993, 1149, 119–126. [Google Scholar] [CrossRef]
- Chung, C.; Waterfall, M.; Pells, S.; Menachery, A.; Smith, S.; Pethig, R. Dielectrophoretic Characterisation of Mammalian Cells above 100 MHz. J. Electr. Bioimpedance 2011, 2, 64–71. [Google Scholar] [CrossRef]
- Chung, C.; Pethig, R.; Smith, S.; Waterfall, M. Intracellular potassium under osmotic stress determines the dielectrophoresis cross-over frequency of murine myeloma cells in the MHz range. Electrophoresis 2018, 39, 989–997. [Google Scholar] [CrossRef]
- Hughes, M.P.; Kruchek, E.J.; Beale, A.D.; Kitcatt, S.J.; Qureshi, S.; Trott, Z.P.; Charbonnel, O.; Agbaje, P.A.; Henslee, E.A.; Dorey, R.A.; et al. Vm-related extracellular potentials observed in red blood cells. Sci. Rep. 2021, 11, 19446. [Google Scholar] [CrossRef] [PubMed]
- Hughes, M.P. The cellular zeta potential: Cell electrophysiology beyond the membrane. Integr. Biol. 2024, 16, zyae003. [Google Scholar] [CrossRef] [PubMed]
- De Loof, A. The cell’s self-generated electrome: The biophysical essence of the immaterial dimension of Life? Integr. Biol. 2016, 9, e1197446. [Google Scholar] [CrossRef]
- Souza, G.M.; Ferreira, A.S.; Saraiva, G.F.R.; Toledo, G.R.A. Plant ‘electrome’ can be pushed toward a self-organized critical state by external cues: Evidences from a study with soybean seedlings subject to different environmental conditions. Plant Signal. Behav. 2017, 12, e1290040. [Google Scholar] [CrossRef] [PubMed]
- de Toledo, G.R.A.; Parise, A.G.; Simmi, F.Z.; Costa, A.V.L.; Senko, L.G.S.; Debono, M.-W.; Souza, G.M. Plant electrome: The electrical dimension of plant life. Theor. Exp. Plant Phys. 2019, 31, 21–46. [Google Scholar] [CrossRef]
- Simmi, F.Z.; Dallagnol, L.J.; Ferreira, A.S.; Pereira, D.R.; Souza, G.M. Electrome alterations in a plant-pathogen system: Toward early diagnosis. Bioelectrochemistry 2020, 133, 107493. [Google Scholar] [CrossRef]
- Adee, S. We Are Electric; Canongate: London, UK, 2023. [Google Scholar]
- Pethig, R. Protein Dielectrophoresis: A Tale of Two Clausius-Mossottis—Or Something Else? Micromachines 2022, 13, 261. [Google Scholar] [CrossRef]
- Mossotti, O.F. Discussione analitica sull’influenza che l’azione di un mezzo dielettrico ha sulla distribuzione dell’elettricità alla superficie di più corpi elettrici disseminati in esso. Mem. Della Soc. Ital. Delle Sci. Modena 1850, 24, 49–74. [Google Scholar]
- Clausius, R. Die Mechanische Behandlung der Elektricität; Vieweg: Braunschweig, Germany, 1858. [Google Scholar]
- Jones, T.B. Electromechanics of Particles; MIT Press: Cambridge, MA, USA, 1995. [Google Scholar]
- Hasted, J.B. Aqueous Dielectrics; Chapman and Hall: London, UK, 1973. [Google Scholar]
- Green, N.G.; Jones, T.B. Numerical determination of the effective moments of non-spherical particles. J. Phys. D Appl. Phys. 2007, 40, 78–85. [Google Scholar] [CrossRef]
- Broche, L.M.; Hoettges, K.F.; Ogin, S.L.; Kass, G.E.N.; Hughes, M.P. Rapid, automated measurement of dielectrophoretic forces using DEP-activated microwells. Electrophoresis 2011, 32, 2393–2399. [Google Scholar] [CrossRef]
- Irimajiri, A.; Hanai, T.; Inouye, A. A dielectric theory of multi-stratified shell model with its application to a lymphoma cell. J. Theor. Biol. 1979, 78, 251–269. [Google Scholar] [CrossRef]
