Conduction Band Edge Energy Profile Probed by Hall Offset Voltage in InGaZnO Thin Films
Abstract
1. Introduction
2. Experimental Procedure
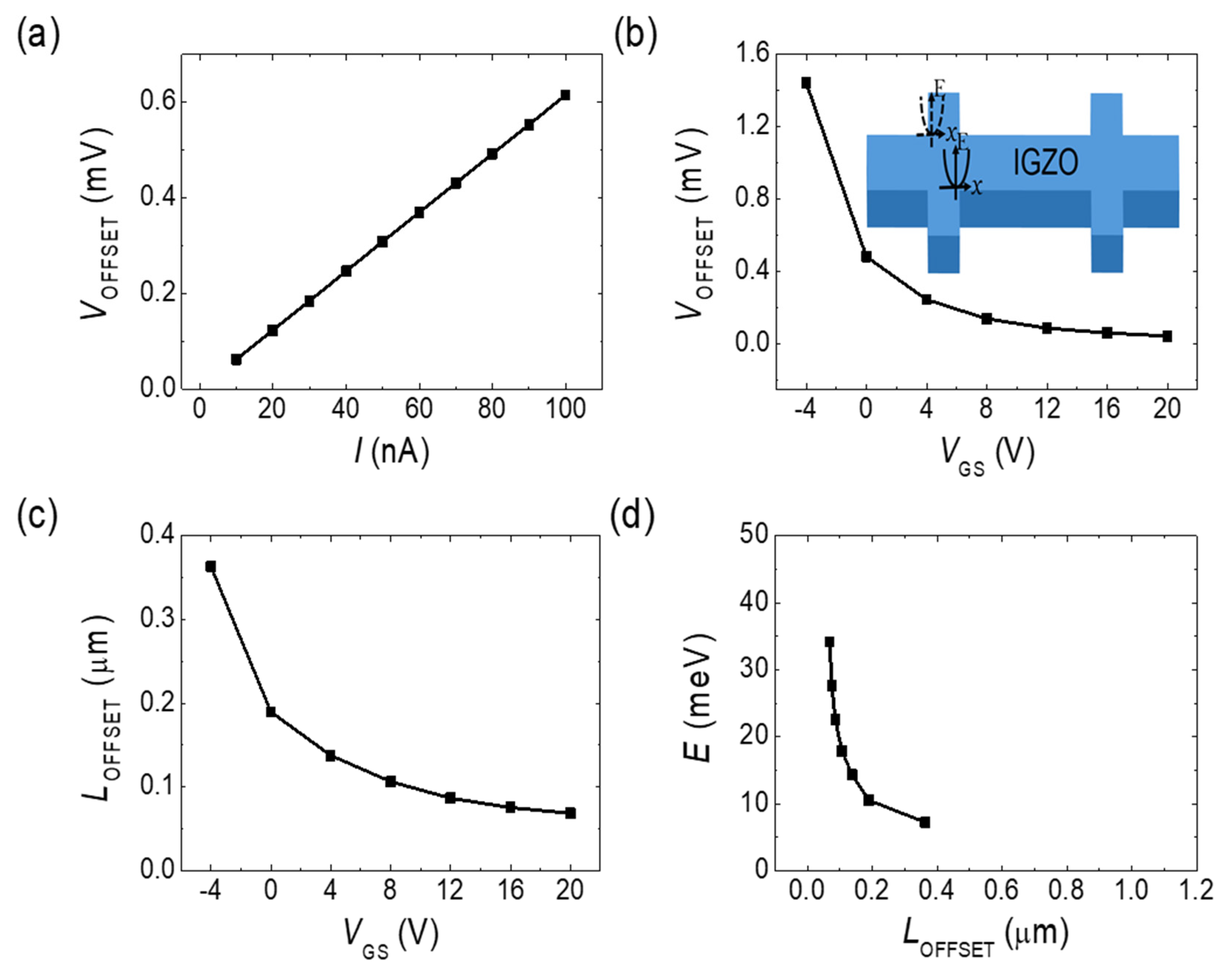
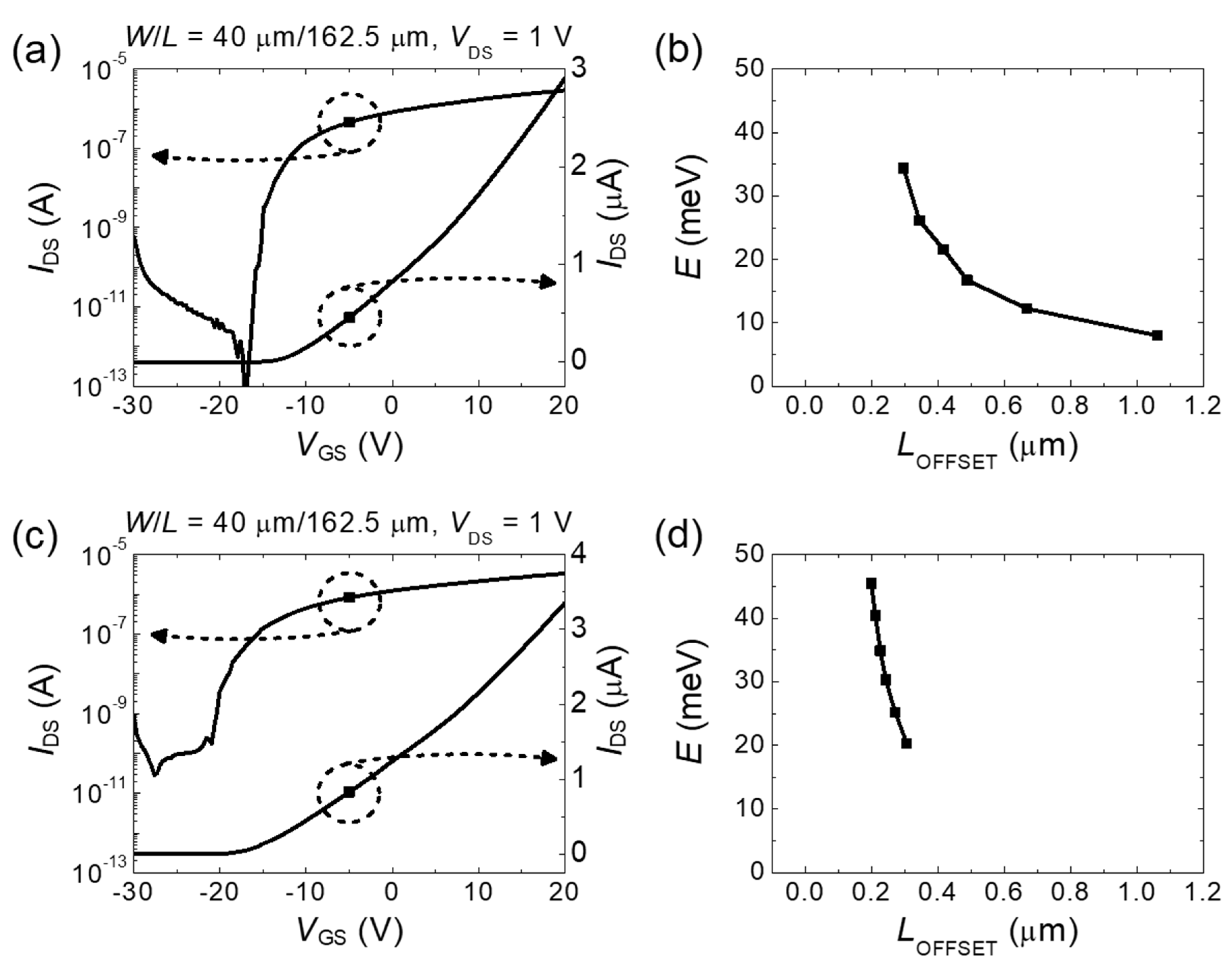
3. Results and Discussion
4. Conclusions
Author Contributions
Funding
Conflicts of Interest
References
- Osada, T.; Akimoto, K.; Sato, T.; Ikeda, M.; Tsubuku, M.; Sakata, J.; Koyama, J.; Serikawa, T.; Yamazaki, S. Development of Liquid Crystal Display Panel Integrated with Drivers Using Amorphous In-Ga-Zn-Oxide Thin film Transistors. Jpn. J. Appl. Phys. 2010, 49, 03CC02. [Google Scholar] [CrossRef]
- Yoon, J.S.; Hong, S.J.; Kim, J.H.; Kim, D.H.; Ryosuke, T.; Nam, W.J.; Song, B.C.; Kim, J.M.; Kim, P.Y.; Park, K.H.; et al. 55-inch OLED TV using Optimal Driving Method for Large-size Panel based on InGaZnO TFTs. SID Int. Symp. Dig. Tech. Pap. 2014, 45, 849–852. [Google Scholar] [CrossRef]
- Tai, Y.H.; Chiu, H.L.; Chou, L.S. Active matrix touch sensor detecting time-constant change implemented by dual-gate IGZO TFTs. Solid State Electron. 2012, 72, 67–72. [Google Scholar] [CrossRef]
- Park, M.-J.; Jeong, H.-S.; Joo, H.-J.; Jeong, H.-Y.; Song, S.-H.; Kwon, H.-I. Gated Improvement of NO2 gas-sensing properties in InGaZnO thin-film transistors by a pre-biasing measurement method. Semicond. Sci. Technol. 2019, 34, 065010. [Google Scholar] [CrossRef]
- Ke, N.H.; Loan, P.T.K.; Tuan, D.A.; Dat, H.T.; Tran, C.V.; Hung, L.V.T. The characteristics of IGZO/ZnO/Cu2O: Na thin film solar cells fabricated by DC magnetron sputtering method. J. Photochem. Photobiol. A Chem. 2017, 349, 100–107. [Google Scholar] [CrossRef]
- Hara, K.; Horiguchi, T.; Kinoshita, T.; Sayama, K.; Sugihara, H.; Arakawa, H. Highly efficient photon-to-electron conversion with mercurochrome-sensitized nanoporous oxide semiconductor solar cells. Sol. Energy Mater. Sol. Cells 2000, 64, 115–134. [Google Scholar] [CrossRef]
- Nomura, K.; Ohta, H.; Takagi, A.; Kamiya, T.; Hirano, M.; Hosono, H. Room-temperature fabrication of transparent flexible thin-film transistors using amorphous oxide semiconductors. Nature 2004, 432, 488–492. [Google Scholar] [CrossRef] [PubMed]
