Significance of Free Convection Flow over an Oscillating Inclined Plate Induced by Nanofluid with Porous Medium: The Case of the Prabhakar Fractional Approach
Abstract
1. Introduction
2. Mathematical Formulation
- Except for the impact of the body action term, all fundamental fluid parameters are supposed to be fix.
- An applied magnetic field with a strength ofis inclined withas the inclination of the magnetic field.
- Because the fluid’s conductivity is considered low, the magnetic Reynolds number is less than one, and the induced field is small, compared to the transverse magnetic field.
- It is also assumed that the temperature, concentration, and velocity depend on y and t.
- It is also assumed that there is still no applied voltage, since the electric field is nonexistent [50].
3. Prabhakar Fractional Derivative Scheme
4. Solution of the Problem
4.1. Solution of the Temperature Profile
4.2. Solution of the Concentration Profile
4.3. Solution for the Velocity Profile
5. Results with Discussion
6. Conclusions
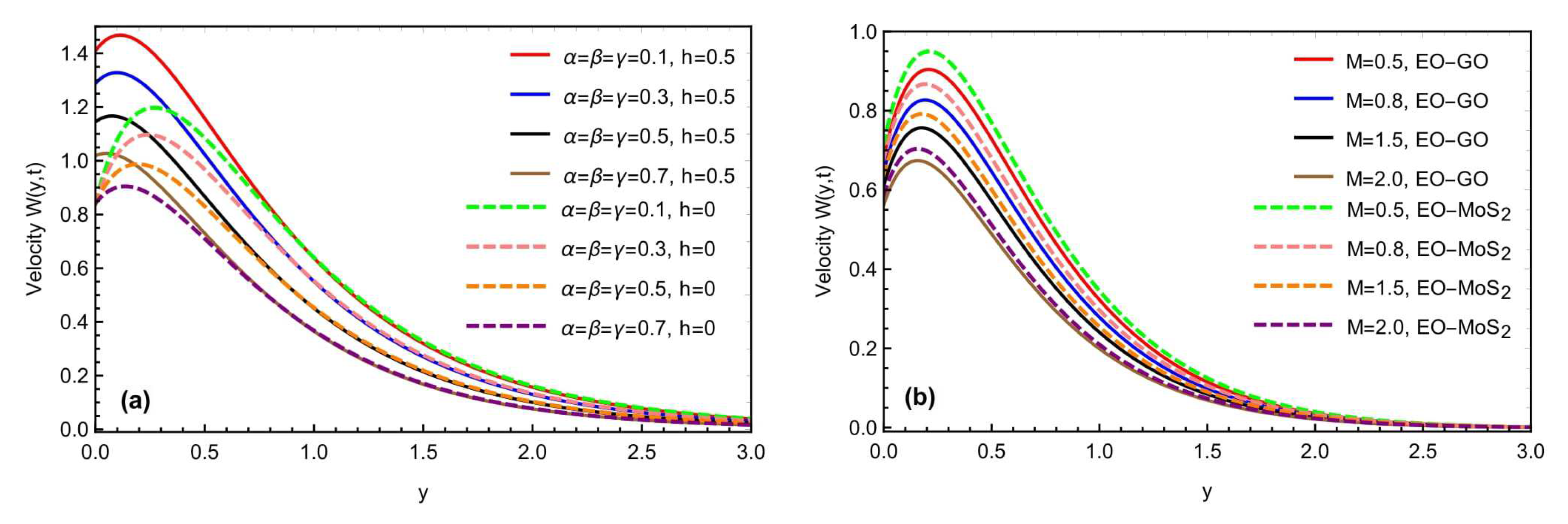
- The fractional parameters declined the thermal, concentration, and momentum profiles for theand nanoparticle suspension and the rate decrement are thicker as the time instants increase.
- The heat transfer rate for both nanoparticles susceptible to the engine oil base material may be regulated for the specific Prandtl number values.
- Because of the thermal conductivity factor, the thermal performances of the molybdenum disulfide nanoparticles with engine oil base fluid are more progressive than the graphene oxide nanoparticles.
- The changing velocity is caused by the variations in the heat and mass Grashof constants for the molybdenum disulfide engine oil and the graphene oxide engine oil suspensions.
