A Scale Factor Calibration Method for MEMS Resonant Accelerometers Based on Virtual Accelerations
Abstract
1. Introduction
2. Theoretical Analysis of Self-Calibration Method
2.1. Principle of Self-Calibration Method
2.2. Calibration Error Transfer Model
2.3. Influence of DC Voltage Accuracy
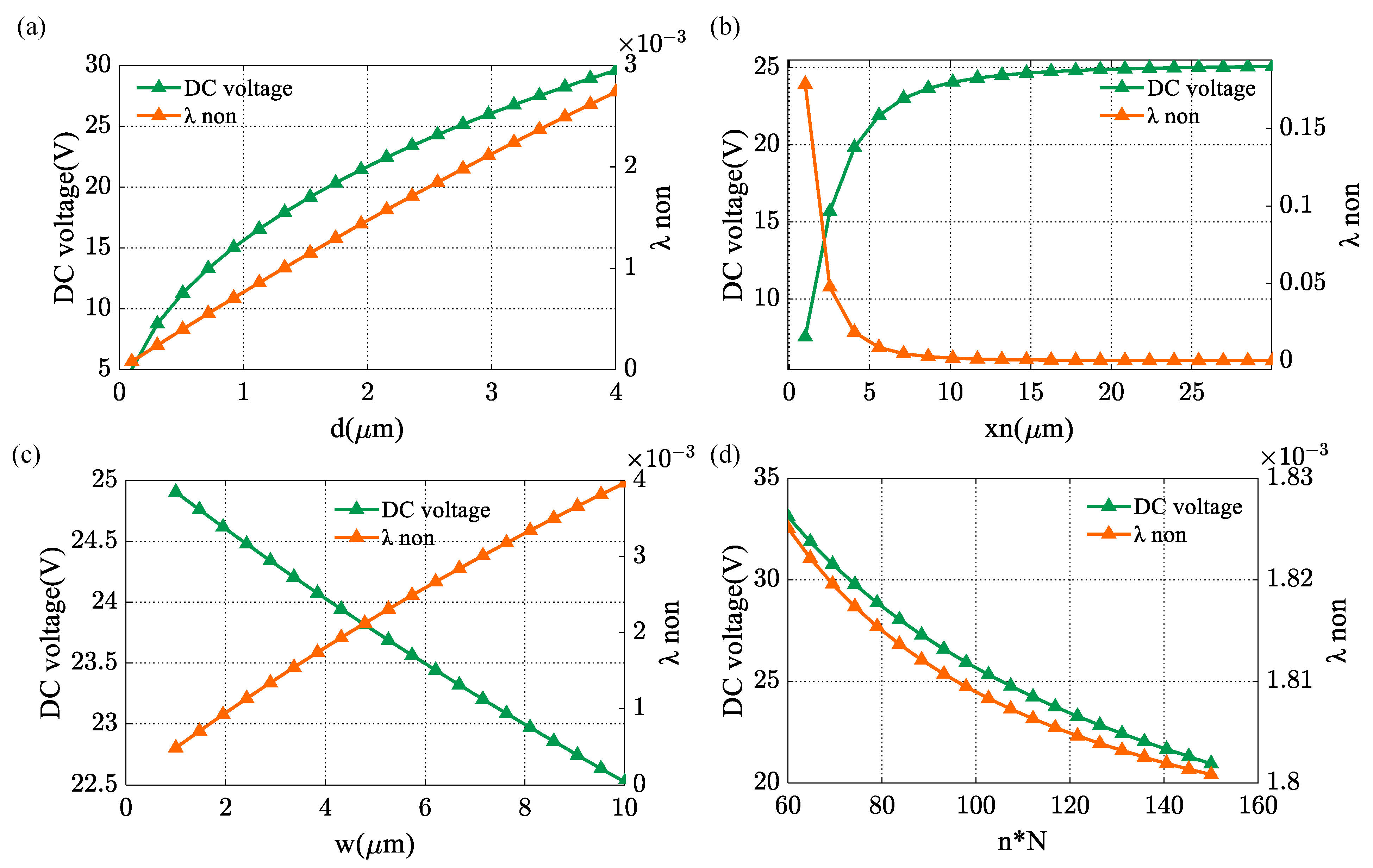
2.4. Influence of Non-Ideal Electric Field
3. Design and Fabrication
4. Experiments and Results
5. Conclusions
Author Contributions
Funding
Data Availability Statement
Acknowledgments
Conflicts of Interest
References
- Pisano, A.P. MEMS and Nano Technology for the Handheld, Portable Electronic and the Automotive Markets. In Proceedings of the Solid-State Sensors, Actuators & Microsystems Conference, Transducers International, Lyon, France, 10–14 June 2007. [Google Scholar]
- Effa, D.; Nieva, P.; Andrew, Z.; Lancaster, S. Design and modeling of a MEMS accelerometer for a novel Virtual Button user interface. In Proceedings of the 2009 IEEE Toronto International Conference Science and Technology for Humanity (TIC-STH), Toronto, ON, Canada, 26–27 September 2009. [Google Scholar]
- Barth, P.W.; Pourahmadi, F.; Mayer, R.; Poydock, J.; Petersen, K. A monolithic silicon accelerometer with integral air damping and overrange protection. In Proceedings of the IEEE Solid-state Sensor & Actuator Workshop, Hilton Head, SC, USA, 6–9 June 1988. [Google Scholar]
- Wang, L.P.; Wolf, R.A.; Yu, W.; Deng, K.K.; Zou, L.; Davis, R.J.; Trolier-Mckinstry, S. Design, fabrication, and measurement of high-sensitivity piezoelectric microelectromechanical systems accelerometers. J. Microelectromech. Syst. 2003, 12, 433–439. [Google Scholar] [CrossRef]
