A Micromachined Coupled-Cantilever for Piezoelectric Energy Harvesters
Abstract
:1. Introduction
2. Theoretical Design and Simulation
2.1. Theory
2.2. Cantilever Design
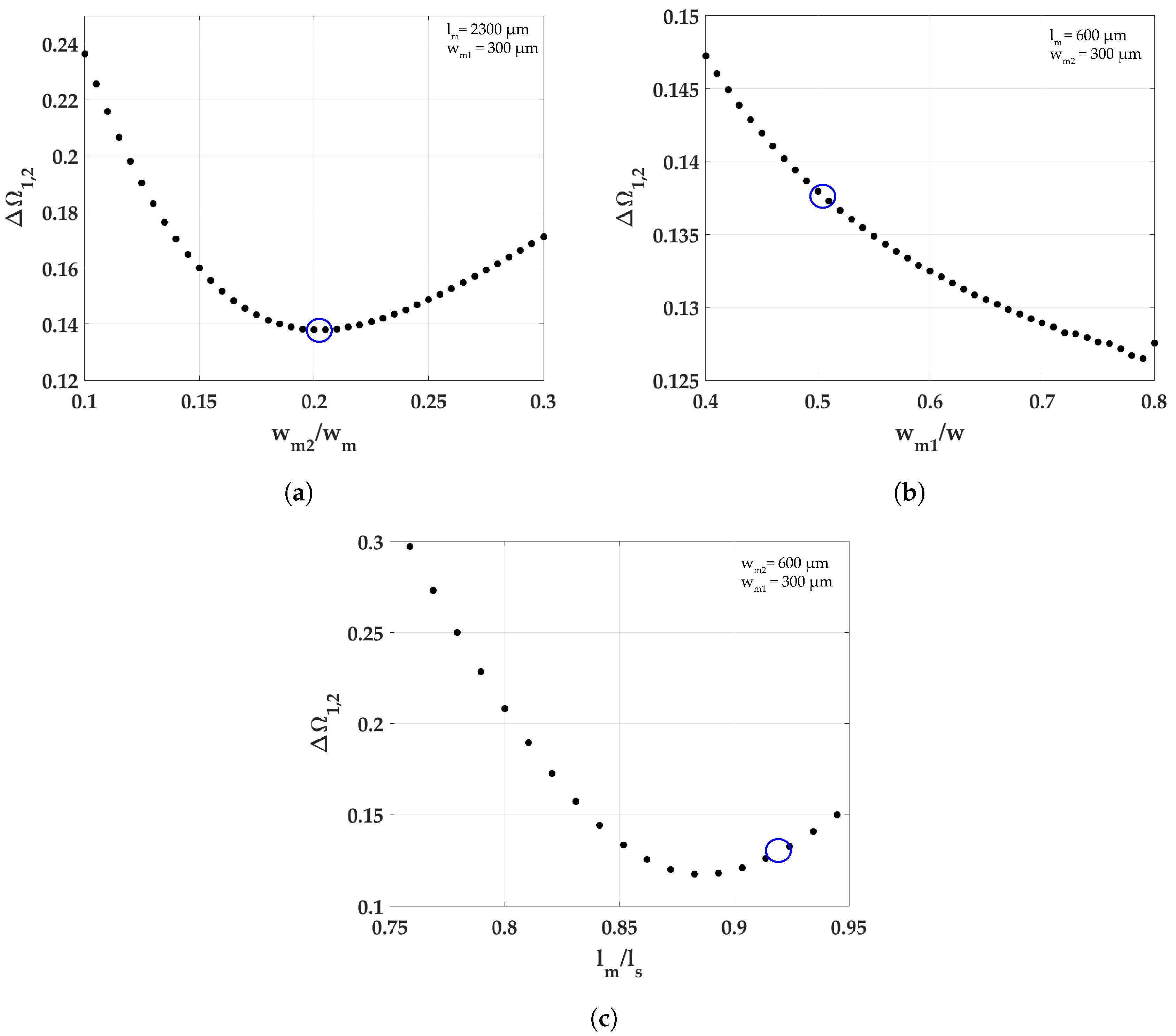
2.3. Simulation Results
3. Fabrication
3.1. Process
3.2. Challenges in Fabrication
4. Results and Discussion
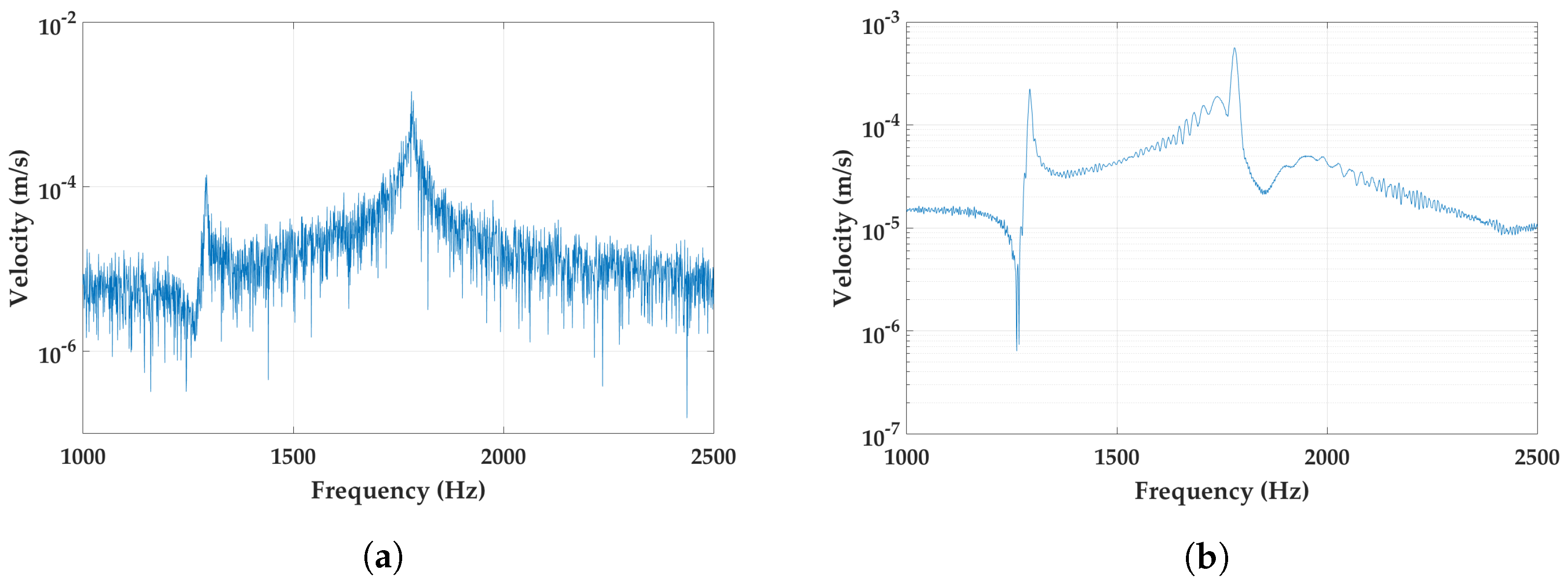
4.1. Mechanical Characterization
4.2. Discussions
5. Conclusions
Author Contributions
Acknowledgments
Conflicts of Interest
Appendix A
| STS-DRIE | SF6 | C4F8 | Pressure (%) | RF (W) | Platen (W) | ||
|---|---|---|---|---|---|---|---|
| Flow (sccm) | Time (s) | Flow (sccm) | Time (s) | ||||
| SI_FASTO | 130 | 12 + 1 | 85 | 7 + 0.5 | 55 | 600 | 13 |
| SI_SLOWO | 130 | 10 + 1 | 85 | 7 + 0.5 | 55 | 600 | 10 |
| Centura II Parameters | Deposition | Breakthrough | Etch |
|---|---|---|---|
| Time (s) | 1.2 | 1.3 | 1.5 |
| Pressure (mTorr) | 55 | 90 | 90 |
| Bias Power (W) | 5 | 100 | 50 |
| Frequency (Hz) | 125 | 125 | 125 |
| Source Power (W) | 1900 | 1900 | 1900 |
References
- Cook-Chennault, K.; Thambi, N.; Sastry, A. Powering MEMS portable devices—A review of non-regenerative and regenerative power supply systems with special emphasis on piezoelectric energy harvesting systems. Smart Mater. Struct. 2008, 17, 043001. [Google Scholar] [CrossRef]
- García, C.G.; Meana-Llorián, D.; Lovelle, J.M.C. A review about Smart Objects, Sensors, and Actuators. Int. J. Interact. Multimedia Artif. Intell. 2017, 4, 7–10. [Google Scholar] [CrossRef]
- Lee, B.S.; Wu, W.J.; Shih, W.P.; Vasic, D.; Costa, F. Power harvesting using piezoelectric MEMS generator with interdigital electrodes. In Proceedings of the IEEE Ultrasonics Symposium, New York, NY, USA, 28–31 October 2007; pp. 1598–1601. [Google Scholar] [CrossRef]
- Shen, D.; Park, J.H.; Ajitsaria, J.; Choe, S.Y.; Wikle, H.C.; Kim, D.J. The design, fabrication and evaluation of a MEMS PZT cantilever with an integrated Si proof mass for vibration energy harvesting. J. Micromech. Microeng. 2008, 18. [Google Scholar] [CrossRef]
