Overview of the Properties and Formation Process of Interface Traps in MOS and Linear Bipolar Devices
Abstract
1. Introduction
2. The Properties and Formation Mechanism of Interface Traps
2.1. The Properties of Interface Traps
2.2. The Mechanism of Accelerated Aging Experiments on Interface Traps
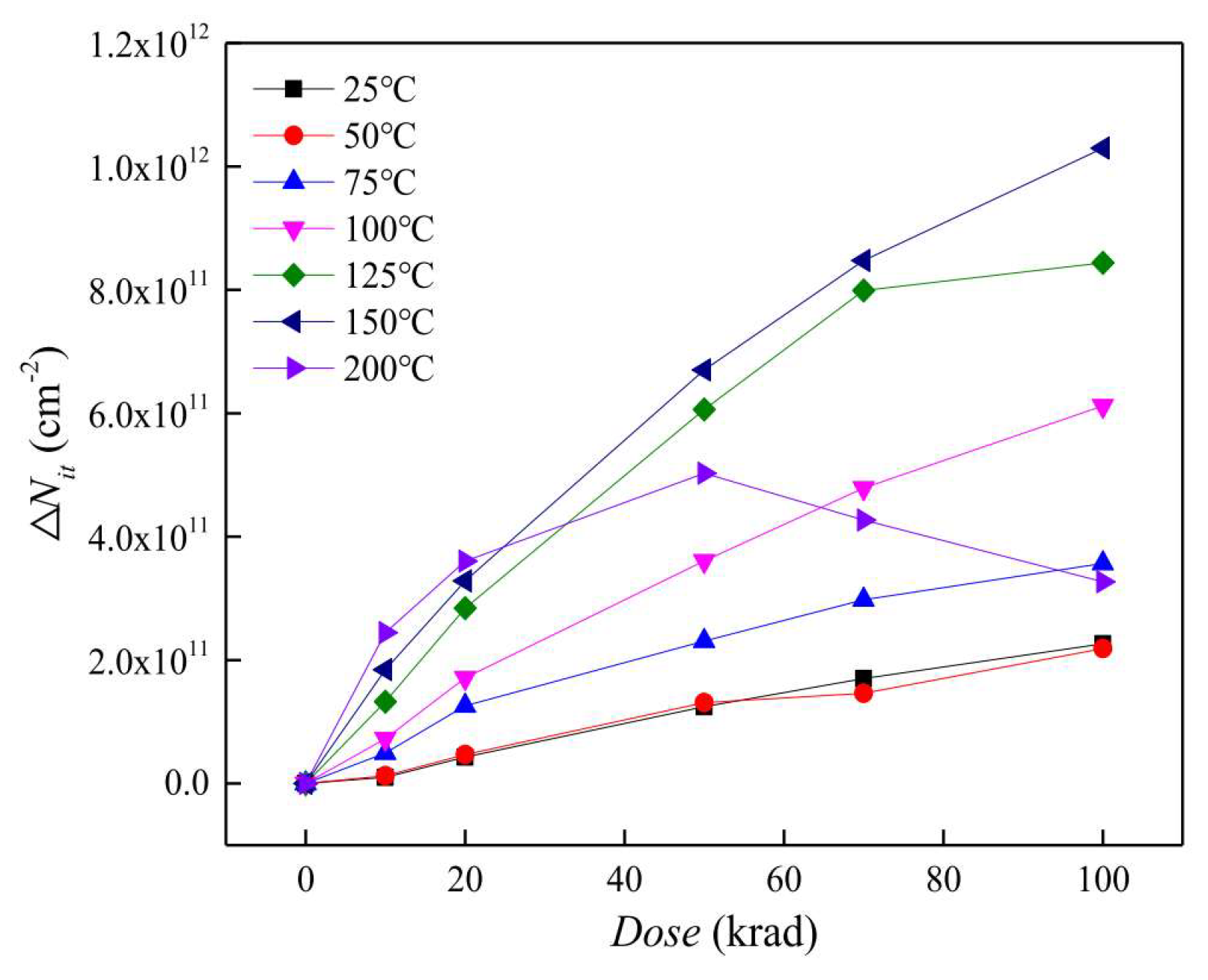
2.2.1. The Mechanism of Accelerated Aging Experiments on Interface Traps in MOS Devices
2.2.2. The Mechanism of Accelerated Aging Experiments on Interface Traps in Linear Bipolar Devices
2.3. The Mechanism of the Impact of Different Bias Conditions on Interface Traps
2.3.1. The Mechanism of the Impact of Different Bias Conditions on Interface Traps in MOS Devices
2.3.2. The Mechanism of the Impact of Different Bias Conditions on Interface Traps in Linear Bipolar Devices
3. Overview on the Annealing Mechanism of Interface Traps
3.1. Research on the Annealing Mechanism of Interface Traps
3.1.1. Research on the Annealing Mechanism of Interface Traps in MOS Devices
3.1.2. Research on the Annealing Mechanism of Interface Traps in Linear Bipolar Devices
3.2. Variable-Temperature Annealing Experiments After Irradiation
3.2.1. Variable-Temperature Annealing Experiment After Irradiation in MOS Devices
3.2.2. Variable-Temperature Annealing Experiments After Irradiation in Linear Bipolar Devices
4. Overview of the Simulation Research on Interface Traps
4.1. Analytical Models and Simulation Methods
4.2. Deep Learning and Optimization Algorithms
4.3. First-Principles Calculations
5. Challenges and Future Outlook
Author Contributions
Funding
Conflicts of Interest
References
- Li, M.; Hu, T. Research status and development trend of MEMS S&A devices: A review. Def. Technol. 2021, 17, 450–456. [Google Scholar] [CrossRef]
- Li, Y.; Zhu, M.; Huang, H.; Li, L. Study on Molecular Dynamics of CL-20/TNT eutectic and Blended structures. J. Nav. Univ. Eng. 2019, 35, 107–112. [Google Scholar]
- Dyer, C.S.; Ryden, K.A.; Morris, P.A.; Hands, A.D.P.; McNulty, P.J.; Vaille, J.-R.; Dusseau, L.; Cellere, G.; Paccagnella, A.; Barnaby, H.J.; et al. The Living With a Star Space Environment Testbed Payload. IEEE Trans. Nucl. Sci. 2023, 70, 200–215. [Google Scholar] [CrossRef]
- Pease, R.L.; Schrimpf, R.D.; Fleetwood, D.M. ELDRS in bipolar linear circuits: A review. IEEE Trans. Nucl. Sci. 2008, 56, 18–32. [Google Scholar]
- Adell, P.; Boch, J. Dose and dose rate effects in micro-electronics: Pushing the limits to extreme conditions. In Proceedings of the IEEE Nuclear and Space Radiation Effects Conference (NSREC), Short Course 2014, Paris, France, 14–18 July 2014. [Google Scholar]
- Poindexter, E.H.; Caplan, P.J.; Deal, B.E.; Razouk, R.R. Interface states and electron spin resonance centers in thermally oxidized (111) and (100) silicon wafers. J. Appl. Phys. 1981, 52, 879–884. [Google Scholar] [CrossRef]