- Using the Prabhakar operators with the fractional coefficient’s parameter settings, might help to select an appropriate computational formula that produces a good consistency between the experimental and theoretical values.
- In the graphical comparison of the attained solution of the momentum profile with Saqib et al. [42], the overlapping of both curves validates the attained results of this study.
- Implementing the Prabhakar fractional derivative technique is also a powerful tool to simulate the analytical expressions for any coupled and nonlinear partial differential system.
- The patterns and characteristics of all physical flow metrics coincide perfectly with the published studies.
- The overlaying of both curves in assessing both numerical techniques confirms the obtained solutions of the governed equations.
Author Contributions
Funding
Data Availability Statement
Acknowledgments
Conflicts of Interest
Nomenclatures
| - | Velocity [m/s] |
| - | Time [s] |
| - | Constant velocity [m/s] |
| - | Temperature [K] |
| - | Temperature of fluid away from the plate [K] |
| - | Fluids temperature at the plate [K] |
| - | Concentration of the fluid |
| - | Fluids concentration at the plate |
| - | Specific heat at constant pressure |
| - | Acceleration due to gravity |
| - | Mass diffusion coefficient |
| - | Schmidt number [] |
| - | Casson fluid parameter [] |
| - | Slip parameter [-] |
| - | Heat Grashof number [-] |
| - | Kinematic viscosity [m2/s] |
| - | Dynamic viscosity |
| - | Electrical conductivity |
| - | Angle of inclination of the plate [-] |
| Prabhakar | Fractional derivative operators [-] |
| - | Angle of inclination of magnetic field [-] |
| - | Prandtl number [-] |
| - | Porosity parameter [-] |
| - | Mass Grashof number [-] |
| - | Laplace transformed variable [-] |
| - | Nusselt number [-] |
| - | Skin friction [-] |
| Note: This [-] represents the dimensionless quantity. | |
References
- Gumber, P.; Yaseen, M.; Rawat, S.K.; Kumar, M. Heat transfer in micropolar hybrid nanofluid flow past a vertical plate in the presence of thermal radiation and suction/injection effects. Partial. Differ. Equ. Appl. Math. 2022, 5, 100240. [Google Scholar] [CrossRef]
- Aliseda, A.; Hopfinger, E.J.; Lasheras, J.C.; Kremer, D.; Berchielli, A.; Connolly, E. Atomization of viscous and non-Newtonian liquids by a coaxial, high-speed gas jet. Experiments and droplet size modeling. Int. J. Multiph. Flow 2008, 34, 161–175. [Google Scholar] [CrossRef]
- Lissant, K.J. Non-Newtonian Pharmaceutical Compositions. U.S. Patent 4,040,857, 9 August 1977. [Google Scholar]
- Muskat, M. The flow of homogeneous fluids through porous media. JW Edwards. Inc. Ann Arbor, Michigan 1946, 763, 100. [Google Scholar]
- Brinkman, H.C. On the permeability of media consisting of closely packed porous particles. Flow Turbul. Combust. 1949, 1, 81–86. [Google Scholar] [CrossRef]
- Neale, G.; Nader, W. Practical significance of Brinkman’s extension of Darcy’s law: Coupled parallel flows within a channel and a bounding porous medium. Can. J. Chem. Eng. 1974, 52, 475–478. [Google Scholar] [CrossRef]