- Muralt, P.; Marzencki, M.; Belgacem, B.; Calame, F.; Basrour, S. Vibration energy harvesting with PZT micro device. Procedia Chem. 2009, 1, 1191–1194. [Google Scholar] [CrossRef]
- Lee, B.S.; Lin, S.C.; Wu, W.J.; Wang, X.Y.; Chang, P.Z.; Lee, C.K. Piezoelectric MEMS generators fabricated with an aerosol deposition PZT thin film. J. Micromech. Microeng. 2009, 19. [Google Scholar] [CrossRef]
- Isarakorn, D.; Briand, D.; Janphuang, P.; Sambri, A.; Gariglio, S.; Triscone, J.-M.; Guy, F.; Reiner, J.; Ahn, C.; Rooij, N. The realization and performance of vibration energy harvesting MEMS devices based on an epitaxial piezoelectric thin film. Smart Mater. Struct. 2011, 20, 025015. [Google Scholar] [CrossRef]
- Kim, S.B.; Park, H.; Kim, S.H.; Wikle, H.C.; Park, J.H.; Kim, D.J. Comparison of MEMS PZT cantilevers based on d31 and d33 modes for vibration energy harvesting. J. Microelectromech. Syst. 2013, 22, 26–33. [Google Scholar] [CrossRef]
- Park, J.C.; Khym, S.; Park, J.Y. Micro-fabricated lead zirconate titanate bent cantilever energy harvester with multi-dimensional operation. Appl. Phys. Lett. 2013, 102, 1–5. [Google Scholar] [CrossRef]
- Lueke, J.; Rezaei, M.; Moussa, W.A. Investigation of folded spring structures for vibration-based piezoelectric energy harvesting. J. Micromech. Microeng. 2014, 24. [Google Scholar] [CrossRef]
- Yu, H.; Zhou, J.; Deng, L.; Wen, Z. A vibration-based MEMS piezoelectric energy harvester and power conditioning circuit. Sensors (Switzerland) 2014, 14, 3323–3341. [Google Scholar] [CrossRef] [PubMed]
- Zhang, L.; Lu, J.; Takei, R.; Makimoto, N.; Itoh, T.; Kobayashi, T. S-shape spring sensor: Sensing specific low-frequency vibration by energy harvesting. Rev. Sci. Instrum. 2016, 87. [Google Scholar] [CrossRef] [PubMed]
- Stanton, S.C.; McGehee, C.C.; Mann, B.P. Nonlinear dynamics for broadband energy harvesting: Investigation of a bistable piezoelectric inertial generator. Phys. D Nonlinear Phenom. 2010, 239, 640–653. [Google Scholar] [CrossRef]
- Wu, H.; Tang, L.; Yang, Y.; Soh, C.K. Development of a broadband nonlinear two-degree-of-freedom piezoelectric energy harvester. J. Intell. Mater. Syst. Struct. 2014, 25, 1875–1889. [Google Scholar] [CrossRef]