- Hayashi, R.; Ofuji, M.; Kaji, N.; Takahashi, K.; Abe, K.; Yabuta, H.; Sano, M.; Kumomi, H.; Nomura, K.; Kamiya, T.; et al. Circuits using uniform TFTs based on amorphous In-Ga-Zn-O. J. Soc. Inf. Disp. 2007, 15, 11. [Google Scholar] [CrossRef]
- Kamiya, T.; Hosono, H. Material characteristics and applications of transparent amorphous oxide semiconductors. NPG Asia Mater. 2010, 2, 15–22. [Google Scholar] [CrossRef]
- Lee, S.Y.; Kim, D.H.; Chong, E.; Jeon, Y.W.; Kim, D.H. Effect of channel thickness on density of states in amorphous InGaZnO thin film transistor. Appl. Phys. Lett. 2011, 98, 122105. [Google Scholar] [CrossRef]
- Kwon, J.Y.; Jeong, J.K. Recent progress in high performance and reliable n-type transition metal oxide-based thin film transistors. Semicond. Sci. Technol. 2015, 30, 024002. [Google Scholar] [CrossRef]
- Zan, H.-W.; Yeh, C.-C.; Meng, H.-F.; Tsai, C.-C.; Chen, L.-H. Achieving High Field-Effect Mobility in Amorphous Indium-Gallium-Zinc Oxide by Capping a Strong Reduction Layer. Adv. Mater. 2012, 24, 3509–3514. [Google Scholar] [CrossRef] [PubMed]
- Kwon, J.Y.; Jung, J.S.; Son, K.S.; Kim, T.S.; Ryu, M.K.; Park, K.B.; Park, Y.S.; Lee, S.Y.; Kim, J.M. GaInZnO TFT for active matrix display. In Proceedings of the Fifteenth International Workshop on Active-Matrix Flatpanel Displays and Devices (AM-FPD’08), Tokyo, Japan, 2–4 July 2008; pp. 287–290. [Google Scholar]
- Nomura, K.; Takagi, A.; Kamiya, T.; Ohta, H.; Hirano, M.; Hosono, H. Amorphous Oxide semiconductors for High-Performance Flexible Thin-Film Transistors. Jpn. J. Appl. Phys. 2006, 45, 4303–4308. [Google Scholar] [CrossRef]
- Park, M.-J.; Yun, D.-J.; Ryu, M.-K.; Yang, J.-H.; Pi, J.-E.; Kwon, O.-S.; Kim, G.H.; Hwang, C.-S.; Bak, J.-Y.; Yoon, S.-M. Improvements in the bending performance and bias stability of flexible InGaZnO thin film transistors and optimum barrier structures for plastic poly(ethylene naphthalate) substrates. J. Mater. Chem. C 2015, 3, 4779–4786. [Google Scholar] [CrossRef]