- Jie, Z.; Ijaz Khan, M.; Al-Khaled, K.; El-Zahar, E.R.; Acharya, N.; Raza, A.; Khan, S.U.; Xia, W.F.; Tao, N.X. Thermal transport model for Brinkman type nanofluid containing carbon nanotubes with sinusoidal oscillations conditions: A fractional derivative concept. Waves Random Complex Media 2022, 1–20. [Google Scholar] [CrossRef]
- Raza, A.; Ghaffari, A.; Khan, S.U.; Haq, A.U.; Khan, M.I.; Khan, M.R. Non-singular fractional computations for the radiative heat and mass transfer phenomenon subject to mixed convection and slip boundary effects. Chaos Solitons Fractals 2022, 155, 111708. [Google Scholar] [CrossRef]
- Sadripour, S. 3D numerical analysis of atmospheric-aerosol/carbon-black nanofluid flow within a solar air heater located in Shiraz, Iran. Int. J. Numer. Methods Heat Fluid Flow 2018, 29, 1378–1402. [Google Scholar] [CrossRef]
- Shateyi, S.; Prakash, J. A new numerical approach for MHD laminar boundary layer flow and heat transfer of nanofluids over a moving surface in the presence of thermal radiation. Bound. Value Probl. 2014, 2014, 2. [Google Scholar] [CrossRef]
- Srivastava, H.; Dubey, V.; Kumar, R.; Singh, J.; Kumar, D.; Baleanu, D. An efficient computational approach for a fractional-order biological population model with carrying capacity. Chaos Solitons Fractals 2020, 138, 109880. [Google Scholar] [CrossRef]
- Kumar, S.; Gómez-Aguilar, J.F. Numerical solution of Caputo-Fabrizio time fractional distributed order reaction-diffusion equation via quasi wavelet based numerical method. J. Appl. Comput. Mech. 2020, 6, 848–861. [Google Scholar]
- Mahanthesh, B. Flow and heat transport of nanomaterial with quadratic radiative heat flux and aggregation kinematics of nanoparticles. Int. Commun. Heat Mass Transf. 2021, 127, 105521. [Google Scholar] [CrossRef]
- Rana, P.; Mahanthesh, B.; Mackolil, J.; Al-Kouz, W. Nanofluid flow past a vertical plate with nanoparticle aggregation kinematics, thermal slip and significant buoyancy force effects using modified Buongiorno model. Waves Random Complex Media 2021, 1–25. [Google Scholar] [CrossRef]
- Mishra, S.; Mahanthesh, B.; Mackolil, J.; Pattnaik, P.K. Nonlinear radiation and cross-diffusion effects on the micropolar nanoliquid flow past a stretching sheet with an exponential heat source. Heat Transfer 2021, 50, 3530–3546. [Google Scholar] [CrossRef]
- Swain, K.; Mahanthesh, B. Thermal enhancement of radiating magneto-nanoliquid with nanoparticles aggregation and joule heating: A three-dimensional flow. Arab. J. Sci. Eng. 2021, 46, 5865–5873. [Google Scholar] [CrossRef]
- Abro, K.A.; Khan, I.; Gomez-Aguilar, J. Heat transfer in magnetohydrodynamic free convection flow of generalized ferrofluid with magnetite nanoparticles. J. Therm. Anal. Calorim. 2021, 143, 3633–3642. [Google Scholar] [CrossRef]
- Turkyilmazoglu, M. On the transparent effects of Buongiorno nanofluid model on heat and mass transfer. Eur. Phys. J. Plus 2021, 136, 376. [Google Scholar] [CrossRef]
- Jabbaripour, B.; Rostami, M.N.; Dinarvand, S.; Pop, I. Aqueous aluminium–copper hybrid nanofluid flow past a sinusoidal cylinder considering three-dimensional magnetic field and slip boundary condition. Proc. Inst. Mech. Eng. Part E J. Process Mech. Eng. 2021. [Google Scholar] [CrossRef]
- Raza, A.; Khan, U.; Almusawa, M.; Hamali, W.; Galal, A.M. Prabhakar-fractional simulations for the exact solution of Casson-type fluid with experiencing the effects of magneto-hydrodynamics and sinusoidal thermal conditions. Int. J. Mod. Phys. B 2022. [Google Scholar] [CrossRef]
