Simulation Analysis of the Chemical Mechanical Polishing Process for Monocrystal 4H-Silicon Carbide Based on Molecular Dynamics
Abstract
1. Introduction
2. Simulation Method
2.1. Experiment Preparation
2.2. Chemical Reaction Model
2.3. CMP Model
2.4. Analytical and Modeling Method
- (1)
- Build a suitable model system.
- (2)
- By delaying the construction model system, the energy of the system is minimized, and the molecular potential energy is lowest.
- (3)
- A chemical reaction occurs between SiC and a hydroxyl radical aqueous solution.
- (4)
- Diamond abrasive particles move along the X-axis direction at different speeds and depths.
- (5)
- Analyze the data of the polishing process.
3. Simulation Results
3.1. Experimental Results of Chemical Reactions
3.2. Subsurface Damage
3.3. Atomic Removal Rate
3.4. Polishing Force and Temperature
3.4.1. Polishing Force
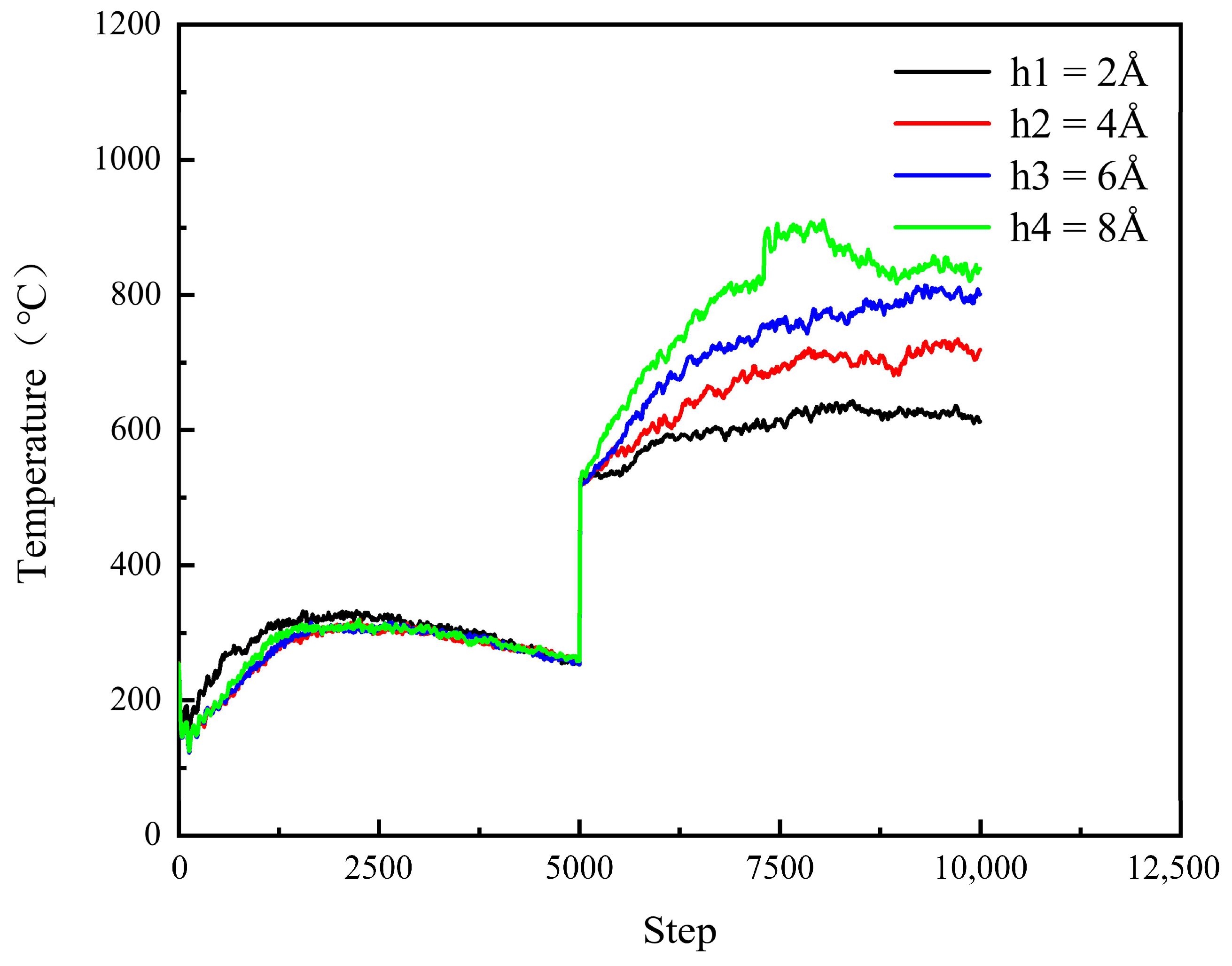
3.4.2. Temperature
3.5. Reaxff-Based Polishing Simulation
4. Conclusions
- In the oxidation simulation, the Si and C atoms are oxidized in different forms. The Si atoms are in the form of Si-O, Si-H, and Si-H2O, while the C atom is mainly in form of C-O. In addition, simulation results show that reaction is not only caused by the H2O2, H2O molecule can also chemically absorb on the SiC surface.
