Microrheology: From Video Microscopy to Optical Tweezers
Abstract
1. Introduction
2. Theoretical Background
2.1. Rheology in Simple Shear Flow
2.2. Passive and Active Microrheology
2.2.1. Passive Microrheology
2.2.2. Active Microrheology
2.3. Image Analysis
2.3.1. Video Microscopy
2.3.2. Light Scattering or Non-Direct Tracking
3. Most Popular Microrheology Techniques
3.1. Passive Video Particle Tracking Microrheology
3.2. Magnetic Tweezers
3.3. Microrheology with Optical Tweezers
3.4. Microrheology with Dynamic Light Scattering
3.5. Microrheology with Diffusing Wave Spectroscopy
3.6. Atomic Force Microscopy
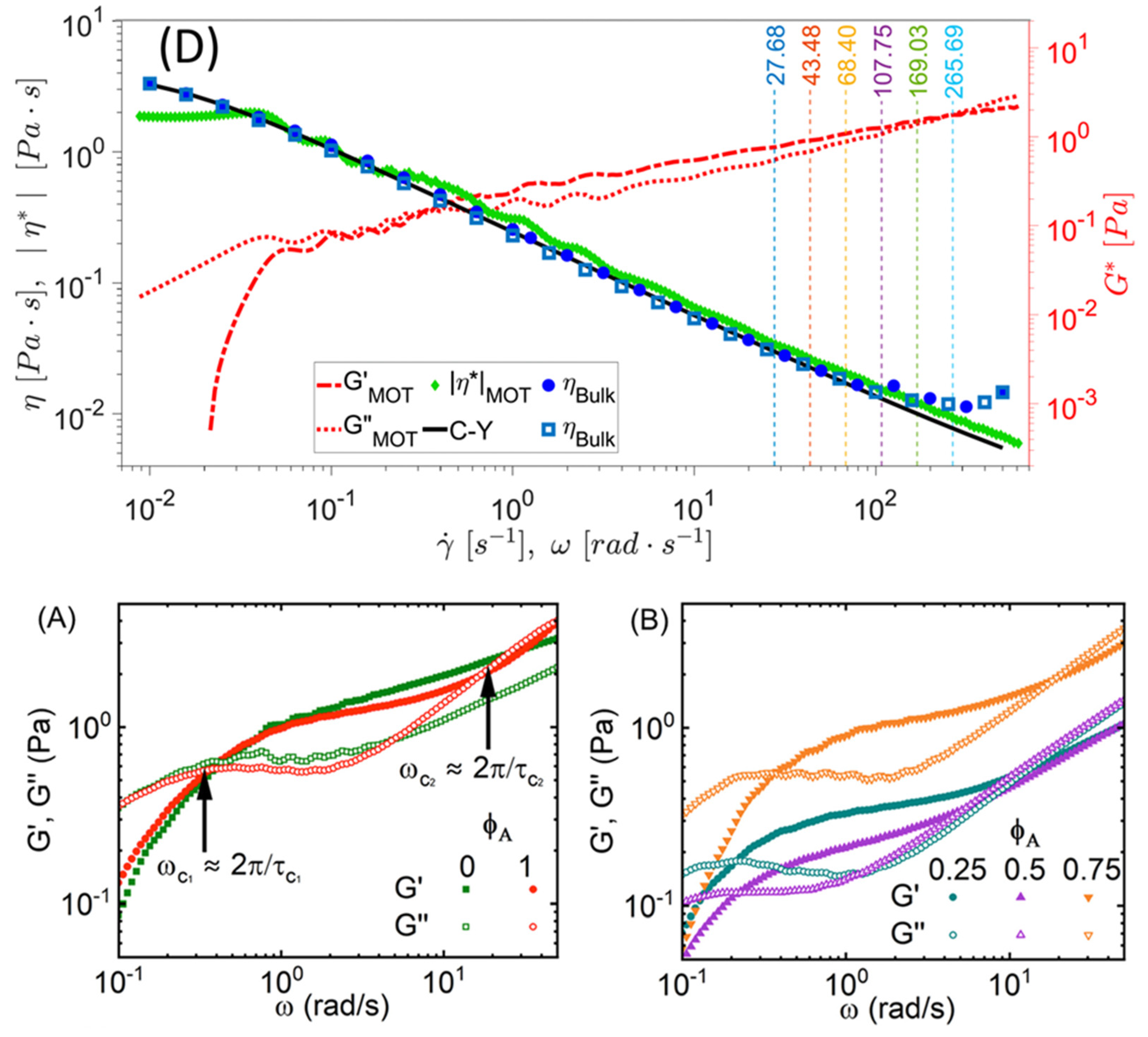
3.7. Synergizing Passive and Active Techniques: Advancing Broadband Microrheology
4. Conclusions
Author Contributions
Funding
Data Availability Statement
Acknowledgments
Conflicts of Interest
References
- Einstein, A. Investigations on the Theory of the Brownian Movement; Fürth, R., Ed.; Dover Publications, Inc.: New York, NY, USA, 1956; ISBN 978-0-486-60304-9. [Google Scholar]
- Perrin, J. Atoms; Constable: London, UK, 1916. [Google Scholar]
- Mason, T.G.; Weitz, D.A. Optical Measurements of Frequency-Dependent Linear Viscoelastic Moduli of Complex Fluids. Phys. Rev. Lett. 1995, 74, 1250–1253. [Google Scholar] [CrossRef] [PubMed]
- Tassieri, M. Microrheology with Optical Tweezers: Peaks & Troughs. Curr. Opin. Colloid Interface Sci. 2019, 43, 39–51. [Google Scholar] [CrossRef]
- Waigh, T.A. Microrheology of Complex Fluids. Rep. Prog. Phys. 2005, 68, 685–742. [Google Scholar] [CrossRef]
- MacKintosh, F.C.; Schmidt, C.F. Microrheology. Curr. Opin. Colloid Interface Sci. 1999, 4, 300–307. [Google Scholar] [CrossRef]
- Squires, T.M.; Mason, T.G. Fluid Mechanics of Microrheology. Annu. Rev. Fluid Mech. 2010, 42, 413–438. [Google Scholar] [CrossRef]
- Cicuta, P.; Donald, A.M. Microrheology: A Review of the Method and Applications. Soft Matter 2007, 3, 1449–1455. [Google Scholar] [CrossRef]
- Weihs, D.; Mason, T.G.; Teitell, M.A. Bio-Microrheology: A Frontier in Microrheology. Biophys. J. 2006, 91, 4296–4305. [Google Scholar] [CrossRef] [PubMed]
- Schultz, K.M.; Furst, E.M. Microrheology of Biomaterial Hydrogelators. Soft Matter 2012, 8, 6198–6205. [Google Scholar] [CrossRef]
- Wirtz, D. Particle-Tracking Microrheology of Living Cells: Principles and Applications. Annu. Rev. Biophys. 2009, 38, 301–326. [Google Scholar] [CrossRef] [PubMed]
- Mao, Y.; Nielsen, P.; Ali, J. Passive and Active Microrheology for Biomedical Systems. Front. Bioeng. Biotechnol. 2022, 10, 916354. [Google Scholar] [CrossRef] [PubMed]
- Meleties, M.; Martineau, R.L.; Gupta, M.K.; Montclare, J.K. Particle-Based Microrheology as a Tool for Characterizing Protein-Based Materials. ACS Biomater. Sci. Eng. 2022, 8, 2747–2763. [Google Scholar] [CrossRef]