- Izady, M.; Dinarvand, S.; Pop, I.; Chamkha, A.J. Flow of aqueous Fe2O3–CuO hybrid nanofluid over a permeable stretching/shrinking wedge: A development on Falkner–Skan problem. Chin. J. Phys. 2021, 74, 406–420. [Google Scholar] [CrossRef]
- Gómez-Aguilar, J.F.; ur Rahman, G.; Javed, M. Stability analysis for fractional order implicit ψ-Hilfer differential equations. Math. Methods Appl. Sci. 2022, 45, 2701–2712. [Google Scholar]
- Mackolil, J.; Mahanthesh, B. Computational simulation of surface tension and gravitation-induced convective flow of a nanoliquid with cross-diffusion: An optimization procedure. Appl. Math. Comput. 2022, 425, 127108. [Google Scholar] [CrossRef]
- Bafakeeh, O.T.; Raza, A.; Khan, S.U.; Khan, M.I.; Nasr, A.; Khedher, N.B.; Tag-Eldin, E.S.M. Physical Interpretation of Nanofluid (Copper Oxide and Silver) with Slip and Mixed Convection Effects: Applications of Fractional Derivatives. Appl. Sci. 2022, 12, 10860. [Google Scholar] [CrossRef]
- Khan, S.U.; Usman; Raza, A.; Kanwal, A.; Javid, K. Mixed convection radiated flow of Jeffery-type hybrid nanofluid due to inclined oscillating surface with slip effects: A comparative fractional model. Waves Random Complex Media 2022, 1–22. [Google Scholar] [CrossRef]
- Shafee, A.; Arabkoohsar, A.; Sheikholeslami, M.; Jafaryar, M.; Ayani, M.; Nguyen-Thoi, T.; Basha, D.B.; Tlili, I.; Li, Z. Numerical simulation for turbulent flow in a tube with combined swirl flow device considering nanofluid exergy loss. Phys. A Stat. Mech. Its Appl. 2020, 542, 122161. [Google Scholar] [CrossRef]
- Farshad, S.A.; Sheikholeslami, M. Numerical examination for entropy generation of turbulent nanomaterial flow using complex turbulator in a solar collector. Phys. A: Stat. Mech. Its Appl. 2020, 550, 123951. [Google Scholar] [CrossRef]
- Hussanan, A.; Khan, I.; Hashim, H.; Anuar, M.K.; Ishak, N.; Sarif, N.M.; Salleh, M.Z. Unsteady MHD flow of some nanofluids past an accelerated vertical plate embedded in a porous medium. J. Teknol. 2016, 78, 121–126. [Google Scholar] [CrossRef]
- Sheikholeslami, M.; Zia, Q.Z.; Ellahi, R. Influence of induced magnetic field on free convection of nanofluid considering Koo-Kleinstreuer-Li (KKL) correlation. Appl. Sci. 2016, 6, 324. [Google Scholar] [CrossRef]
- Akyürek, E.F.; Geliş, K.; Şahin, B.; Manay, E. Experimental analysis for heat transfer of nanofluid with wire coil turbulators in a concentric tube heat exchanger. Results Phys. 2018, 9, 376–389. [Google Scholar] [CrossRef]
- Khan, M.I.; Raza, A.; Naseem, M.; Al-Khaled, K.; Khan, S.U.; Khan, M.I.; El-Zahar, E.R.; Malik, M.Y. Comparative analysis for radiative slip flow of magnetized viscous fluid with mixed convection features: Atangana-Baleanu and Caputo-Fabrizio fractional simulations. Case Stud. Therm. Eng. 2021, 28, 101682. [Google Scholar] [CrossRef]
- Raza, A.; Khan, S.U.; Khan, M.I.; El-Zahar, E.R. Heat Transfer Analysis for Oscillating Flow of Magnetized Fluid by Using the Modified Prabhakar-Like Fractional Derivatives. Res. Sq. 2021. [Google Scholar] [CrossRef]