- Ma, T.P. Interface trap transformation in radiation or hot-electron damaged MOS structures. Semicond. Sci. Technol. 1989, 4, 1061. [Google Scholar]
- Wang, Y.; Ma, T.P.; Barker, R.C. Interface-Trap transformation at radiation-damaged (111) Si/SiO2 interface. Appl. Phys. Lett. 1989, 54, 2339–2341. [Google Scholar]
- Stathis, J.H.; Dori, L. Fundamental chemical differences among P b defects on (111) and (100) silicon. Appl. Phys. Lett. 1991, 58, 1641–1643. [Google Scholar]
- Li, X.; Liu, C.; Yang, J.; Ma, G.; Jiang, L.; Sun, Z. Synergistic Effect of Ionization and Displacement Defects in NPN Transistors Induced by 40-MeV Si Ion Irradiation With Low Fluence. IEEE Trans. Device Mater. Reliab. 2015, 15, 511–518. [Google Scholar] [CrossRef]
- Wang, C.; Chen, W.; Yao, Z.; Jin, X.; Liu, Y.; Yang, S.; Wang, Z. Ionizing/displacement synergistic effects induced by gamma and neutron irradiation in gate-controlled lateral PNP bipolar transistors. Nucl. Instrum. Methods Phys. Res. Sect. A Accel. Spectrometers Detect. Assoc. Equip. 2016, 831, 322–327. [Google Scholar] [CrossRef]
- Li, X.; Yang, J.; Barnaby, H.J.; Li, P.; Sun, X.; Dong, L.; Fleetwood, D.M. The Sensitive Region of Displacement Damage in LPNP Induced by Various Charged Particles. In Proceedings of the 2019 19th European Conference on Radiation and Its Effects on Components and Systems (RADECS), Montpellier, France, 16–20 September 2019; IEEE: Piscataway, NJ, USA, 2019; pp. 1–5. [Google Scholar]
- Guan, E.; Wei, Y.; Ying, T.; Cui, X.; Lv, G.; Li, W.; Yang, J.; Li, X. The Effects of Displacement Damage on Ionization Effect in SiO2 Layer of Bipolar Transistor. IEEE Trans. Nucl. Sci. 2022, 69, 2229–2235. [Google Scholar] [CrossRef]
- Duan, B.; Xiong, C.; Zhou, H.; Zhang, G.; Zhang, W.; Zeng, C.; Liu, Y. Electronic properties of ionizing radiation-induced defects at SiO2/Si interface associated with non-trivial excess current splitting. Eur. Phys. J. Plus 2024, 139, 1. [Google Scholar]
- Titus, J.; Wheatley, C.; Burton, D.; Mouret, I.; Allenspach, M.; Brews, J.; Schrimpf, R.; Galloway, K.; Pease, R. Impact of oxide thickness on SEGR failure in vertical power MOSFETs; development of a semi-empirical expression. IEEE Trans. Nucl. Sci. 1995, 42, 1928–1934. [Google Scholar] [CrossRef]
- Barnaby, H.J. Total-Ionizing-Dose effects in modern CMOS technologies. IEEE Trans. Nucl. Sci. 2006, 53, 3103–3121. [Google Scholar]
- Fleetwood, D.M.; Zhang, E.X.; Schrimpf, R.D.; Pantelides, S.T.; Bonaldo, S. Effects of Interface Traps and Hydrogen on the Low-Frequency Noise of Irradiated MOS Devices. IEEE Trans. Nucl. Sci. 2023, 71, 555–568. [Google Scholar] [CrossRef]
- Tan, H.; Zhang, L.; Tan, R.; Dong, P. A Deep Insight Into the Ionizing Radiation Effects and Mechanisms on the Dynamic Characteristics of SiC MOSFETs. IEEE Trans. Electron Devices 2023, 71, 1145–1152. [Google Scholar] [CrossRef]