- Leartprapun, N.; Adie, S.G. Recent Advances in Optical Elastography and Emerging Opportunities in the Basic Sciences and Translational Medicine [Invited]. Biomed. Opt. Express 2023, 14, 208–248. [Google Scholar] [CrossRef]
- John, J.; Panahi, A.; Pu, D.; Natale, G. Progress in Rheology of Active Colloidal Systems. Curr. Opin. Colloid Interface Sci. 2025, 75, 101886. [Google Scholar] [CrossRef]
- Jones, D.P.; Hanna, W.; Cramer, G.M.; Celli, J.P. In Situ Measurement of ECM Rheology and Microheterogeneity in Embedded and Overlaid 3D Pancreatic Tumor Stroma Co-Cultures via Passive Particle Tracking. J. Innov. Opt. Health Sci. 2017, 10, 1742003. [Google Scholar] [CrossRef]
- Mellnik, J.W.R.; Lysy, M.; Vasquez, P.A.; Pillai, N.S.; Hill, D.B.; Cribb, J.; McKinley, S.A.; Forest, M.G. Maximum Likelihood Estimation for Single Particle, Passive Microrheology Data with Drift. J. Rheol. 2016, 60, 379–392. [Google Scholar] [CrossRef]
- Hafner, J.; Grijalva, D.; Ludwig-Husemann, A.; Bertels, S.; Bensinger, L.; Raic, A.; Gebauer, J.; Oelschlaeger, C.; Bastmeyer, M.; Bieback, K.; et al. Monitoring Matrix Remodeling in the Cellular Microenvironment Using Microrheology for Complex Cellular Systems. Acta Biomater. 2020, 111, 254–266. [Google Scholar] [CrossRef] [PubMed]
- Bayles, A.V.; Squires, T.M.; Helgeson, M.E. Probe Microrheology without Particle Tracking by Differential Dynamic Microscopy. Rheol. Acta 2017, 56, 863–869. [Google Scholar] [CrossRef]
- Lewis, C.M.; Heise, C.T.; Harasimiuk, N.; Tovey, J.; Lu, J.R.; Waigh, T.A. The Viscoelasticity of High Concentration Monoclonal Antibodies Using Particle Tracking Microrheology. APL Bioeng. 2024, 8, 026105. [Google Scholar] [CrossRef]
- Evans, R.M.L.; Tassieri, M.; Auhl, D.; Waigh, T.A. Direct Conversion of Rheological Compliance Measurements into Storage and Loss Moduli. Phys. Rev. E 2009, 80, 012501. [Google Scholar] [CrossRef]
- Fabry, B.; Maksym, G.N.; Butler, J.P.; Glogauer, M.; Navajas, D.; Fredberg, J.J. Scaling the Microrheology of Living Cells. Phys. Rev. Lett. 2001, 87, 148102. [Google Scholar] [CrossRef] [PubMed]
- Neckernuss, T.; Mertens, L.K.; Martin, I.; Paust, T.; Beil, M.; Marti, O. Active Microrheology with Optical Tweezers: A Versatile Tool to Investigate Anisotropies in Intermediate Filament Networks. J. Phys. Appl. Phys. 2015, 49, 045401. [Google Scholar] [CrossRef]
- Geonzon, L.C.; Kobayashi, M.; Tassieri, M.; Bacabac, R.G.; Adachi, Y.; Matsukawa, S. Microrheological Properties and Local Structure of ι-Carrageenan Gels Probed by Using Optical Tweezers. Food Hydrocoll. 2023, 137, 108325. [Google Scholar] [CrossRef]