- Tian, Y.; Zhong, L.-F.; He, G.-T.; Yu, T.; Luo, M.-K.; Stanley, H.E. The resonant behavior in the oscillator with double fractional-order damping under the action of nonlinear multiplicative noise. Phys. A Stat. Mech. Its Appl. 2018, 490, 845–856. [Google Scholar] [CrossRef]
- Rathore, N. Darcy–Forchheimer and Ohmic heating effects on GO-TiO2 suspended cross nanofluid flow through stenosis artery. Proc. Inst. Mech. Eng. Part C J. Mech. Eng. Sci. 2022, 236. [Google Scholar] [CrossRef]
- Mabood, F.; Ashwinkumar, G.; Sandeep, N. Effect of nonlinear radiation on 3D unsteady MHD stagnancy flow of Fe3O4/graphene–water hybrid nanofluid. Int. J. Ambient. Energy 2022, 43, 3385–3395. [Google Scholar] [CrossRef]
- Sandeep, N. Effect of aligned magnetic field on liquid thin film flow of magnetic-nanofluids embedded with graphene nanoparticles. Adv. Powder Technol. 2017, 28, 865–875. [Google Scholar] [CrossRef]
- Rosa, C.; de Oliveira, E.C. Relaxation equations: Fractional models. J. Phys. Math. 2015, 6, 1–7. [Google Scholar]
- Atangana, A.; Baleanu, D. New fractional derivatives with nonlocal and non-singular kernel: Theory and application to heat transfer model. arXiv 2016, arXiv:1602.03408. [Google Scholar] [CrossRef]
- Wang, Y.; Mansir, I.B.; Al-Khaled, K.; Raza, A.; Khan, S.U.; Khan, M.I.; Ahmed, A.E.S. Thermal outcomes for blood-based carbon nanotubes (SWCNT and MWCNTs) with Newtonian heating by using new Prabhakar fractional derivative simulations. Case Stud. Therm. Eng. 2022, 32, 101904. [Google Scholar] [CrossRef]
- Mahanthesh, B.; Brizlyn, T.; Shehzad, S.; Gireesha, B. Nonlinear thermo-solutal convective flow of Casson fluid over an oscillating plate due to non-coaxial rotation with quadratic density fluctuation: Exact solutions. Multidiscip. Model. Mater. Struct. 2019, 15, 818–842. [Google Scholar] [CrossRef]
- Abro, K.A.; Mirbhar, M.N.; Gomez-Aguilar, J. Functional application of Fourier sine transform in radiating gas flow with non-singular and non-local kernel. J. Braz. Soc. Mech. Sci. Eng. 2019, 41, 400. [Google Scholar] [CrossRef]
- Saqib, M.; Khan, I.; Shafie, S.; Mohamad, A.Q.; Sherif, E.-S.M. Analysis of magnetic resistive flow of generalized Brinkman type nanofluid containing carbon nanotubes with ramped heating. Comput Mater Contin 2021, 67, 1069–1084. [Google Scholar] [CrossRef]
- Khan, H.; Gómez-Aguilar, J.; Khan, A.; Khan, T.S. Stability analysis for fractional order advection–reaction diffusion system. Phys. A Stat. Mech. Its Appl. 2019, 521, 737–751. [Google Scholar] [CrossRef]
- Abro, K.A.; Khan, I.; Gómez-Aguilar, J. Thermal effects of magnetohydrodynamic micropolar fluid embedded in porous medium with Fourier sine transform technique. J. Braz. Soc. Mech. Sci. Eng. 2019, 41, 174. [Google Scholar] [CrossRef]
- Siddiqui, A.A.; Turkyilmazoglu, M. A new theoretical approach of wall transpiration in the cavity flow of the ferrofluids. Micromachines 2019, 10, 373. [Google Scholar] [CrossRef] [PubMed]
- Pandey, P.; Kumar, S.; Gómez, F. Approximate analytical solution of two-dimensional space-time fractional diffusion equation. Math. Methods Appl. Sci. 2020, 43, 7194–7207. [Google Scholar] [CrossRef]
- Ahokposi, D.; Atangana, A.; Vermeulen, D. Modelling groundwater fractal flow with fractional differentiation via Mittag-Leffler law. Eur. Phys. J. Plus 2017, 132, 165. [Google Scholar] [CrossRef]