- Pease, R.L.; Adell, P.C.; Rax, B.G.; Chen, X.J.; Barnaby, H.J.; Holbert, K.E.; Hjalmarson, H.P. The Effects of Hydrogen on the Enhanced Low Dose Rate Sensitivity (ELDRS) of Bipolar Linear Circuits. IEEE Trans. Nucl. Sci. 2008, 55, 3169–3173. [Google Scholar] [CrossRef]
- Hughart, D.R.; Schrimpf, R.D.; Fleetwood, D.M.; Chen, X.J.; Barnaby, H.J.; Holbert, K.E.; Pease, R.L.; Platteter, D.G.; Tuttle, B.R.; Pantelides, S.T. The Effects of Aging and Hydrogen on the Radiation Response of Gated Lateral PNP Bipolar Transistors. IEEE Trans. Nucl. Sci. 2009, 56, 3361–3366. [Google Scholar] [CrossRef]
- Li, X.L.; Lu, W.; Wang, X.; Guo, Q.; Wei, X.Y. Estimation of low-dose-rate degradation on bipolar linear circuits using different accelerated evaluation methods. Acta Phys. Sin. 2018, 67, 096101. [Google Scholar]
- Li, X.-L.; Lu, W.; Wang, X.; Yu, X.; Guo, Q.; Sun, J.; Liu, M.-H.; Yao, S.; Wei, X.-Y.; He, C.-F. Estimation of enhanced low dose rate sensitivity mechanisms using temperature switching irradiation on gate-controlled lateral PNP transistor. Chin. Phys. B 2018, 27. [Google Scholar] [CrossRef]
- Zhao, J.-Y.; Yang, J.-Q.; Dong, L.; Li, X.-J. Hydrogen soaking irradiation acceleration method: Application to and damage mechanism analysis on 3DG111 transistors. Acta Phys. Sin. 2019, 68, 068501. [Google Scholar] [CrossRef]
- Dong, L.; Yang, J.; Yu, X.; Lv, G.; Fan, Y.; Li, X. Evolution of Ionization-Induced Defects in GLPNP Bipolar Transistors at Different Temperatures. IEEE Trans. Nucl. Sci. 2020, 67, 2003–2008. [Google Scholar] [CrossRef]
- Zhou, H.; Zhang, G.; Duan, B.; Liu, Y. Unusual dual optimum temperatures for ionizing radiation-induced defect generation in GLPNP bipolar transistors. J. Mater. Sci. Mater. Electron. 2023, 34, 1–11. [Google Scholar] [CrossRef]
- Dewitte, H.; Paillet, P.; Rizzolo, S.; Le Roch, A.; Marcandella, C.; Goiffon, V. Ultra-High Total Ionizing Dose Effects on MOSFETs for Analog Applications. IEEE Trans. Nucl. Sci. 2021, 68, 697–706. [Google Scholar] [CrossRef]
- Zhang, J.; Guo, Q.; Guo, H.; Lu, W.; He, C.; Wang, X.; Liu, M. Impact of Bias Conditions on Total Ionizing Dose Effects of 60Co gamma in SiGe HBT. IEEE Trans. Nucl. Sci. 2016, 63, 1251–1258. [Google Scholar]
- Li, Z.; Liu, S.; Song, C.; Han, N.; Adekoya, M.A. Experimental Investigation of the Effects of Reactor Neutron-Gamma Pulse Irradiation on SiGe HBTs Under Different Bias Conditions. IEEE Access 2021, 9, 159105–159112. [Google Scholar] [CrossRef]
- Peng, C.; Lei, Z.; Zhang, H. Study on Total Dose Radiation Damage Defects of Silicon Epitaxial Planar NPN Bipolar Transistors. At. Energy Sci. Technol. 2022, 56, 2187–2194. [Google Scholar]
- Hughart, D.R.; Schrimpf, R.D.; Fleetwood, D.M.; Tuttle, B.R.; Pantelides, S.T. Mechanisms of Interface Trap Buildup and Annealing During Elevated Temperature Irradiation. IEEE Trans. Nucl. Sci. 2011, 58, 2930–2936. [Google Scholar] [CrossRef]