- Hanai, T.; Asami, K.; Koizumi, N. Dielectric theory of concentrated suspensions of shell-spheres in particular reference to the analysis of biological cell suspensions. Bull. Inst. Chem. Res., Kyoto Univ. 1979, 57, 297–305. [Google Scholar]
- Hoettges, K.F.; Henslee, E.A.; Serrano, R.M.T.; Jabr, R.I.; Abdallat, R.G.; Beale, A.D.; Waheed, A.; Camelliti, P.; Fry, C.H.; van der Veen, D.R.; et al. Ten–Second Electrophysiology: Evaluation of the 3DEP Platform for high-speed, high-accuracy cell analysis. Sci. Rep. 2019, 9, 19153. [Google Scholar] [CrossRef]
- Henslee, E.A.; Crosby, P.; Kitcatt, S.J.; Parry, J.S.W.; Bernardini, A.; Abdallat, R.G.; Braun, G.; Fatoyinbo, H.O.; Harrison, E.J.; Hoettges, K.F.; et al. Rhythmic K+ transport regulates the circadian clock in human red blood cells. Nat. Commun. 2017, 8, 1978. [Google Scholar] [CrossRef] [PubMed]
- Galvani, L. De Viribus Electricitatis in Motu Musculari Commentaries; Ex Typographia Instituti Scientiarum: Bologna, Italy, 1792. [Google Scholar]
- Bois-Reymond, E.D. Untersuchungen Uber Thierische Elektricitat; Reimer: Berlin, Germany, 1848. [Google Scholar]
- Sperelakis, N. Cell Physiology Sourcebook, 4th ed.; Academic Press: Amsterdam, The Netherlands, 2011. [Google Scholar]
- Bernstein, J. Elektrobiologie: Die Lehre von den Elektrischen Vorgängen im Organismus auf Moderner Grundlage Dargestellt; Vieweg: Braunschweig, Germany, 1912. [Google Scholar]
- Nernst, W. Die elektromotorische Wirksamkeit der Ionen. Z. Für Phys. Chem. 1889, 4, 129–181. [Google Scholar] [CrossRef]
- Curtis, H.J.; Cole, K.S. Membrane resting and action potentials from the squid giant axon. J. Cell. Comp. Physiol. 1942, 19, 135. [Google Scholar] [CrossRef]
- Steinbach, H.B. Electrolyte balance of animal cells. Cold Spring Harb. Symp. Quant. Biol. 1940, 8, 242–254. [Google Scholar] [CrossRef]
- Hodgkin, A.L.; Huxley, A.F. Action potentials recorded from inside a nerve fibre. Nature 1939, 144, 710–711. [Google Scholar] [CrossRef]
- Goldman, D.E. Potential, impedance, and rectification in membranes. J. Gen. Physiol. 1943, 27, 37–60. [Google Scholar] [CrossRef]
- Hodgkin, A.L.; Katz, B. The effect of sodium ions on the electrical activity of the giant axon of the squid. J. Physiol. 1949, 108, 37–77. [Google Scholar] [CrossRef]
- Lyklema, J. Fundamentals of Interface and Colloid Science; Academic Press: London, UK, 1991. [Google Scholar]
- Roselli, R.J.; Diller, K.R. Biotransport: Principles and Applications; Springer: New York, NY, USA, 2011. [Google Scholar]
- Evans, D.F.; Wennerström, H. The Colloidal Domain; VCH Publishers: New York, NY, USA, 1994. [Google Scholar]
- Rall, J.A. Generation of life in a test tube: Albert Szent-Gyorgyi, Bruno Straub, and the discovery of actin. Adv. Physiol. Educ. 2018, 42, 277–288. [Google Scholar] [CrossRef]
- Beale, A.D.; Kruchek, E.J.; Kitcatt, S.J.; Henslee, E.A.; Parry, J.S.W.; Braun, G.; Jabr, R.; von Schantz, M.; O’Neil, J.S.; Labeed, F.H. Casein Kinase 1 underlies temperature compensation of circadian rhythms in human red blood cells. J. Biol. Rhythm. 2019, 34, 144–153. [Google Scholar] [CrossRef]
- Gascoyne, P.; Pethig, R.; Satayavivad, J.; Becker, F.F.; Ruchirawat, M. Dielectrophoretic detection of changes in erythrocyte membranes following malarial infection. Biochim. Biophys. Acta 1997, 1323, 240–252. [Google Scholar] [CrossRef]
- Redmann, K.; Jenssen, H.-L.; Köhler, H.-J. Experimental and functional changes in transmembrane potential and zeta potential of single cultured cells. Exp. Cell Res. 1974, 87, 281–289. [Google Scholar] [CrossRef]