- Preece, D.; Warren, R.; Evans, R.M.L.; Gibson, G.M.; Padgett, M.J.; Cooper, J.M.; Tassieri, M. Optical Tweezers: Wideband Microrheology. J. Opt. 2011, 13, 044022. [Google Scholar] [CrossRef]
- Wei, M.-T.; Latinovic, O.; Hough, L.A.; Chen, Y.-Q.; Ou-Yang, H.D.; Chiou, A. Optical-Tweezers-Based Microrheology of Soft Materials and Living Cells. In Handbook of Photonics for Biomedical Engineering; Springer: Dordrecht, The Netherlands, 2017; pp. 731–753. ISBN 978-94-007-5052-4. [Google Scholar]
- Yanagishima, T.; Frenkel, D.; Kotar, J.; Eiser, E. Real-Time Monitoring of Complex Moduli from Micro-Rheology. J. Phys. Condens. Matter 2011, 23, 194118. [Google Scholar] [CrossRef]
- Mendonca, T.; Urban, R.; Lucken, K.; Coney, G.; Kad, N.M.; Tassieri, M.; Wright, A.J.; Booth, D.G. The Mitotic Chromosome Periphery Modulates Chromosome Mechanics. Nat. Commun. 2025, 16, 6399. [Google Scholar] [CrossRef]
- Krajina, B.A.; Tropini, C.; Zhu, A.; DiGiacomo, P.; Sonnenburg, J.L.; Heilshorn, S.C.; Spakowitz, A.J. Dynamic Light Scattering Microrheology Reveals Multiscale Viscoelasticity of Polymer Gels and Precious Biological Materials. ACS Cent. Sci. 2017, 3, 1294–1303. [Google Scholar] [CrossRef]
- Amin, S.; Rega, C.A.; Jankevics, H. Detection of Viscoelasticity in Aggregating Dilute Protein Solutions through Dynamic Light Scattering-Based Optical Microrheology. Rheol. Acta 2012, 51, 329–342. [Google Scholar] [CrossRef]
- Ghosh, R.; Bentil, S.A.; Juárez, J.J. Dynamic Light Scattering Microrheology of Phase-Separated Poly(Vinyl) Alcohol–Phytagel Blends. Polymers 2024, 16, 2875. [Google Scholar] [CrossRef] [PubMed]
- Ozaki, H.; Indei, T.; Koga, T.; Narita, T. Physical Gelation of Supramolecular Hydrogels Cross-Linked by Metal-Ligand Interactions: Dynamic Light Scattering and Microrheological Studies. Polymer 2017, 128, 363–372. [Google Scholar] [CrossRef]
- Huh, J.Y.; Furst, E.M. Colloid Dynamics in Semiflexible Polymer Solutions. Phys. Rev. E 2006, 74, 031802. [Google Scholar] [CrossRef]
- Palmer, A.; Mason, T.G.; Xu, J.; Kuo, S.C.; Wirtz, D. Diffusing Wave Spectroscopy Microrheology of Actin Filament Networks. Biophys. J. 1999, 76, 1063–1071. [Google Scholar] [CrossRef]
- Oelschlaeger, C.; Schopferer, M.; Scheffold, F.; Willenbacher, N. Linear-to-Branched Micelles Transition: A Rheometry and Diffusing Wave Spectroscopy (DWS) Study. Langmuir 2009, 25, 716–723. [Google Scholar] [CrossRef] [PubMed]
- Chen, Y.-Q.; Chou, P.; Cheng, C.-Y.; Chiang, C.-C.; Wei, M.-T.; Chuang, C.-T.; Chen, Y.-L.S.; Chiou, A. Microrheology of Human Synovial Fluid of Arthritis Patients Studied by Diffusing Wave Spectroscopy. J. Biophotonics 2012, 5, 777–784. [Google Scholar] [CrossRef]