- Li, X.; Zeng, C.; Wang, R.; Gao, L.; Yan, W.; Luo, J.; Han, Z. Investigation of interface traps at Si/SiO2 interface of SOI pMOSFETs induced by Fowler–Nordheim tunneling stress using the DCIV method. Appl. Phys. A 2018, 124, 599. [Google Scholar] [CrossRef]
- Bonaldo, S.; Gerardin, S.; Jin, X.; Paccagnella, A.; Faccio, F.; Borghello, G.; Fleetwood, D.M. Charge Buildup and Spatial Distribution of Interface Traps in 65-nm pMOSFETs Irradiated to Ultrahigh Doses. IEEE Trans. Nucl. Sci. 2019, 66, 1574–1583. [Google Scholar] [CrossRef]
- Song, Y.; Qiu, C.; Zhou, H.; Liu, Y.; Chen, X.; Wei, S.H. Mechanisms and models of interface trap annealing in positively-biased MOS devices. J. Phys. D Appl. Phys. 2024, 58, 025109. [Google Scholar]
- Yang, J.; Lv, G.; Dong, L.; Xu, P.; Li, X. A Direct Evidence of the Annealing Effect of Ionization Damage on Displacement Damage in NPN Transistors. In Proceedings of the 2019 19th European Conference on Radiation and Its Effects on Components and Systems (RADECS), Montpellier, France, 16–20 September 2019; pp. 1–5. [Google Scholar]
- Zhou, X.; Fleetwood, D.; Felix, J.; Gusev, E.; D’Emic, C. Bias-temperature instabilities and radiation effects in MOS devices. IEEE Trans. Nucl. Sci. 2005, 52, 2231–2238. [Google Scholar] [CrossRef]
- Shaneyfelt, M.; Schwank, J.; Fleetwood, D.; Pease, R.; Felix, J.; Dodd, P.; Maher, M. Annealing behavior of linear bipolar devices with enhanced low-dose-rate sensitivity. IEEE Trans. Nucl. Sci. 2004, 51, 3172–3177. [Google Scholar] [CrossRef]
- Chen, X.J.; Barnaby, H.J.; Schrimpf, R.D.; Fleetwood, D.M.; Pease, R.L.; Platteter, D.G.; Dunham, G.W. Nature of Interface Defect Buildup in Gated Bipolar Devices Under Low Dose Rate Irradiation. IEEE Trans. Nucl. Sci. 2006, 53, 3649–3654. [Google Scholar] [CrossRef]
- Liu, C.; Li, X.; Yang, J.; Ma, G.; Sun, Z. Radiation Defects and Annealing Study on PNP Bipolar Junction Transistors Irradiated by 3-MeV Protons. IEEE Trans. Nucl. Sci. 2015, 62, 3381–3386. [Google Scholar] [CrossRef]
- Li, X.; Lu, W.; Guo, Q.; Fleetwood, D.M.; He, C.; Wang, X.; Yu, X.; Sun, J.; Liu, M.; Yao, S. Temperature-Switching During Irradiation as a Test for ELDRS in Linear Bipolar Devices. IEEE Trans. Nucl. Sci. 2018, 66, 199–206. [Google Scholar] [CrossRef]
- Yao, S.; Lu, W.; Yu, X.; Guo, Q.; He, C.; Li, X.; Wang, X.; Liu, M.; Sun, J.; Wei, X.; et al. Using a Temperature-Switching Approach to Evaluate Low-Dose-Rate Ionizing Radiation Effects on SET in Linear Bipolar Circuits. IEEE Trans. Nucl. Sci. 2019, 66, 1557–1565. [Google Scholar] [CrossRef]
- Nergui, D.; Teng, J.W.; Hosseinzadeh, M.; Mensah, Y.; Li, K.; Gorchichko, M.; Cressler, J.D. Total-ionizing-dose response of SiGe HBTs at elevated temperatures. IEEE Trans. Nucl. Sci. 2022, 69, 1079–1084. [Google Scholar]
- Rashkeev, S.; Fleetwood, D.; Schrimpf, R.; Pantelides, S. Effects of hydrogen motion on interface trap formation and annealing. IEEE Trans. Nucl. Sci. 2004, 51, 3158–3165. [Google Scholar] [CrossRef]