- Erturk, A.; Inman, D.J. An experimentally validated bimorph cantilever model for piezoelectric energy harvesting from base excitations. Smart Mater. Struct. 2009, 18, 025009. [Google Scholar] [CrossRef]
- Mann, B.; Sims, N. Energy harvesting from the nonlinear oscillations of magnetic levitation. J. Sound Vib. 2009, 319, 515–530. [Google Scholar] [CrossRef]
- Mahmoudi, S.; Kacem, N.; Bouhaddi, N. Enhancement of the performance of a hybrid nonlinear vibration energy harvester based on piezoelectric and electromagnetic transductions. Smart Mater. Struct. 2014, 23, 075024. [Google Scholar] [CrossRef]
- Yang, B.; Lee, C.; Xiang, W.; Xie, J.; He, J.H.; Kotlanka, R.K.; Low, S.P.; Feng, H. Electromagnetic energy harvesting from vibrations of multiple frequencies. J. Micromech. Microeng. 2009, 19, 035001. [Google Scholar] [CrossRef]
- Sari, I.; Balkan, T.; Kulah, H. An electromagnetic micro energy harvester based on an array of parylene cantilevers. J. Micromech. Microeng. 2009, 19, 105023. [Google Scholar] [CrossRef]
- Abed, I.; Kacem, N.; Bouhaddi, N.; Bouazizi, M. Nonlinear dynamics of magnetically coupled beams for multi-modal vibration energy harvesting. Active and Passive Smart Structures and Integrated Systems 2016; International Society for Optics and Photonics: Bellingham, WA, USA, 2016; Volume 9799, p. 97992C. [Google Scholar]
- Abed, I.; Kacem, N.; Bouhaddi, N.; Bouazizi, M.L. Multi-modal vibration energy harvesting approach based on nonlinear oscillator arrays under magnetic levitation. Smart Mater. Struct. 2016, 25, 025018. [Google Scholar] [CrossRef]
- Blystad, L.C.J.; Halvorsen, E. A piezoelectric energy harvester with a mechanical end stop on one side. Microsyst. Technol. 2011, 17, 505–511. [Google Scholar] [CrossRef]
- Liu, H.; Lee, C.; Kobayashi, T.; Tay, C.J.; Quan, C. Investigation of a MEMS piezoelectric energy harvester system with a frequency-widened-bandwidth mechanism introduced by mechanical stoppers. Smart Mater. Struct. 2012, 21, 035005. [Google Scholar] [CrossRef]