- Aiuchi, T.; Kamo, N.; Kurihara, K.; Kobatake, Y. Significance of surface potential in interaction of 8-anilino-1-naphthalenesulfonate with mitochondria: Fluorescence intensity and ζ potential. Bioelectrochemistry 1977, 16, 1626–1630. [Google Scholar]
- Hato, M.; Ueda, T.; Kurihara, K.; Kobatake, Y. Change in zeta potential and membrane potential of slime mold physarum polycephalum in response to chemical stimuli. Biochim. Biophys. Acta 1976, 426, 73–80. [Google Scholar] [CrossRef]
- Voight, A.; Donath, E. Cell Surface Biophysics; Glaser, R., Gingell, D., Eds.; Springer: Berlin/Heidelberg, Germany, 1989; Volume 5, pp. 75–108. [Google Scholar]
- Dukhin, A.S.; Karamushka, V.I.; Ulberg, Z.R.; Abidor, I.G. On the existence of an intramembrane field stabilization systems in cells. J. Electroanal. Chem. Interfacial Electrochem. 1991, 26, 131–138. [Google Scholar] [CrossRef]
- Dukhin, A.S. Biospecific mechanism of double layer formation and peculiarities of cell electrophoresis. Colloids Surf. A Physicochem. Eng. 1993, 73, 29–48. [Google Scholar] [CrossRef]
- Chacar, S.; Catacutan, M.K.; Albakr, S.; Al Safar, H.; Babiker, S.; Ahmed, S.; Albrizeh, A.A.; Alshehhi, A.Z.; Lee, S.; Nader, M.; et al. Rapid Label-free, contactless measurement of membrane potential in excitable H9c2 cardiomyoblasts using ζ-potential. Meas. Sci. Tech. 2024, 35, 055701. [Google Scholar] [CrossRef]
- Hughes, M.P.; Kruchek, E.J.; Gibbins, J.M.; Griffiths, O.V.; Abdal, B.; Labeed, F.H. The platelet electrome: Evidence for a role in regulation of function and surface interaction. Bioelectricity 2022, 4, 153–159. [Google Scholar] [CrossRef]
- Johnson, M.P.; Sreedharan, S.P.; Jelinek, H.F.; Al Bataineh, M.T.; Hughes, M.P. Vm and ζ-potential of Candida Albicans correlate with biofilm formation. Sci. Rep. 2025, 15, 22475. [Google Scholar] [CrossRef]
- Bakam Nguenouho, O.S.; Chevalier, A.; Potelon, B.; Benedicto, J.; Quendo, C. Dielectric characterization and modelling of aqueous solutions involving sodium chloride and sucrose and application to the design of a bi-parameter RF-sensor. Sci. Rep. 2022, 12, 7209. [Google Scholar] [CrossRef]
- Arnold, W.M.; Zimmermann, U. Electro-rotation: Development of a technique for dielectric measurements on individual cells and particles. J. Electrostat. 1988, 21, 151–191. [Google Scholar] [CrossRef]
- Fry, C.H.; Salvage, S.C.; Manazza, A.; Dupont, E.; Labeed, F.H.; Hughes, M.P.; Jabr, R.I. Cytoplasm resistivity of mammalian atrial myocardium determined by dielectrophoresis and impedance methods. Biophys. J. 2012, 103, 2287–2294. [Google Scholar] [CrossRef]
- Gascoyne, P.R.C.; Wang, X.-B.; Huang, Y.; Becker, F.F. Dielectrophoretic Separation of Cancer Cells from Blood. IEEE Trans. Ind. Appl. 1997, 33, 670–678. [Google Scholar] [CrossRef]
- Sukhorukov, V.L.; Kürschner, M.; Dilsky, S.; Lisec, T.; Wagner, B.; Schenk, W.A.; Benz, R.; Zimmermann, U. Phloretin-induced changes of lipophilic ion transport across the plasma membrane of mammalian cells. Biophys J. 2001, 81, 1006–1013. [Google Scholar] [CrossRef]
- Hughes, M.P.; Fry, C.H.; Labeed, F.H. Cytoplasmic anion/cation imbalances applied across the membrane capacitance may form a significant component of the resting membrane potential of red blood cells. Sci. Rep. 2021, 12, 15005. [Google Scholar] [CrossRef]