- Dasgupta, B.R.; Tee, S.-Y.; Crocker, J.C.; Frisken, B.J.; Weitz, D.A. Microrheology of Polyethylene Oxide Using Diffusing Wave Spectroscopy and Single Scattering. Phys. Rev. E 2002, 65, 051505. [Google Scholar] [CrossRef]
- Li, Q.; Dennis, K.A.; Lee, Y.-F.; Furst, E.M. Two-Point Microrheology and Diffusing Wave Spectroscopy. J. Rheol. 2023, 67, 1107–1118. [Google Scholar] [CrossRef]
- Narita, T.; Mayumi, K.; Ducouret, G.; Hébraud, P. Viscoelastic Properties of Poly(Vinyl Alcohol) Hydrogels Having Permanent and Transient Cross-Links Studied by Microrheology, Classical Rheometry, and Dynamic Light Scattering. Macromolecules 2013, 46, 4174–4183. [Google Scholar] [CrossRef]
- Chim, Y.H.; Mason, L.M.; Rath, N.; Olson, M.F.; Tassieri, M.; Yin, H. A One-Step Procedure to Probe the Viscoelastic Properties of Cells by Atomic Force Microscopy. Sci. Rep. 2018, 8, 14462. [Google Scholar] [CrossRef] [PubMed]
- Rother, J.; Nöding, H.; Mey, I.; Janshoff, A. Atomic Force Microscopy-Based Microrheology Reveals Significant Differences in the Viscoelastic Response between Malign and Benign Cell Lines. Open Biol. 2014, 4, 140046. [Google Scholar] [CrossRef]
- Alcaraz, J.; Buscemi, L.; Grabulosa, M.; Trepat, X.; Fabry, B.; Farré, R.; Navajas, D. Microrheology of Human Lung Epithelial Cells Measured by Atomic Force Microscopy. Biophys. J. 2003, 84, 2071–2079. [Google Scholar] [CrossRef]
- Igarashi, T.; Fujinami, S.; Nishi, T.; Asao, N.; Nakajima, K. Nanorheological Mapping of Rubbers by Atomic Force Microscopy. Macromolecules 2013, 46, 1916–1922. [Google Scholar] [CrossRef]
- Roca-Cusachs, P.; Almendros, I.; Sunyer, R.; Gavara, N.; Farré, R.; Navajas, D. Rheology of Passive and Adhesion-Activated Neutrophils Probed by Atomic Force Microscopy. Biophys. J. 2006, 91, 3508–3518. [Google Scholar] [CrossRef] [PubMed]
- Ferry, J.D. Viscoelastic Properties of Polymers, 3rd ed.; John Wiley & Sons: New York, NY, USA, 1980; ISBN 978-0-471-04894-7. [Google Scholar]
- Tassieri, M. Introduction to Linear Rheology. In Microrheology with Optical Tweezers: Principles and Applications; Tassieri, M., Ed.; Pan Stanford Publishing: Singapore, 2016; pp. 137–145. ISBN 978-981-4669-18-4. [Google Scholar]
- Levine, A.J.; Lubensky, T.C. One- and Two-Particle Microrheology. Phys. Rev. Lett. 2000, 85, 1774–1777. [Google Scholar] [CrossRef] [PubMed]
- Rizzi, L.G.; Tassieri, M. Microrheology of Biological Specimens. In Encyclopedia of Analytical Chemistry; John Wiley & Sons, Ltd.: New York, NY, USA, 2018; pp. 1–24. ISBN 978-0-470-02731-8. [Google Scholar]
- Crocker, J.C.; Weeks, E.R. Particle Tracking Using IDL. Available online: https://physics.emory.edu/faculty/weeks/idl/index.html (accessed on 3 September 2024).