- Mo, R.; Li, P.; Lyu, H.; Mei, B.; Sun, Y.; Yu, Q.; Cao, S.; Wang, Q.; Zhang, H. Study on annealing effect of bipolar transistors at different temperatures after total dose irradiation. Microelectron. Reliab. 2023, 150, 115125. [Google Scholar] [CrossRef]
- Wang, C.; Bai, X.; Chen, W.; Yang, S.; Liu, Y.; Jin, X.; Ding, L. Simulation of synergistic effects on lateral PNP bipolar transistors induced by neutron and gamma irradiation. Nucl. Instrum. Methods Phys. Res. Sect. A Accel. Spectrometers Detect. Assoc. Equip. 2015, 796, 108–113. [Google Scholar] [CrossRef]
- Tolleson, B.S.; Adell, P.C.; Rax, B.; Barnaby, H.J.; Privat, A.; Han, X.; Mahmud, A.; Livingston, I. Improved Model for Excess Base Current in Irradiated Lateral p-n-p Bipolar Junction Transistors. IEEE Trans. Nucl. Sci. 2018, 65, 1488–1495. [Google Scholar] [CrossRef]
- Li, R.; Wang, C.; Chen, W.; He, C.; Wang, G.; Li, J.; Bai, X.; Cong, P.; Guo, X. Synergistic Effects of TID and ATREE in Vertical NPN Bipolar Transistor. IEEE Trans. Nucl. Sci. 2019, 66, 1566–1573. [Google Scholar] [CrossRef]
- Li, L.; Chen, X.; Li, X.; Li, Z.; Jian, Y.; Wu, Y.; Zhang, J.; Ren, M.; Zhang, B. Analytical model for total ionizing dose-induced excess base current in PNP BJTs. Microelectron. Reliab. 2020, 113, 113939. [Google Scholar] [CrossRef]
- Song, Y.; Zhang, G.; Cai, X.; Liu, Y.; Zhou, H.; Zhong, L.; Dai, G.; Zuo, X.; Wei, S.H. Universal Analytic Model of Irradiation Defect Dynamics in Silica-Silicon Structures. arXiv 2020, arXiv:2008.04486. [Google Scholar]
- Dean, B.; Peyton, T.; Carpenter, J.; Sam, D.; Peterson, A.; Kim, J.; Lawrence, S.; Fadul, M.; Reising, D.R.; Loveless, T.D. Machine Learning Approaches for Analysis of Total Ionizing Dose in Microelectronics. In Proceedings of the 2022 22nd European Conference on Radiation and Its Effects on Components and Systems (RADECS), Venice, Italy, 3–7 October 2022; IEEE: Piscataway, NJ, USA, 2022; pp. 1–7. [Google Scholar]
- Wang, B.-C.; Qiu, M.-T.; Chen, W.; Wang, C.-H.; Tang, C.-X. Machine learning-based analyses for total ionizing dose effects in bipolar junction transistors. Nucl. Sci. Tech. 2022, 33, 1–11. [Google Scholar] [CrossRef]
- Li, L.; Chen, X.C.; Yang, G.X. Deep-Learning Model for Buildup of Ionization Defects in Bipolar Junction Transistors. IEEE Trans. Nucl. Sci. 2023, 70, 2175–2182. [Google Scholar]
- Chong, C.; Liu, H.; Wang, S.; Wang, Z. Algorithm prediction of single particle irradiation effect based on novel TFETs. Nanotechnology 2024, 35, 455201. [Google Scholar] [CrossRef]
- Pantelides, S.T.; Ramamoorthy, M. Atomic-scale dynamics during silicon oxidation and the properties of defects at the Si–SiO2 interface. J. Non-Crystalline Solids 1999, 254, 38–46. [Google Scholar] [CrossRef]
- Rashkeev, S.; Fleetwood, D.; Schrimpf, R.; Pantelides, S. Proton-induced defect generation at the Si-SiO2 interface. IEEE Trans. Nucl. Sci. 2001, 48, 2086–2092. [Google Scholar] [CrossRef]