- Kamiya, T.; Nomura, K.; Hosono, H. Electronic Structures above mobility edges in crystalline and Amorphous In-Ga-Zn-O: Percolation conduction Examined by Analytical Model. J. Disp. Technol. 2009, 5, 462–467. [Google Scholar] [CrossRef]
- Lee, S.; Ghaffarzadeh, K.; Nathan, A.; Robertson, J.; Jeon, S.; Kim, C.; Song, I.H.; Chung, U.I. Trap-limited and percolation conduction mechanisms in amorphous oxide semiconductor thin film transistors. Appl. Phys. Lett. 2011, 98, 203508. [Google Scholar] [CrossRef]
- Nag, M.; Steudel, S.; Genoe, J.; Gelinck, G.; Kadashchuk, A.; Groeseneken, G.; Heremans, P.; Bhoolokam, A. Conduction mechanism in amorphous InGaZnO thin film transistors. J. Appl. Phys. 2016, 55, 014301. [Google Scholar] [CrossRef]
- Wener, F. Hall measurements on low-mobility thin films. J. Appl. Phys. 2017, 122, 135306. [Google Scholar] [CrossRef]
- Yamaguchi, Y.; Hashimoto, H.; Kimura, M.; Hirako, M.; Yamaoka, T.; Satoshi, T. Magnetic-Field Area Sensor Using Poly-Si Micro Hall Devices. IEEE Electron Device Lett. 2010, 31, 1260–1262. [Google Scholar] [CrossRef]
- Jeong, J.K.; Yang, H.W.; Jeong, J.H.; Mo, Y.G.; Kim, H.D. Origin of threshold voltage instability in indium-gallium-zinc oxide thin film transistors. Appl. Phys. Lett. 2008, 93, 123508. [Google Scholar] [CrossRef]
- Olziersky, A.; Barquinha, P.; Vila, A.; Pereira, L.; Goncalves, G.; Fortunato, E.; Martins, R.; Morante, J.R. Insight on the Su-8 resist as passivation layer for transparent Ga2O3-In2O3-ZnO thin-film transistors. J. Appl. Phys. 2010, 108, 064505. [Google Scholar] [CrossRef]
- Kamiya, T.; Nomura, K.; Hosono, H. Origin of definite Hall voltage and positive slope in mobility-donor density relation in disordered oxide semiconductors. Appl. Phys. Lett. 2010, 96, 122103. [Google Scholar] [CrossRef]
- Streetman, B.G.; Banerjee, S.K. Solid State Electronic Devices, 7th ed.; Pearson Education Limited, University of Texas: Austin, TX, USA, 2016; pp. 129–131. [Google Scholar]
- Sallese, J.M.; Kayal, M.; Paun, M.A. Hall Effect Sensors Design, Integration and Behavior Analysis. J. Sens. Actuator Netw. 2013, 2, 85–97. [Google Scholar] [CrossRef]