- Crocker, J.C.; Grier, D.G. Methods of Digital Video Microscopy for Colloidal Studies. J. Colloid Interface Sci. 1996, 179, 298–310. [Google Scholar] [CrossRef]
- McGlynn, J.A.; Wu, N.; Schultz, K.M. Multiple Particle Tracking Microrheological Characterization: Fundamentals, Emerging Techniques and Applications. J. Appl. Phys. 2020, 127, 201101. [Google Scholar] [CrossRef]
- Dam, J.S.; Perch-Nielsen, I.R.; Palima, D.; Glückstad, J. Three-Dimensional Imaging in Three-Dimensional Optical Multi-Beam Micromanipulation. Opt. Express 2008, 16, 7244–7250. [Google Scholar] [CrossRef] [PubMed]
- Bowman, R.; Gibson, G.; Padgett, M. Particle Tracking Stereomicroscopy in Optical Tweezers: Control of Trap Shape. Opt. Express 2010, 18, 11785–11790. [Google Scholar] [CrossRef] [PubMed][Green Version]
- Lee, M.P.; Gibson, G.M.; Phillips, D.; Padgett, M.J.; Tassieri, M. Dynamic Stereo Microscopy for Studying Particle Sedimentation. Opt. Express 2014, 22, 4671–4677. [Google Scholar] [CrossRef]
- Saleem, A.; Afzal, I.; Javed, Y.; Jamil, Y. Fundamentals of Light–Matter Interaction. In Modern Luminescence from Fundamental Concepts to Materials and Applications; Sharma, S.K., da Silva, C.J., Garcia, D.J., Shrivastava, N., Eds.; Woodhead Publishing Series in Electronic and Optical Materials; Woodhead Publishing: Cambridge, UK, 2023; pp. 185–218. ISBN 978-0-323-89954-3. [Google Scholar]
- Potter, K.S.; Simmons, J.H. Optical Properties of Insulators—Fundamentals. In Optical Materials, 2nd ed.; Potter, K.S., Simmons, J.H., Eds.; Elsevier: Amsterdam, The Netherlands, 2021; pp. 101–171. ISBN 978-0-12-818642-8. [Google Scholar]
- Moore, J.; Cerasoli, E. Particle Light Scattering Methods and Applications. In Encyclopedia of Spectroscopy and Spectrometry, 2nd ed.; Lindon, J.C., Ed.; Academic Press: London, UK, 2010; pp. 2077–2088. ISBN 978-0-12-374413-5. [Google Scholar]
- Lahiri, A. Diffraction and Scattering. In Basic Optics; Lahiri, A., Ed.; Elsevier: Amsterdam, The Netherlands, 2016; pp. 385–537. ISBN 978-0-12-805357-7. [Google Scholar]
- Stetefeld, J.; McKenna, S.A.; Patel, T.R. Dynamic Light Scattering: A Practical Guide and Applications in Biomedical Sciences. Biophys. Rev. 2016, 8, 409–427. [Google Scholar] [CrossRef]
- Crocker, J.C.; Hoffman, B.D. Multiple-Particle Tracking and Two-Point Microrheology in Cells. Methods Cell Biol. 2007, 83, 141–178. [Google Scholar] [CrossRef]
- Nishizawa, K.; Bremerich, M.; Ayade, H.; Schmidt, C.F.; Ariga, T.; Mizuno, D. Feedback-Tracking Microrheology in Living Cells. Sci. Adv. 2017, 3, e1700318. [Google Scholar] [CrossRef]
- Weihs, D.; Mason, T.G.; Teitell, M.A. Effects of Cytoskeletal Disruption on Transport, Structure, and Rheology within Mammalian Cells. Phys. Fluids 2007, 19, 103102. [Google Scholar] [CrossRef] [PubMed]
- Hardiman, W.; Clark, M.; Friel, C.; Huett, A.; Pérez-Cota, F.; Setchfield, K.; Wright, A.J.; Tassieri, M. Living Cells as a Biological Analog of Optical Tweezers—A Non-Invasive Microrheology Approach. Acta Biomater. 2023, 166, 317–325. [Google Scholar] [CrossRef] [PubMed]
- Moschakis, T. Microrheology and Particle Tracking in Food Gels and Emulsions. Curr. Opin. Colloid Interface Sci. 2013, 18, 311–323. [Google Scholar] [CrossRef]
- Josephson, L.L.; Furst, E.M.; Galush, W.J. Particle Tracking Microrheology of Protein Solutions. J. Rheol. 2016, 60, 531–540. [Google Scholar] [CrossRef]
- Xia, Q.; Xiao, H.; Pan, Y.; Wang, L. Microrheology, Advances in Methods and Insights. Adv. Colloid Interface Sci. 2018, 257, 71–85. [Google Scholar] [CrossRef] [PubMed]
- Zia, R.N. Active and Passive Microrheology: Theory and Simulation. Annu. Rev. Fluid Mech. 2018, 50, 371–405. [Google Scholar] [CrossRef]
