Four-Port Dual-Band Multiple-Input Multiple-Output Dielectric Resonator Antenna for Sub-6 GHz 5G Communication Applications
Abstract
1. Introduction
2. Antenna Design
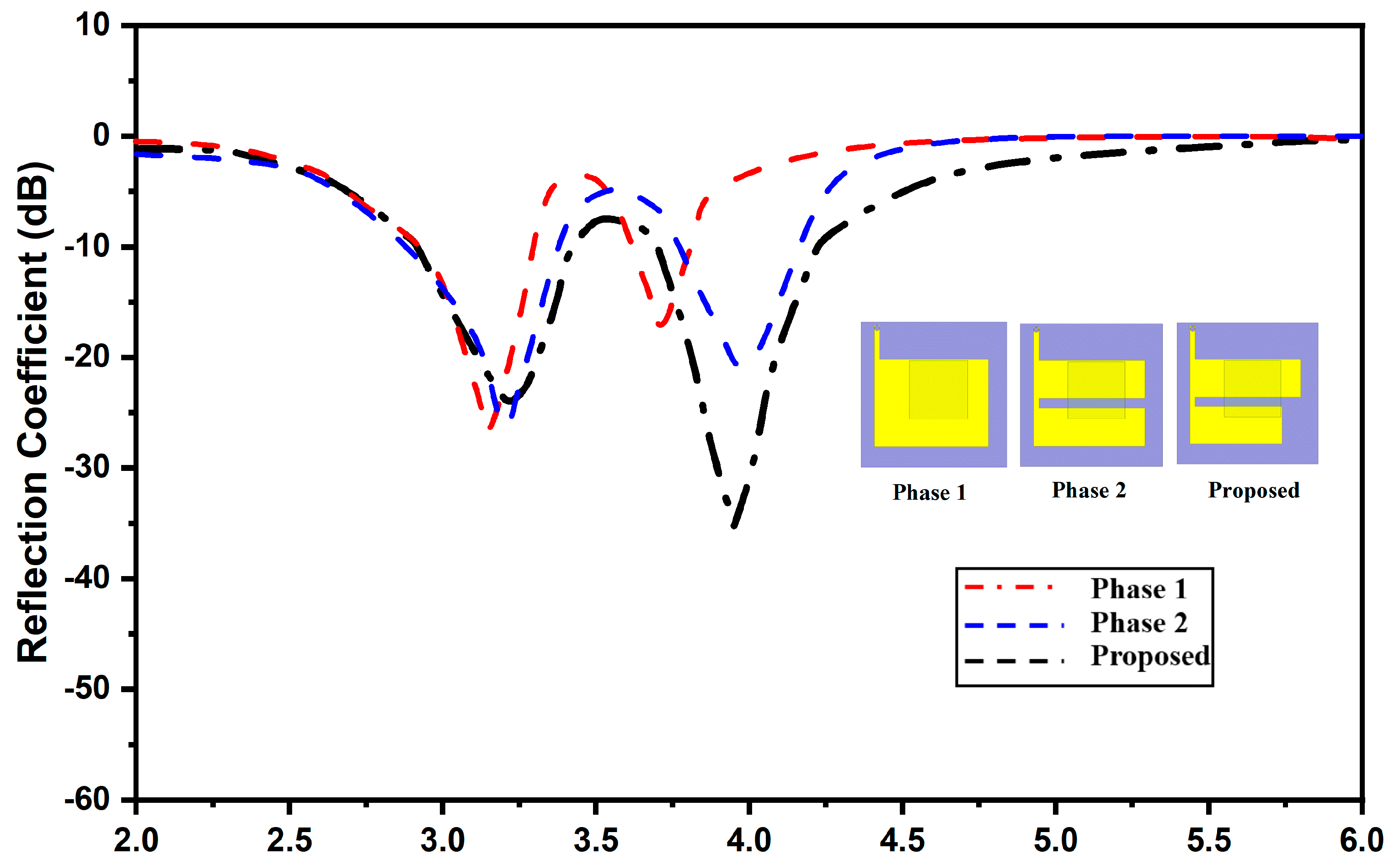
3. Design Optimization
4. MIMO Antenna Design Configuration
5. Proposed Antenna Results and Discussions
6. Conclusions
Author Contributions
Funding
Data Availability Statement
Conflicts of Interest
References
- Sharawi, M.S. Printed multi-band MIMO antenna systems and their performance metrics [wireless corner]. IEEE Antennas Propag. Mag. 2013, 55, 218–232. [Google Scholar] [CrossRef]
- Karaboikis, M.P.; Papamichael, V.C.; Tsachtsiris, G.F.; Soras, C.F.; Makios, V.T. Integrating compact printed antennas onto small diversity/MIMO terminals. IEEE Trans. Antennas Propag. 2008, 56, 2067–2078. [Google Scholar] [CrossRef]
- Huang, H.; Li, X.; Liu, Y. A low-profile, dual-polarized patch antenna for 5G MIMO application. IEEE Trans. Antennas Propag. 2018, 67, 1275–1279. [Google Scholar] [CrossRef]
- Li, Y.; Zhao, Z.; Tang, Z.; Yin, Y. Differentially fed, dual-band dual-polarized filtering antenna with high selectivity for 5G sub-6 GHz base station applications. IEEE Trans. Antennas Propag. 2019, 68, 3231–3236. [Google Scholar] [CrossRef]
- Le Thi, C.H.; Ta, S.X.; Nguyen, X.Q.; Nguyen, K.K.; Dao-Ngoc, C. Design of compact broadband dual-polarized antenna for 5G applications. Int. J. RF Microw. Comput. Aided Eng. 2021, 31, e22615. [Google Scholar] [CrossRef]
- Chouhan, S.; Panda, D.K.; Kushwah, V.S.; Mishra, P.K. Octagonal-shaped wideband MIMO antenna for human interface device and S-band application. Int. J. Microw. Wirel. Technol. 2019, 11, 287–296. [Google Scholar] [CrossRef]
- Yadav, S.K.; Kaur, A.; Khanna, R. Compact Rack Shaped MIMO Dielectric Resonator Antenna with Improved Axial Ratio for UWB Applications. Wirel. Pers. Commun. 2021, 117, 591–606. [Google Scholar] [CrossRef]
- Girjashankar, P.R.; Upadhyaya, T. Substrate integrated waveguide fed dual band quad-elements rectangular dielectric resonator MIMO antenna for millimeter wave 5G wireless communication systems. AEU-Int. J. Electron. Commun. 2021, 137, 153821. [Google Scholar] [CrossRef]
- Anuar, S.U.; Jamaluddin, M.H.; Din, J.; Kamardin, K.; Dahri, M.H.; Idris, I.H. Triple band MIMO dielectric resonator antenna for LTE applications. AEU-Int. J. Electron. Commun. 2020, 118, 153172. [Google Scholar] [CrossRef]