- Zhang, Z.; Zhang, L.; Wu, Z.; Gao, Y.; Lou, L. A High-Sensitivity MEMS Accelerometer Using a Sc0.8Al0.2N-Based Four Beam Structure. Micromachines 2023, 14, 1069. [Google Scholar] [CrossRef] [PubMed]
- Peeters, E.; Vergote, S.; Puers, B.; Sansen, W. A highly symmetrical capacitive micro-accelerometer with single degree-of-freedom response. J. Micromech. Microeng. 1992, 2, 104. [Google Scholar] [CrossRef]
- Meldrum, M.A. Application of vibrating beam technology to digital acceleration measurement. Sens. Actuators A Phys. 1990, 21, 377–380. [Google Scholar] [CrossRef]
- Roessig, T.A.; Howe, R.T.; Pisano, A.P.; Smith, J.H. Surface-micromachined resonant accelerometer. In Proceedings of the International Solid State Sensors and Actuators Conference (Transducers’ 97), Chicago, IL, USA, 19 June 1997. [Google Scholar]
- Hopcroft, M.A.; Nix, W.D.; Kenny, T.W. What is the Young’s Modulus of Silicon? J. Microelectromech. Syst. 2010, 19, 229–238. [Google Scholar] [CrossRef]
- Kim, Y.; Lee, H.; Zhang, X.; Park, S. Optimal Material Properties of Molding Compounds for MEMS Package. IEEE Trans. Compon. Packag. Manuf. Technol. 2014, 4, 1589–1597. [Google Scholar]
- Ru, X.; Gu, N.; Shang, H.; Zhang, H. MEMS Inertial Sensor Calibration Technology: Current Status and Future Trends. Micromachines 2022, 13, 879. [Google Scholar] [CrossRef]
- IEEE Recommended Practice for Precision Centrifuge Testing of Linear Accelerometers—Redline; IEEE: Piscataway, NJ, USA, 2009.