- Ramsden, E. Hall-Effect Sensors: Theory and Application; Newnes Publication: Burlington, NJ, USA, 2006; pp. 1–9. [Google Scholar]
- Paun, M.A.; Sallese, J.M.; Kayal, M. Offset and drift analysis of the Hall Effect sensors. The geometrical parameters influence. Dig. J. Nanomater. Bios. 2012, 7, 883–891. [Google Scholar]
- ASTM Standard F76-86. Standard method for measuring hall mobility and hall coefficient in extrinsic semiconductor single crystals. In 1991 Annual Book of ASTM Standards; American Society for Testing Materials: Philadelphia, PA, USA, 1991. [Google Scholar]
- Wieder, H.H. Transport coefficients of InAs epilayers. Appl. Phys. Lett. 2003, 25, 206. [Google Scholar] [CrossRef]
- Ramos, A.C.A.; Alves, T.F.A.; Farias, G.A.; Costa Filho, R.N.; Almeida, N.S. 2DEG in the presence of tilted magnetic field at finite temperature. Physica E 2009, 41, 1267. [Google Scholar] [CrossRef]








© 2020 by the authors. Licensee MDPI, Basel, Switzerland. This article is an open access article distributed under the terms and conditions of the Creative Commons Attribution (CC BY) license (http://creativecommons.org/licenses/by/4.0/).
Share and Cite
Joo, H.-J.; Kim, D.-H.; Cha, H.-S.; Song, S.-H. Conduction Band Edge Energy Profile Probed by Hall Offset Voltage in InGaZnO Thin Films. Micromachines 2020, 11, 822. https://doi.org/10.3390/mi11090822
Joo H-J, Kim D-H, Cha H-S, Song S-H. Conduction Band Edge Energy Profile Probed by Hall Offset Voltage in InGaZnO Thin Films. Micromachines. 2020; 11(9):822. https://doi.org/10.3390/mi11090822
Chicago/Turabian StyleJoo, Hyo-Jun, Dae-Hwan Kim, Hyun-Seok Cha, and Sang-Hun Song. 2020. "Conduction Band Edge Energy Profile Probed by Hall Offset Voltage in InGaZnO Thin Films" Micromachines 11, no. 9: 822. https://doi.org/10.3390/mi11090822
APA StyleJoo, H.-J., Kim, D.-H., Cha, H.-S., & Song, S.-H. (2020). Conduction Band Edge Energy Profile Probed by Hall Offset Voltage in InGaZnO Thin Films. Micromachines, 11(9), 822. https://doi.org/10.3390/mi11090822