- Dwivedi, A.K.; Sharma, A.; Singh, A.K.; Singh, V. Circularly polarized quad-port MIMO dielectric resonator antenna with beam tilting feature for vehicular communication. IETE Tech. Rev. 2020, 39, 389–401. [Google Scholar] [CrossRef]
- Alibakhshikenari, M.; Babaeian, F.; Virdee, B.S.; Aïssa, S.; Azpilicueta, L.; See, C.H.; Althuwayb, A.A.; Huynen, I.; Abd-Alhameed, R.A.; Falcone, F.; et al. A comprehensive survey on “Various decoupling mechanisms with focus on metamaterial and metasurface principles applicable to SAR and MIMO antenna systems”. IEEE Access 2020, 8, 192965–193004. [Google Scholar] [CrossRef]
- Wang, Z.; Li, C.; Wu, Q.; Yin, Y. A metasurface-based low-profile array decoupling technology to enhance isolation in MIMO antenna systems. IEEE Access 2020, 8, 125565–125575. [Google Scholar] [CrossRef]
- Bhattacharjee, A.; Karmakar, A.; Saha, A.; Bhattacharya, D. Design of a compact UWB MIMO-diversity antenna incorporating fractal inspired isolation structure with band notch characteristics. Microw. Opt. Technol. Lett. 2021, 63, 2597–2605. [Google Scholar] [CrossRef]
- Yang, Z.; Xiao, J.; Ye, Q. Enhancing MIMO antenna isolation characteristic by manipulating the propagation of surface wave. IEEE Access 2020, 8, 115572–115581. [Google Scholar] [CrossRef]
- Tang, J.; Faraz, F.; Chen, X.; Zhang, Q.; Li, Q.; Li, Y.; Zhang, S. A metasurface superstrate for mutual coupling reduction of large antenna arrays. IEEE Access 2020, 8, 126859–126867. [Google Scholar] [CrossRef]
- Deng, J.Y.; Li, J.Y.; Guo, L.X. Decoupling of a three-port MIMO antenna with different impedances using reactively loaded dummy elements. IEEE Antennas Wirel. Propag. Lett. 2018, 17, 430–433. [Google Scholar] [CrossRef]
- Roy, S.; Chakraborty, U. Mutual coupling reduction in a multi-band MIMO antenna using meta-inspired decoupling network. Wirel. Pers. Commun. 2020, 114, 3231–3246. [Google Scholar] [CrossRef]
- Moussa, K.H.; Amar, A.S.; Mabrouk, M.; Mohamed, H.G. Slotted E-Shaped Meta-Material Decoupling Slab for Densely Packed MIMO Antenna Arrays. Micromachines 2021, 12, 873. [Google Scholar] [CrossRef]
- Li, M.; Cheung, S. A novel calculation-based parasitic decoupling technique for increasing isolation in multiple-element MIMO antenna arrays. IEEE Trans. Veh. Technol. 2020, 70, 446–458. [Google Scholar] [CrossRef]