- Soliman, M.; Abdel-Rahman, E.; El-Saadany, E.; Mansour, R. A wideband vibration-based energy harvester. J. Micromech. Microeng. 2008, 18, 115021. [Google Scholar] [CrossRef]
- Jang, S.J.; Rustighi, E.; Brennan, M.; Lee, Y.; Jung, H.J. Design of a 2DOF vibrational energy harvesting device. J. Intell. Mater. Syst. Struct. 2011, 22, 443–448. [Google Scholar] [CrossRef]
- Kim, I.H.; Jung, H.J.; Lee, B.M.; Jang, S.J. Broadband energy-harvesting using a two degree-of-freedom vibrating body. Appl. Phys. Lett. 2011, 98, 214102. [Google Scholar] [CrossRef]
- Wu, H.; Tang, L.; Yang, Y.; Soh, C.K. A novel two-degrees-of-freedom piezoelectric energy harvester. J. Intell. Mater. Syst. Struct. 2013, 24, 357–368. [Google Scholar] [CrossRef]
- Staaf, L.; Köhler, E.; Parthasarathy, D.; Lundgren, P.; Enoksson, P. Modelling and experimental verification of more efficient power harvesting by coupled piezoelectric cantilevers. J. Phys. Conf. Ser. 2014, 557, 012098. [Google Scholar] [CrossRef]
- Staaf, L.; Köhler, E.; Soeiro, M.; Lundgren, P.; Enoksson, P. Smart design selftuning piezoelectric energy harvester intended for gas turbines. J. Phys. Conf. Ser. 2015, 660, 012125. [Google Scholar] [CrossRef]
- Dubois, M.A.; Muralt, P. Measurement of the effective transverse piezoelectric coefficient e31,f of AlN and Pb (Zrx, Ti1−x)O3 thin films. Sens. Actuators A Phys. 1999, 77, 106–112. [Google Scholar] [CrossRef]
- Tang, L.; Yang, Y. A multiple-degree-of-freedom piezoelectric energy harvesting model. J. Intell. Mater. Syst. Struct. 2012, 23, 1631–1647. [Google Scholar] [CrossRef]
- Kunz, K.; Enoksson, P.; Stemme, G. Highly sensitive triaxial silicon accelerometer with integrated PZT thin film detectors. Sens. Actuators A Phys. 2001, 92, 156–160. [Google Scholar] [CrossRef]
- Laermer, F.; Franssila, S.; Sainiemi, L.; Kolari, K. Chapter 21—Deep Reactive Ion Etching. In Handbook of Silicon Based {MEMS} Materials and Technologies, 2nd ed.; Micro and Nano Technologies; William Andrew Publishing: Boston, MA, USA, 2015; pp. 444–469. [Google Scholar] [CrossRef]










| Device | Size (mm) | Thickness (m) | Res. Freq. (Hz) | V (V) | Power (W) | Geometry |
|---|---|---|---|---|---|---|