- Gal, N.; Lechtman-Goldstein, D.; Weihs, D. Particle Tracking in Living Cells: A Review of the Mean Square Displacement Method and Beyond. Rheol. Acta 2013, 52, 425–443. [Google Scholar] [CrossRef]
- Tseng, Y.; Kole, T.P.; Wirtz, D. Micromechanical Mapping of Live Cells by Multiple-Particle-Tracking Microrheology. Biophys. J. 2002, 83, 3162–3176. [Google Scholar] [CrossRef] [PubMed]
- Heilbronn, A. Eine Neue Methode Zur Bestimmung Der Viskosität Lebender Protoplasten; Jahrbücher Für Wissenschaftliche Botanik: Leipzig, Germany, 1922. [Google Scholar]
- Crick, F.H.C.; Hughes, A.F.W. The Physical Properties of Cytoplasm: A Study by Means of the Magnetic Particle Method Part I. Experimental. Exp. Cell Res. 1950, 1, 37–80. [Google Scholar] [CrossRef]
- Waigh, T.A. Advances in the Microrheology of Complex Fluids. Rep. Prog. Phys. 2016, 79, 074601. [Google Scholar] [CrossRef]
- Kollmannsberger, P.; Fabry, B. Linear and Nonlinear Rheology of Living Cells. Annu. Rev. Mater. Res. 2011, 41, 75–97. [Google Scholar] [CrossRef]
- Waigh, T.A. The Physics of Living Processes: A Mesoscopic Approach; John Wiley & Sons, Ltd.: Chichester, UK, 2014. [Google Scholar]
- Ziemann, F.; Rädler, J.; Sackmann, E. Local Measurements of Viscoelastic Moduli of Entangled Actin Networks Using an Oscillating Magnetic Bead Micro-Rheometer. Biophys. J. 1994, 66, 2210–2216. [Google Scholar] [CrossRef] [PubMed]
- Taormina, M.J.; Hay, E.A.; Parthasarathy, R. Passive and Active Microrheology of the Intestinal Fluid of the Larval Zebrafish. Biophys. J. 2017, 113, 957–965. [Google Scholar] [CrossRef] [PubMed]
- Yang, Y.; Bai, M.; Klug, W.S.; Levine, A.J.; Valentine, M.T. Microrheology of Highly Crosslinked Microtubule Networks Is Dominated by Force-Induced Crosslinker Unbinding. Soft Matter 2012, 9, 383–393. [Google Scholar] [CrossRef]
- Zakharov, M.N.; Aprelev, A.; Turner, M.S.; Ferrone, F.A. The Microrheology of Sickle Hemoglobin Gels. Biophys. J. 2010, 99, 1149–1156. [Google Scholar] [CrossRef] [PubMed][Green Version]
- Whyte, C.S.; Chernysh, I.N.; Domingues, M.M.; Connell, S.; Weisel, J.W.; Ariens, R.A.S.; Mutch, N.J. Polyphosphate Delays Fibrin Polymerisation and Alters the Mechanical Properties of the Fibrin Network. Thromb. Haemost. 2016, 116, 897–903. [Google Scholar] [CrossRef]
- Hoffman, B.D.; Massiera, G.; Van Citters, K.M.; Crocker, J.C. The Consensus Mechanics of Cultured Mammalian Cells. Proc. Natl. Acad. Sci. 2006, 103, 10259–10264. [Google Scholar] [CrossRef]
- Ashkin, A. Acceleration and Trapping of Particles by Radiation Pressure. Phys. Rev. Lett. 1970, 24, 156–159. [Google Scholar] [CrossRef]
- Neuman, K.C.; Block, S.M. Optical Trapping. Rev. Sci. Instrum. 2004, 75, 2787–2809. [Google Scholar] [CrossRef]
- Tassieri, M.; Giudice, F.D.; Robertson, E.J.; Jain, N.; Fries, B.; Wilson, R.; Glidle, A.; Greco, F.; Netti, P.A.; Maffettone, P.L.; et al. Microrheology with Optical Tweezers: Measuring the Relative Viscosity of Solutions ‘at a Glance’. Sci. Rep. 2015, 5, 8831. [Google Scholar] [CrossRef]
- Tassieri, M.; Evans, R.M.L.; Warren, R.L.; Bailey, N.J.; Cooper, J.M. Microrheology with Optical Tweezers: Data Analysis. New J. Phys. 2012, 14, 115032. [Google Scholar] [CrossRef]
- Gittes, F.; Schmidt, C.F. Thermal Noise Limitations on Micromechanical Experiments. Eur. Biophys. J. 1998, 27, 75–81. [Google Scholar] [CrossRef]
- Berg-Sørensen, K.; Flyvbjerg, H. Power Spectrum Analysis for Optical Tweezers. Rev. Sci. Instrum. 2004, 75, 594–612. [Google Scholar] [CrossRef]
- Tassieri, M.; Gibson, G.M.; Evans, R.M.L.; Yao, A.M.; Warren, R.; Padgett, M.J.; Cooper, J.M. Measuring Storage and Loss Moduli Using Optical Tweezers: Broadband Microrheology. Phys. Rev. E 2010, 81, 026308. [Google Scholar] [CrossRef]