- Ding, C.F.; Zhang, X.Y.; Xue, C.D. Novel pattern-diversity-based decoupling method and its application to multielement MIMO antenna. IEEE Trans. Antennas Propag. 2018, 66, 4976–4985. [Google Scholar] [CrossRef]
- Kumar, S.; Nandan, D.; Srivastava, K.; Kumar, S.; Singh, H.; Marey, M.; Mostafa, H.; Kanaujia, B.K. Wideband circularly polarized textile MIMO antenna for wearable applications. IEEE Access 2021, 9, 108601–108613. [Google Scholar] [CrossRef]
- Huang, J.; Dong, G.; Cai, J.; Li, H.; Liu, G. A quad-port dual-band MIMO antenna array for 5G smartphone applications. Electronics 2021, 10, 542. [Google Scholar] [CrossRef]
- Pant, A.; Singh, M.; Parihar, M.S. A frequency reconfigurable/switchable MIMO antenna for LTE and early 5G applications. AEU-Int. J. Electron. Commun. 2021, 131, 153638. [Google Scholar] [CrossRef]
- El Hadri, D.; Zakriti, A.; Zugari, A.; El Ouahabi, M.; El Aoufi, J. High isolation and ideal correlation using spatial diversity in a compact MIMO antenna for fifth-generation applications. Int. J. Antennas Propag. 2020, 2020, 2740920. [Google Scholar] [CrossRef]
- Jin, X.; Qiu, Y.; Wu, D.; Yu, G.; Guo, R.; Wu, G.; Zhu, M.; Zhou, H.M. A Low-Profile Dual-Polarized MIMO Antenna with an AMC Surface for WLAN Applications. Int. J. Antennas Propag. 2021, 2021, 9218255. [Google Scholar] [CrossRef]
- Laxman, P.; Jain, A. Circularly Polarized Wideband Fabric Stealth Multiple-Input Multiple-Output Antenna for Ultrawideband Applications Useful for Wireless Systems Wearable on Garments. Int. J. Antennas Propag. 2021, 2021, 1426680. [Google Scholar] [CrossRef]
- Daghari, M.; Essid, C.; Sakli, H. Muli-UWB Antenna System Design for 5G Wireless Applications with Diversity. Wirel. Commun. Mob. Comput. 2021, 2021, 9966581. [Google Scholar] [CrossRef]
- Upadhyaya, T.; Park, I.; Pandey, R.; Patel, U.; Pandya, K.; Desai, A.; Pabari, J.; Byun, G.; Kosta, Y. Aperture-Fed Quad-Port Dual-Band Dielectric Resonator-MIMO Antenna for Sub-6 GHz 5G and WLAN Application. Int. J. Antennas Propag. 2022, 2022, 4136347. [Google Scholar] [CrossRef]
- Ali, A.; Tong, J.; Iqbal, J.; Illahi, U.; Rauf, A.; Rehman, S.U.; Ali, H.; Qadir, M.M.; Khan, M.A.; Ghoniem, R.M. Mutual Coupling Reduction through Defected Ground Structure in Circularly Polarized, Dielectric Resonator-Based MIMO Antennas for Sub-6 GHz 5G Applications. Micromachines 2022, 13, 1082. [Google Scholar] [CrossRef]