- Coley, H.; Labeed, F.H.; Thomas, H.; Hughes, M.P. Biophysical characterization of MDR breast cancer cell lines reveals the cytoplasm is critical in determining drug sensitivity. Biochim. Biophys. Acta 2007, 1770, 601–608. [Google Scholar] [CrossRef]
- Moersdorf, D.; Egee, S.; Hahn, C.; Hanf, B.; Ellory, C.; Thomas, S.; Bernhardt, I. Transmembrane Potential of Red Blood Cells Under Low Ionic Strength Conditions. Cell Physiol. Biochem. 2013, 31, 875–882. [Google Scholar] [CrossRef]
- Hughes, M.P.; Clarke, K.S.P.; Hoque, R.; Griffiths, O.V.; Kruchek, E.J.; Lewis, R.; Labeed, F.H. Label-free, non-contact estimation of resting membrane potential using dielectrophoresis. Sci. Rep. 2024, 14, 18477. [Google Scholar] [CrossRef]
- Hughes, M.P. The surface conductance of red blood cells is altered by the cell membrane potential. Electrophoresis 2023, 44, 845–853. [Google Scholar] [CrossRef]
- Hughes, M.P.; Clarke, K.S.P.; Hoque, R.; Griffiths, O.V.; Kruchek, E.J.; Bertagna, F.; Jeevaratnam, K.; Lewis, R.; Labeed, F.H. On the low-frequency dispersion observed in dielectrophoresis spectra. Electrophoresis 2024, 45, 1080–1087. [Google Scholar] [CrossRef]
- Hughes, M.P. Dielectrophoretic behaviour of latex nanospheres: Low-frequency dispersion. J. Coll. Int. Sci. 2002, 250, 291–294. [Google Scholar] [CrossRef]
- Kakutani, T.; Shibatani, S.; Sugai, M. Electrorotation of non-spherical cells: Theory for ellipsoidal cells with an arbitrary number of shells. Bioelectrochem. Bioenerg. 1993, 31, 131–145. [Google Scholar] [CrossRef]
- Miller, D.; Jones, T.B. Electro-orientation of ellipsoidal erythrocytes: Theory and experiment. Biophys. J. 1993, 64, 1588. [Google Scholar] [CrossRef]
- Garton, C.C.; Krasucki, Z. Bubbles in insulation liquids: Stability in an electric field. Proc. R. Soc. Lond. 1964, 280, 211. [Google Scholar]










Disclaimer/Publisher’s Note: The statements, opinions and data contained in all publications are solely those of the individual author(s) and contributor(s) and not of MDPI and/or the editor(s). MDPI and/or the editor(s) disclaim responsibility for any injury to people or property resulting from any ideas, methods, instructions or products referred to in the content. |
© 2025 by the author. Licensee MDPI, Basel, Switzerland. This article is an open access article distributed under the terms and conditions of the Creative Commons Attribution (CC BY) license (https://creativecommons.org/licenses/by/4.0/).
Share and Cite
Hughes, M.P. The Multi-Conductivity Clausius–Mossotti Factor as an Electrophysiology Rosetta Stone: Dielectrophoresis, Membrane Potential and Zeta Potential. Micromachines 2025, 16, 1200. https://doi.org/10.3390/mi16111200
Hughes MP. The Multi-Conductivity Clausius–Mossotti Factor as an Electrophysiology Rosetta Stone: Dielectrophoresis, Membrane Potential and Zeta Potential. Micromachines. 2025; 16(11):1200. https://doi.org/10.3390/mi16111200
Chicago/Turabian StyleHughes, Michael Pycraft. 2025. "The Multi-Conductivity Clausius–Mossotti Factor as an Electrophysiology Rosetta Stone: Dielectrophoresis, Membrane Potential and Zeta Potential" Micromachines 16, no. 11: 1200. https://doi.org/10.3390/mi16111200
APA StyleHughes, M. P. (2025). The Multi-Conductivity Clausius–Mossotti Factor as an Electrophysiology Rosetta Stone: Dielectrophoresis, Membrane Potential and Zeta Potential. Micromachines, 16(11), 1200. https://doi.org/10.3390/mi16111200