- Khan, I.; Shah, N.A.; Vieru, D. Unsteady flow of generalized Casson fluid with fractional derivative due to an infinite plate. Eur. Phys. J. Plus 2016, 131, 181. [Google Scholar] [CrossRef]
- Khan, I.; Shah, N.A.; Mahsud, Y.; Vieru, D. Heat transfer analysis in a Maxwell fluid over an oscillating vertical plate using fractional Caputo-Fabrizio derivatives. Eur. Phys. J. Plus 2017, 132, 194. [Google Scholar] [CrossRef]
- Shah, N.A.; Vieru, D.; Fetecau, C. Effects of the fractional order and magnetic field on the blood flow in cylindrical domains. J. Magn. Magn. Mater. 2016, 409, 10–19. [Google Scholar] [CrossRef]
- Mahanthesh, B.; Mackolil, J. Flow of nanoliquid past a vertical plate with novel quadratic thermal radiation and quadratic Boussinesq approximation: Sensitivity analysis. Int. Commun. Heat Mass Transf. 2021, 120, 105040. [Google Scholar] [CrossRef]
- Ahmad, M.; Asjad, M.I.; Nisar, K.S.; Khan, I. Mechanical and thermal energies transport flow of a second grade fluid with novel fractional derivative. Proc. Inst. Mech. Eng. Part E J. Process Mech. Eng. 2021. [Google Scholar] [CrossRef]
- Ghalib, M.M.; Zafar, A.A.; Riaz, M.B.; Hammouch, Z.; Shabbir, K. Analytical approach for the steady MHD conjugate viscous fluid flow in a porous medium with nonsingular fractional derivative. Phys. A Stat. Mech. Its Appl. 2020, 554, 123941. [Google Scholar] [CrossRef]
- Fallah, B.; Dinarvand, S.; Yazdi, M.E.; Rostami, M.N.; Pop, I. MHD flow and heat transfer of SiC-TiO2/DO hybrid nanofluid due to a permeable spinning disk by a novel algorithm. J. Appl. Comput. Mech. 2019, 5, 976–988. [Google Scholar]
- Arif, M.; Kumam, P.; Khan, D.; Watthayu, W. Thermal performance of GO-MoS2/engine oil as Maxwell hybrid nanofluid flow with heat transfer in oscillating vertical cylinder. Case Stud. Therm. Eng. 2021, 27, 101290. [Google Scholar] [CrossRef]
- Basit, A.; Asjad, M.I.; Akgül, A. Convective flow of a fractional second grade fluid containing different nanoparticles with Prabhakar fractional derivative subject to non-uniform velocity at the boundary. Math. Methods Appl. Sci. 2021. [Google Scholar] [CrossRef]
- Kolsi, L.; Raza, A.; Al-Khaled, K.; Ghachem, K.; Khan, S.U.; Haq, A.U. Thermal applications of copper oxide, silver, and titanium dioxide nanoparticles via fractional derivative approach. Waves Random Complex Media 2022, 1–14. [Google Scholar] [CrossRef]
- Riaz, M.B.; Siddique, I.; Saeed, S.T.; Atangana, A. MHD Oldroyd-B Fluid with Slip Condition in view of Local and Nonlocal Kernels. J. Appl. Comput. Mech. 2020. [Google Scholar] [CrossRef]











| Thermal Features | Nanofluid |
|---|---|
| Density | |
| Dynamic Viscosity | |
| Thermal Expansion Coefficient | |
| Electrical Conductivity | |
| Concentration Expansion Coefficient | |
| Thermal Conductivity | |
| Heat Capacitance |
| Material | Engine Oil | MoS2 | GO |
|---|---|---|---|
| 884 | 5060 | 1800 | |
| 1910 | 397.21 | 717 | |
| k (W/m K) | 0.144 | 904.4 | 5000 |
| 233 | - | - |
| y | Temp by Stehfest | Temp by Stehfest | Conc by Tzou | Conc by Tzou | Vel by Stehfest | Vel by Tzou |
|---|---|---|---|---|---|---|
| 0.1 | 0.702 | 0.733 | 0.795 | 0.801 | 0.684 | 0.681 |
| 0.3 | 0.480 | 0.489 | 0.501 | 0.514 | 0.553 | 0.547 |