- Singhwal, S.S.; Kanaujia, B.K.; Singh, A.; Kishor, J.; Matekovits, L. Multiple input multiple output dielectric resonator antenna with circular polarized adaptability for 5G applications. J. Electromagn. Waves Appl. 2020, 34, 1180–1194. [Google Scholar] [CrossRef]
- Iqbal, A.; Nasir, J.; Qureshi, M.B.; Khan, A.A.; Rehman, J.U.; Rahman, H.U.; Fayyaz, M.A.; Nawaz, R. A CPW fed quad-port MIMO DRA for sub-6 GHz 5G applications. PLoS ONE 2022, 17, e0268867. [Google Scholar] [CrossRef] [PubMed]
- Roshani, S.; Yahya, S.I.; Alameri, B.M.; Mezaal, Y.S.; Liu, L.W.; Roshani, S. Filtering Power Divider Design Using Resonant LC Branches for 5G Low-Band Applications. Sustainability 2022, 14, 12291. [Google Scholar] [CrossRef]
- Sarkar, G.A.; Ballav, S.; Chatterjee, A.; Ranjit, S.; Parui, S.K. Four element MIMO DRA with high isolation for WLAN applications. Prog. Electromagn. Res. Lett. 2019, 84, 99–106. [Google Scholar] [CrossRef]
- Dwivedi, A.K.; Sharma, A.; Singh, A.K.; Singh, V. Design of dual band four port circularly polarized MIMO DRA for WLAN/WiMAX applications. J. Electromagn. Waves Appl. 2020, 34, 1990–2009. [Google Scholar] [CrossRef]
- Varshney, G.; Singh, R.; Pandey, V.S.; Yaduvanshi, R.S. Circularly polarized two-port MIMO dielectric resonator antenna. Prog. Electromagn. Res. M 2020, 91, 19–28. [Google Scholar] [CrossRef]
- Fakhte, S.; Oraizi, H. Compact uniaxial anisotropic dielectric resonator antenna operating at higher order radiating mode. Electron. Lett. 2016, 52, 1579–1580. [Google Scholar] [CrossRef]
- Mukherjee, B.; Patel, P.; Mukherjee, J. Hemispherical dielectric resonator antenna based on apollonian gasket of circles—A fractal approach. IEEE Trans. Antennas Propag. 2013, 62, 40–47. [Google Scholar] [CrossRef]
- Sharma, A.; Biswas, A. Wideband multiple-input–multiple-output dielectric resonator antenna. IET Microw. Antennas Propag. 2017, 11, 496–502. [Google Scholar] [CrossRef]
- Maity, S.; Gupta, B. Experimental investigations on wideband triangular dielectric resonator antenna. IEEE Trans. Antennas Propag. 2016, 64, 5483–5486. [Google Scholar] [CrossRef]















| Parameter | Dimensions (mm) | Parameter | Dimensions (mm) |