- IEEE Std 1293-2018 (Revision of IEEE Std 1293–1998); IEEE Standard Specification Format Guide and Test Procedure for Linear Single-Axis, Nongyroscopic Accelerometers. IEEE: Piscataway, NJ, USA, 2019; pp. 1–271. [CrossRef]
- Dong, X.; Huang, X.; Du, G.; Huang, Q.; Huang, Y.; Huang, Y.; Lai, P. Calibration Method of Accelerometer Based on Rotation Principle Using Double Turntable Centrifuge. Micromachines 2022, 13, 62. [Google Scholar] [CrossRef]
- Pandit, M.; Mustafazade, A.; Sobreviela, G.; Zhao, C.; Zou, X.; Seshia, A.A. Experimental Observation of Temperature and Pressure Induced Frequency Fluctuations in Silicon MEMS Resonators. J. Microelectromech. Syst. 2021, 30, 500–505. [Google Scholar] [CrossRef]
- Łuczak, S.; Wierciak, J.; Credo, W. Effects of Natural Aging in Biaxial MEMS Accelerometers. IEEE Sens. J. 2021, 21, 1305–1314. [Google Scholar] [CrossRef]
- Zwahlen, P.; Nguyen, A.M.; Dong, Y.; Rudolf, F.; Schmid, H. Navigation grade MEMS accelerometer. In Proceedings of the IEEE International Conference on Micro Electro Mechanical Systems, Hong Kong, China, 24–28 January 2010. [Google Scholar]
- Łuczak, S.; Zams, M.; Dąbrowski, B.; Kusznierewicz, Z. Tilt Sensor with Recalibration Feature Based on MEMS Accelerometer. Sensors 2022, 22, 1504. [Google Scholar] [CrossRef]
- Särkkä, O.; Nieminen, T.; Suuriniemi, S.; Kettunen, L. A Multi-Position Calibration Method for Consumer-Grade Accelerometers, Gyroscopes, and Magnetometers to Field Conditions. IEEE Sens. J. 2017, 17, 3470–3481. [Google Scholar] [CrossRef]
- García, J.A.; Lara, E.; Aguilar, L. A Low-Cost Calibration Method for Low-Cost MEMS Accelerometers Based on 3D Printing. Sensors 2020, 20, 6454. [Google Scholar] [CrossRef] [PubMed]
- Martínez, J.; Asiain, D.; Beltrán, J.R. Self-Calibration Technique with Lightweight Algorithm for Thermal Drift Compensation in MEMS Accelerometers. Micromachines 2022, 13, 584. [Google Scholar] [CrossRef] [PubMed]
- Frosio, I.; Pedersini, F.; Borghese, N.A. Autocalibration of MEMS Accelerometers. IEEE Trans. Instrum. Meas. 2009, 58, 2034–2041. [Google Scholar] [CrossRef]
- Aktakka, E.E.; Najafi, K. A six-axis micro platform for in situ calibration of MEMS inertial sensors. In Proceedings of the 2016 IEEE 29th International Conference on Micro Electro Mechanical Systems (MEMS), Shanghai, China, 24–28 January 2016. [Google Scholar]
- Pinrod, V.; Nadig, S.; Ardanuc, S.; Lal, A. Piezoelectric micro dither stage calibration of 6-axis IMU. In Proceedings of the 2016 IEEE 29th International Conference on Micro Electro Mechanical Systems (MEMS), Shanghai, China, 24–28 January 2016. [Google Scholar]
- Qin, F.; Gong, D.; Chen, Y.; Li, X.; Bao, J.; Wang, Y.; Sun, X. Integrated piezoelectric micromechanical vibration platform for six degree of freedom motion. J. Micromech. Microeng. 2019, 29, 115006. [Google Scholar] [CrossRef]
- Li, X.; Wang, Y.; Yang, T.; Du, Y.; Chen, Y.; Gong, D.; Zhou, Q.; Sun, X. Closed-loop control for self-calibration of accelerometer achieved through integrated sensor and actuator system. Microsyst. Technol. 2021, 27, 3025–3035. [Google Scholar] [CrossRef]
- Dumas, N.; Azaies, F.; Mailly, F.; Richardson, A.; Nouet, P. A novel method for test and calibration of capacitive accelerometers with a fully electrical setup. In Proceedings of the IEEE Workshop on Design & Diagnostics of Electronic Circuits & Systems, Bratislava, Slovakia, 16–18 April 2008. [Google Scholar]
- Dumas, N.; Azas, F.; Mailly, F.; Nouet, P. Study of an Electrical Setup for Capacitive MEMS Accelerometers Test and Calibration. J. Electron. Test. 2010, 26, 111–125. [Google Scholar] [CrossRef]
- Ozel, M.K.; Cheperak, M.; Dar, T.; Kiaei, S.; Bakkaloglu, B.; Ozev, S. An Electrical-Stimulus-Only BIST IC for Capacitive MEMS Accelerometer Sensitivity Characterization. IEEE Sens. J. 2017, 17, 695–708. [Google Scholar] [CrossRef]