- Smith, M.G.; Gibson, G.M.; Link, A.; Raghavan, A.; Clarke, A.; Franke, T.; Tassieri, M. The Role of Elastic Instability on the Self-Assembly of Particle Chains in Simple Shear Flow. Physics of Fluids 2023, 35, 122017. [Google Scholar] [CrossRef]
- Pinchiaroli, J.; Saldanha, R.; Patteson, A.E.; Robertson-Anderson, R.M.; Gurmessa, B.J. Scale-Dependent Interactions Enable Emergent Microrheological Stress Response of Actin–Vimentin Composites. Soft Matter 2024, 20, 9007–9021. [Google Scholar] [CrossRef] [PubMed]
- Alshareedah, I.; Moosa, M.M.; Pham, M.; Potoyan, D.A.; Banerjee, P.R. Programmable Viscoelasticity in Protein-RNA Condensates with Disordered Sticker-Spacer Polypeptides. Nat. Commun. 2021, 12, 6620. [Google Scholar] [CrossRef]
- Alshareedah, I.; Borcherds, W.M.; Cohen, S.R.; Singh, A.; Posey, A.E.; Farag, M.; Bremer, A.; Strout, G.W.; Tomares, D.T.; Pappu, R.V.; et al. Sequence-Specific Interactions Determine Viscoelasticity and Ageing Dynamics of Protein Condensates. Nat. Phys. 2024, 20, 1482–1491. [Google Scholar] [CrossRef]
- Robertson-Anderson, R.M. Optical Tweezers Microrheology: From the Basics to Advanced Techniques and Applications. ACS Macro Lett. 2018, 7, 968–975. [Google Scholar] [CrossRef] [PubMed]
- Chapman, C.D.; Lee, K.; Henze, D.; Smith, D.E.; Robertson-Anderson, R.M. Onset of Non-Continuum Effects in Microrheology of Entangled Polymer Solutions. Macromolecules 2014, 47, 1181–1186. [Google Scholar] [CrossRef]
- Berne, B.J.; Pecora, R. Dynamic Light Scattering: With Applications to Chemistry, Biology, and Physics; Dover Publications Inc.: Mineola, NY, USA, 2000. [Google Scholar]
- Del Giudice, F.; Tassieri, M.; Oelschlaeger, C.; Shen, A.Q. When Microrheology, Bulk Rheology, and Microfluidics Meet: Broadband Rheology of Hydroxyethyl Cellulose Water Solutions. Macromolecules 2017, 50, 2951–2963. [Google Scholar] [CrossRef]
- Teixeira, A.V.; Geissler, E.; Licinio, P. Dynamic Scaling of Polymer Gels Comprising Nanoparticles. J. Phys. Chem. B 2007, 111, 340–344. [Google Scholar] [CrossRef] [PubMed][Green Version]
- Pine, D.J.; Weitz, D.A.; Chaikin, P.M.; Herbolzheimer, E. Diffusing Wave Spectroscopy. Phys. Rev. Lett. 1988, 60, 1134–1137. [Google Scholar] [CrossRef]
- Weitz, D.; Pine, D. Diffusing-Wave Spectroscopy. In Dynamic Light Scattering: The Method and Some Applications; Brown, W., Ed.; Monographs on the Physics and Chemistry of Material; Oxford University Press: Oxford, UK, 1993; Volume 49, pp. 652–720. [Google Scholar]
- Viasnoff, V.; Lequeux, F.; Pine, D.J. Multispeckle Diffusing-Wave Spectroscopy: A Tool to Study Slow Relaxation and Time-Dependent Dynamics. Rev. Sci. Instrum. 2002, 73, 2336–2344. [Google Scholar] [CrossRef]
- Oelschlaeger, C.; Cota Pinto Coelho, M.; Willenbacher, N. Chain Flexibility and Dynamics of Polysaccharide Hyaluronan in Entangled Solutions: A High Frequency Rheology and Diffusing Wave Spectroscopy Study. Biomacromolecules 2013, 14, 3689–3696. [Google Scholar] [CrossRef] [PubMed]
- Cho, D.H.; Aguayo, S.; Cartagena-Rivera, A.X. Atomic Force Microscopy-Mediated Mechanobiological Profiling of Complex Human Tissues. Biomaterials 2023, 303, 122389. [Google Scholar] [CrossRef] [PubMed]
- Mendonca, T.; Lis-Slimak, K.; Matheson, A.B.; Smith, M.G.; Anane-Adjei, A.B.; Ashworth, J.C.; Cavanagh, R.; Paterson, L.; Dalgarno, P.A.; Alexander, C.; et al. OptoRheo: Simultaneous in Situ Micro-Mechanical Sensing and Imaging of Live 3D Biological Systems. Commun. Biol. 2023, 6, 463. [Google Scholar] [CrossRef]
- Walker, M.; Pringle, E.W.; Ciccone, G.; Oliver-Cervelló, L.; Tassieri, M.; Gourdon, D.; Cantini, M. Mind the Viscous Modulus: The Mechanotransductive Response to the Viscous Nature of Isoelastic Matrices Regulates Stem Cell Chondrogenesis. Adv. Healthc. Mater. 2024, 13, 2302571. [Google Scholar] [CrossRef] [PubMed]