|---|---|---|---|
| S1x = S1y | 30 | Lx3 | 7 |
| Dx = Dy | 12 | Wy1 | 19.5 |
| Lx | 2 | Wy2 | 22.4 |
| Lx1 | 25 | Dh | 10 |
| Lx2 | 8 | t | 1.6 |
| Reference | Operating Frequencies (GHz) | Antenna Size (λ) | Isolation (dB) | Gain (dBi) | Fractional Bandwidth (%) | Efficiency (%) | Feed Type |
|---|---|---|---|---|---|---|---|
| [33] | 4.9 | 2.28 × 0.73 × 0.13 | 25 | 6.2 | 5 | -- | Microstrip |
| [34] | 3.22–3.97, 4.95–5.51 | 0.86 × 0.86 × 0.12 | 18, 20 | 5.2, 5.5 | 4.9, 2.3 | 94 | Microstrip |
| [35] | 5.71–8.2, 7.57–7.95 | 1.53 × 1.53 × 0.12 | 20, 15 | −1.9, 3.8 | 34.8, 4.5 | -- | Microstrip |
| [36] | 3.40–4.13 | 1.13 × 1.13 × 0.19 | 14 | 8.1 | 19.4 | 91 | Probe |
| [37] | 3.50–5.10 | 1.43 × 1.43 × 0.36 | -- | 8.5 | 46 | 89 | Probe |
| [38] | 4.56–9.96 | 1.5 × 1.5 × 0.39 | 23 | -- | 73.9 | -- | Trapezoidal Patch |
| [39] | 4.33–7.02 | 2.6 × 2.6 × 0.36 | -- | -- | 48 | 90 | Probe |
| Proposed Antenna | 2.86–3.48 3.67–4.25 | 0.66 × 0.66 × 0.12 | 20, 26 | 5.8, 6.2 | 18.7, 14.6 | 88.6, 90.2 | Aperture Couple |
Publisher’s Note: MDPI stays neutral with regard to jurisdictional claims in published maps and institutional affiliations. |
© 2022 by the authors. Licensee MDPI, Basel, Switzerland. This article is an open access article distributed under the terms and conditions of the Creative Commons Attribution (CC BY) license (https://creativecommons.org/licenses/by/4.0/).
Share and Cite
Patel, U.; Upadhyaya, T. Four-Port Dual-Band Multiple-Input Multiple-Output Dielectric Resonator Antenna for Sub-6 GHz 5G Communication Applications. Micromachines 2022, 13, 2022. https://doi.org/10.3390/mi13112022
Patel U, Upadhyaya T. Four-Port Dual-Band Multiple-Input Multiple-Output Dielectric Resonator Antenna for Sub-6 GHz 5G Communication Applications. Micromachines. 2022; 13(11):2022. https://doi.org/10.3390/mi13112022
Chicago/Turabian StylePatel, Upesh, and Trushit Upadhyaya. 2022. "Four-Port Dual-Band Multiple-Input Multiple-Output Dielectric Resonator Antenna for Sub-6 GHz 5G Communication Applications" Micromachines 13, no. 11: 2022. https://doi.org/10.3390/mi13112022
APA StylePatel, U., & Upadhyaya, T. (2022). Four-Port Dual-Band Multiple-Input Multiple-Output Dielectric Resonator Antenna for Sub-6 GHz 5G Communication Applications. Micromachines, 13(11), 2022. https://doi.org/10.3390/mi13112022