| 0.5 | 0.328 | 0.326 | 0.314 | 0.328 | 0.414 | 0.407 |
| 0.7 | 0.224 | 0.217 | 0.196 | 0.209 | 0.296 | 0.289 |
| 0.9 | 0.153 | 0.144 | 0.121 | 0.132 | 0.206 | 0.199 |
| 1.1 | 0.104 | 0.095 | 0.074 | 0.083 | 0.141 | 0.134 |
| 1.3 | 0.071 | 0.063 | 0.044 | 0.052 | 0.095 | 0.089 |
| 1.5 | 0.049 | 0.041 | 0.026 | 0.032 | 0.063 | 0.059 |
| 1.7 | 0.033 | 0.027 | 0.015 | 0.022 | 0.042 | 0.038 |
| 1.9 | 0.023 | 0.018 | 0.009 | 0.012 | 0.028 | 0.024 |
| 0.1 | 0.02 | 0.6 | 4.7 | 1.856 | 1.640 | 1.230 |
| 0.2 | 0.02 | 0.6 | 4.7 | 1.773 | 1.709 | 1.105 |
| 0.3 | 0.02 | 0.6 | 4.7 | 1.708 | 1.776 | 1.012 |
| 0.2 | 0.01 | 0.6 | 4.7 | 1.521 | 1.694 | 0.380 |
| 0.2 | 0.02 | 0.6 | 4.7 | 1.353 | 1.598 | 0.163 |
| 0.2 | 0.03 | 0.6 | 4.7 | 1.270 | 1.576 | 0.059 |
| 0.2 | 0.02 | 0.5 | 4.7 | 1.523 | 2.014 | 0.562 |
| 0.2 | 0.02 | 0.6 | 4.7 | 1.473 | 2.071 | 0.163 |
| 0.2 | 0.02 | 0.7 | 4.7 | 1.418 | 2.135 | 0.059 |
| 0.2 | 0.02 | 0.6 | 4.5 | 1.521 | 1.694 | 0.380 |
| 0.2 | 0.02 | 0.6 | 4.6 | 1.353 | 1.598 | 0.163 |
| 0.2 | 0.02 | 0.6 | 4.7 | 1.270 | 1.576 | 0.059 |
| y | Velocity by This Study | Velocity by Saqib et al. [42] | Percentage Difference of both Velocities |
|---|---|---|---|
| 0.1 | 0.887 | 0.901 | 0.086% |
| 0.3 | 0.764 | 0.771 | 0.107% |
| 0.5 | 0.604 | 0.608 | 0.127% |
| 0.7 | 0.457 | 0.458 | 0.181% |
| 0.9 | 0.337 | 0.336 | 0.248% |
| 1.1 | 0.244 | 0.243 | 0.272% |
| 1.3 | 0.176 | 0.174 | 0.267% |
| 1.5 | 0.126 | 0.124 | 0.244% |
| 1.7 | 0.089 | 0.083 | 0.214% |
| 1.9 | 0.064 | 0.063 | 0.182% |
Publisher’s Note: MDPI stays neutral with regard to jurisdictional claims in published maps and institutional affiliations. |
© 2022 by the authors. Licensee MDPI, Basel, Switzerland. This article is an open access article distributed under the terms and conditions of the Creative Commons Attribution (CC BY) license (https://creativecommons.org/licenses/by/4.0/).
Share and Cite
Raza, A.; Khan, U.; Eldin, S.M.; Alotaibi, A.M.; Elattar, S.; Prasannakumara, B.C.; Akkurt, N.; Abed, A.M. Significance of Free Convection Flow over an Oscillating Inclined Plate Induced by Nanofluid with Porous Medium: The Case of the Prabhakar Fractional Approach. Micromachines 2022, 13, 2019. https://doi.org/10.3390/mi13112019
Raza A, Khan U, Eldin SM, Alotaibi AM, Elattar S, Prasannakumara BC, Akkurt N, Abed AM. Significance of Free Convection Flow over an Oscillating Inclined Plate Induced by Nanofluid with Porous Medium: The Case of the Prabhakar Fractional Approach. Micromachines. 2022; 13(11):2019. https://doi.org/10.3390/mi13112019
Chicago/Turabian StyleRaza, Ali, Umair Khan, Sayed M. Eldin, Abeer M. Alotaibi, Samia Elattar, Ballajja C. Prasannakumara, Nevzat Akkurt, and Ahmed M. Abed. 2022. "Significance of Free Convection Flow over an Oscillating Inclined Plate Induced by Nanofluid with Porous Medium: The Case of the Prabhakar Fractional Approach" Micromachines 13, no. 11: 2019. https://doi.org/10.3390/mi13112019
APA StyleRaza, A., Khan, U., Eldin, S. M., Alotaibi, A. M., Elattar, S., Prasannakumara, B. C., Akkurt, N., & Abed, A. M. (2022). Significance of Free Convection Flow over an Oscillating Inclined Plate Induced by Nanofluid with Porous Medium: The Case of the Prabhakar Fractional Approach. Micromachines, 13(11), 2019. https://doi.org/10.3390/mi13112019