- Heringhaus, M.E.; Müller, J.; Messner, D.; Zimmermann, A. Transfer Learning for Test Time Reduction of Parameter Extraction in MEMS Accelerometers. J. Microelectromech. Syst. 2021, 30, 401–410. [Google Scholar] [CrossRef]
- Huang, L.; Jiang, K.; Wang, P.; Zhang, M.; Ding, X.; Li, H. Enhancing the Shock Response Performance of Micromachined Silicon Resonant Accelerometers by Electrostatic Active Damping Control. Micromachines 2021, 12, 1548. [Google Scholar] [CrossRef] [PubMed]
- Xiong, X.; Zou, X.; Wang, Z.; Wang, K.; Li, Z.; Yang, W. Using Electrostatic Spring Softening Effect to Enhance Sensitivity of MEMS Resonant Accelerometers. IEEE Sens. J. 2021, 21, 5819–5827. [Google Scholar] [CrossRef]
- Qiao, R.X.; Meng, X.F.; Ji, H. Error Analysis and Modeling in Calibration of Accelerometers’ Nonlinear Terms’ Coefficients. J. Syst. Simul. 2008, 20, 1633–1635. [Google Scholar]
- Bao, M. Chapter 5—Capacitive Sensing and Effects of Electrical Excitation. In Analysis and Design Principles of MEMS Devices; Bao, M., Ed.; Elsevier Science: Amsterdam, The Netherlands, 2005; pp. 213–245. [Google Scholar]
- Liu, Z.; Chen, J.; Yang, W.; Zheng, T.; Jiao, Q.; Zou, X. Dynamic behaviours of double-ended tuning fork based comb-driven microelectromechanical resonators for modulating magnetic flux synchronously. J. Micromech. Microeng. 2022, 32, 014003. [Google Scholar] [CrossRef]
- Leonov, G.A.; Kuznetsov, N.V.; Yuldashev, M.V.; Yuldashev, R.V. Hold-In, Pull-In, and Lock-In Ranges of PLL Circuits: Rigorous Mathematical Definitions and Limitations of Classical Theory. IEEE Trans. Circuits Syst. I Regul. Pap. 2015, 62, 2454–2464. [Google Scholar] [CrossRef]











| Parameter | Variable | Value |
|---|---|---|
| Width | w | 4 μm |
| Thickness | h | 50 μm |
| Gap | d | 2.5 μm |
| Overlap length | 23 μm | |
| Non-overlap length | 10 μm | |
| Number of combs in each group | n | 38 |
| Number of comb groups | N | 3 |
| Proof mass | m | 1.31 mg |
| Spring stiffness | k | 130.7 N/m |
Disclaimer/Publisher’s Note: The statements, opinions and data contained in all publications are solely those of the individual author(s) and contributor(s) and not of MDPI and/or the editor(s). MDPI and/or the editor(s) disclaim responsibility for any injury to people or property resulting from any ideas, methods, instructions or products referred to in the content. |
© 2023 by the authors. Licensee MDPI, Basel, Switzerland. This article is an open access article distributed under the terms and conditions of the Creative Commons Attribution (CC BY) license (https://creativecommons.org/licenses/by/4.0/).
Share and Cite
Zhai, Z.; Xiong, X.; Ma, L.; Wang, Z.; Wang, K.; Wang, B.; Zhang, M.; Zou, X. A Scale Factor Calibration Method for MEMS Resonant Accelerometers Based on Virtual Accelerations. Micromachines 2023, 14, 1408. https://doi.org/10.3390/mi14071408
Zhai Z, Xiong X, Ma L, Wang Z, Wang K, Wang B, Zhang M, Zou X. A Scale Factor Calibration Method for MEMS Resonant Accelerometers Based on Virtual Accelerations. Micromachines. 2023; 14(7):1408. https://doi.org/10.3390/mi14071408
Chicago/Turabian StyleZhai, Zhaoyang, Xingyin Xiong, Liangbo Ma, Zheng Wang, Kunfeng Wang, Bowen Wang, Mingjiang Zhang, and Xudong Zou. 2023. "A Scale Factor Calibration Method for MEMS Resonant Accelerometers Based on Virtual Accelerations" Micromachines 14, no. 7: 1408. https://doi.org/10.3390/mi14071408
APA StyleZhai, Z., Xiong, X., Ma, L., Wang, Z., Wang, K., Wang, B., Zhang, M., & Zou, X. (2023). A Scale Factor Calibration Method for MEMS Resonant Accelerometers Based on Virtual Accelerations. Micromachines, 14(7), 1408. https://doi.org/10.3390/mi14071408