- Tassieri, M.; Ramírez, J.; Karayiannis, N.C.; Sukumaran, S.K.; Masubuchi, Y. I-Rheo GT: Transforming from Time to Frequency Domain without Artifacts. Macromolecules 2018, 51, 5055–5068. [Google Scholar] [CrossRef]
- Tassieri, M.; Laurati, M.; Curtis, D.J.; Auhl, D.W.; Coppola, S.; Scalfati, A.; Hawkins, K.; Williams, P.R.; Cooper, J.M. I-Rheo: Measuring the Materials’ Linear Viscoelastic Properties “in a Step”! J. Rheol. 2016, 60, 649–660. [Google Scholar] [CrossRef]
- Tripathy, S.; Berger, E.J. Measuring Viscoelasticity of Soft Samples Using Atomic Force Microscopy. J. Biomech. Eng. 2009, 131, 094507. [Google Scholar] [CrossRef] [PubMed]
- Haidar, Y.; Tassieri, M. I-Rheo-AFM; University of Glasgow: Glasgow, UK, 2024. [Google Scholar] [CrossRef]
- Guadayol, Ò.; Mendonca, T.; Segura-Noguera, M.; Wright, A.J.; Tassieri, M.; Humphries, S. Microrheology Reveals Microscale Viscosity Gradients in Planktonic Systems. Proc. Natl. Acad. Sci. USA 2021, 118, e2011389118. [Google Scholar] [CrossRef] [PubMed]
- Matheson, A.B.; Paterson, L.; Wright, A.J.; Mendonca, T.; Tassieri, M.; Dalgarno, P.A. Optical Tweezers with Integrated Multiplane Microscopy (OpTIMuM): A New Tool for 3D Microrheology. Sci. Rep. 2021, 11, 5614. [Google Scholar] [CrossRef] [PubMed]
- Ramírez, J.; Gibson, G.M.; Tassieri, M. Optical Halo: A Proof of Concept for a New Broadband Microrheology Tool. Micromachines 2024, 15, 889. [Google Scholar] [CrossRef] [PubMed]






















| Technique | Advantages | Drawbacks/Limitations |
|---|---|---|
| PVPTM | Simple equipment; Non-invasive measurements | Limited frequency range; Not applicable to stiff or non-equilibrium systems |
| MT | Suitable for high-viscoelasticity fluids; Biologically safe magnetic control | Sophisticated and not easily multiplexed |
| OT | Extremely sensitive; Useful for broadband rheology | Sophisticated and expensive instrumentation |
| DLS | Commercially available equipment; Suitable for dilute samples | Cannot resolve spatial heterogeneity; Not suitable for highly turbid samples |
| DWS | Can probe opaque/turbid samples; Excellent performance in highly turbid samples | Requires multiple scattering; Complex data analysis; Cannot resolve spatial heterogeneity |
| AFM | High spatial resolution; Suitable for tiny sample volumes | Limited to surface contact measurements; Low throughput |
Disclaimer/Publisher’s Note: The statements, opinions and data contained in all publications are solely those of the individual author(s) and contributor(s) and not of MDPI and/or the editor(s). MDPI and/or the editor(s) disclaim responsibility for any injury to people or property resulting from any ideas, methods, instructions or products referred to in the content. |
© 2025 by the authors. Licensee MDPI, Basel, Switzerland. This article is an open access article distributed under the terms and conditions of the Creative Commons Attribution (CC BY) license (https://creativecommons.org/licenses/by/4.0/).
Share and Cite
Fernandez, A.J.; Gibson, G.M.; Rył, A.; Tassieri, M. Microrheology: From Video Microscopy to Optical Tweezers. Micromachines 2025, 16, 918. https://doi.org/10.3390/mi16080918
Fernandez AJ, Gibson GM, Rył A, Tassieri M. Microrheology: From Video Microscopy to Optical Tweezers. Micromachines. 2025; 16(8):918. https://doi.org/10.3390/mi16080918
Chicago/Turabian StyleFernandez, Andrea Jannina, Graham M. Gibson, Anna Rył, and Manlio Tassieri. 2025. "Microrheology: From Video Microscopy to Optical Tweezers" Micromachines 16, no. 8: 918. https://doi.org/10.3390/mi16080918
APA StyleFernandez, A. J., Gibson, G. M., Rył, A., & Tassieri, M. (2025). Microrheology: From Video Microscopy to Optical Tweezers. Micromachines, 16(8), 918. https://doi.org/10.3390/mi16080918