| Lee et al. [3] | 3 × 5 | 10 | 575 | 0.81 | 0.471 | Single Cant. |
| Shen et al. [4] | 4.8 ×0.4 | 36 | 461 | 0.16 | 2.15 | Single Cant. |
| Muralt et al. [5] | 1.2 × 0.8 | 5 | 870 | 1.60 | 1.4 | Single Cant. |
| Lee et al. [6] | 3 × 1.5 | 500 | 255 | 2.7 | 2.7 | Single Cant. |
| Isakorn et al. [7] | 1 × 2.5 | 15 | 2300 | 0.27 | 13 | Single Cant. |
| Kim et al. [8] | 3 × 1 | 21 | 243 | 0.3 | 2.15 | Single Cant. |
| Park et al. [9] | 3 × 2 | 18 | 115 | - | 1 | Bent Cant. |
| Leuke et al. [10] | - | - | 226 | - | 0.69 | Circ. Spring |
| Yu et al. [11] | 3 × 2.4 | 50 | 234 | - | 66.75 | Multi Cant. |
| Zhang et al. [12] | 6 × 6 | - | <11 | 0.0075 | - | Rect. Spring |
| Dimensions | w | ||||||
|---|---|---|---|---|---|---|---|
| Simulation | 2900 | 1000 | 2700 | 500 | 100 | 222 | 0.14 |
| Fabricated | 2908 | 1001 | 2746 | 481 | 98 | 487 | 0.30 |
© 2018 by the authors. Licensee MDPI, Basel, Switzerland. This article is an open access article distributed under the terms and conditions of the Creative Commons Attribution (CC BY) license (http://creativecommons.org/licenses/by/4.0/).
Share and Cite
Vyas, A.; Staaf, H.; Rusu, C.; Ebefors, T.; Liljeholm, J.; Smith, A.D.; Lundgren, P.; Enoksson, P. A Micromachined Coupled-Cantilever for Piezoelectric Energy Harvesters. Micromachines 2018, 9, 252. https://doi.org/10.3390/mi9050252
Vyas A, Staaf H, Rusu C, Ebefors T, Liljeholm J, Smith AD, Lundgren P, Enoksson P. A Micromachined Coupled-Cantilever for Piezoelectric Energy Harvesters. Micromachines. 2018; 9(5):252. https://doi.org/10.3390/mi9050252
Chicago/Turabian StyleVyas, Agin, Henrik Staaf, Cristina Rusu, Thorbjörn Ebefors, Jessica Liljeholm, Anderson D. Smith, Per Lundgren, and Peter Enoksson. 2018. "A Micromachined Coupled-Cantilever for Piezoelectric Energy Harvesters" Micromachines 9, no. 5: 252. https://doi.org/10.3390/mi9050252
APA StyleVyas, A., Staaf, H., Rusu, C., Ebefors, T., Liljeholm, J., Smith, A. D., Lundgren, P., & Enoksson, P. (2018). A Micromachined Coupled-Cantilever for Piezoelectric Energy Harvesters. Micromachines, 9(5), 252. https://doi.org/10.3390/mi9050252