- Fleetwood, D.M. Evolution of Total Ionizing Dose Effects in MOS Devices With Moore’s Law Scaling. IEEE Trans. Nucl. Sci. 2017, 65, 1465–1481. [Google Scholar] [CrossRef]
- Rowsey, N.L.; Law, M.E.; Schrimpf, R.D.; Fleetwood, D.M.; Tuttle, B.R.; Pantelides, S.T. A Quantitative Model for ELDRS and H2H2 Degradation Effects in Irradiated Oxides Based on First Principles Calculations. IEEE Trans. Nucl. Sci. 2011, 58, 2937–2944. [Google Scholar] [CrossRef]
- Chen, X.J.; Barnaby, H.J.; Vermeire, B.; Holbert, K.; Wright, D.; Pease, R.L.; Dunham, G.; Platteter, D.G.; Seiler, J.; McClure, S.; et al. Mechanisms of Enhanced Radiation-Induced Degradation Due to Excess Molecular Hydrogen in Bipolar Oxides. IEEE Trans. Nucl. Sci. 2007, 54, 1913–1919. [Google Scholar] [CrossRef]
- Zhu, H.; Xie, W.; Liu, X.; Liu, Y.; Zhang, J.; Zuo, X. First-Principles study of non-radiative carrier capture by defects at amorphous-SiO2/Si (100) interface. Chin. Phys. B 2023, 32, 077303. [Google Scholar]
- Yang, Z.-H.; Liu, Y.; An, N.; Chen, X. The mechanism of the irradiation synergistic effect of silicon bipolar junction transistors explained by multiscale simulations of Monte Carlo and excited-state first-principle calculations. J. Chem. Phys. 2023, 159. [Google Scholar] [CrossRef]























Disclaimer/Publisher’s Note: The statements, opinions and data contained in all publications are solely those of the individual author(s) and contributor(s) and not of MDPI and/or the editor(s). MDPI and/or the editor(s) disclaim responsibility for any injury to people or property resulting from any ideas, methods, instructions or products referred to in the content. |
© 2025 by the authors. Licensee MDPI, Basel, Switzerland. This article is an open access article distributed under the terms and conditions of the Creative Commons Attribution (CC BY) license (https://creativecommons.org/licenses/by/4.0/).
Share and Cite
Ren, Y.; Zhu, M.; Dai, X.; Li, L.; Liu, M. Overview of the Properties and Formation Process of Interface Traps in MOS and Linear Bipolar Devices. Micromachines 2025, 16, 434. https://doi.org/10.3390/mi16040434
Ren Y, Zhu M, Dai X, Li L, Liu M. Overview of the Properties and Formation Process of Interface Traps in MOS and Linear Bipolar Devices. Micromachines. 2025; 16(4):434. https://doi.org/10.3390/mi16040434
Chicago/Turabian StyleRen, Yanru, Min Zhu, Xuehui Dai, Longxian Li, and Minghui Liu. 2025. "Overview of the Properties and Formation Process of Interface Traps in MOS and Linear Bipolar Devices" Micromachines 16, no. 4: 434. https://doi.org/10.3390/mi16040434
APA StyleRen, Y., Zhu, M., Dai, X., Li, L., & Liu, M. (2025). Overview of the Properties and Formation Process of Interface Traps in MOS and Linear Bipolar Devices. Micromachines, 16(4), 434. https://doi.org/10.3390/mi16040434