- With the increase in diamond polishing depth, the grooves on the surface of the SiC workpiece are gradually deeper, and the range of atomic fluctuations on both sides is also increasing. When the polishing depth reached 8 angstroms, the highest polishing force reached around 15000 nN, and the instantaneous temperature reached around 800 °C. After polishing, the removed atoms reached 624.
- As the speed of diamond polishing continues to increase, the area of diamond movement is becoming larger. Polishing speed mainly affects the polishing length at a set time duration. When the polishing speed is high, the abrasive can slide through a longer distance, thus producing more atom removal. Hence, when the polishing speed reached 125 m/s, the atom removal number reached 359, and the maximum polishing force reached 1000 nN. In addition, the higher the polishing speed, the higher the instantaneous kinetic energy. In this case, when the abrasive meets the substrate, the higher polishing force can be observed.
- Exploration of polishing speed and polishing depth on the polishing performance reveals that the polishing depth has a more significant impact. Compared to the polishing speed, when the polishing depth increases, a higher polishing force can be generated. This indicates that the polishing pressure has an important influence on the polishing process of the SiC wafer.
- Limitations and future works: This work explores the potential of H2O2 solution in the 4H-SiC wafer polishing. However, the fundamental mechanism of the oxidation behavior of the H2O2 on the 4H-SiC remained unexplored. The first-principle calculation can analyze the chemical behavior through the wave function generated during the calculation. The wave function contains all the chemical information (e.g., electron density, covalent bond, atom charge…). For future work, the first-principles method can be employed to further analyze the chemical behaviors during CMP.
Author Contributions
Funding
Data Availability Statement
Acknowledgments
Conflicts of Interest
References
- Wang, X. Application status and development trend of semiconductor materials. Lamps Light. 2022, 1, 67–69. [Google Scholar]
- Tang, A.L. Study on Mechanism of Vibration-Assisted Photocatalytic Polishing of Silicon Carbide. Master’s Thesis, Shenyang University of Technology, Shenyang, China, 2023. [Google Scholar]
- Chen, Y. Research on the Mechanism of Axial Ultrasonic Vibration Assisted Scraping of Single Crystal Silicon Carbide Based on Molecular Dynamics Simulation. Ph.D. Thesis, Huaqiao University, Quanzhou, China, 2023. [Google Scholar]
- Gao, B.; Zhai, W.J.; Zhai, Q.; Wang, C. Novel photoelectrochemically combined mechanical polishing technology for scratch-free 4H-SiC surface by using CeO2-TiO2 composite photocatalysts and PS/CeO2 core/shell abrasives. Appl. Surf. Sci. 2021, 570, 151141. [Google Scholar] [CrossRef]
- Huang, S.Q.; Gao, S.; Huang, C.Z.; Huang, H. Nanoscale removal mechanisms in abrasive machining of brittle solids. Diam. Abras. Eng. 2022, 42, 257–267. [Google Scholar]
- Luo, Q.F.; Lu, J.; Tian, Z.G.; Jiang, F. Controllable material removal behavior of 6H-SiC wafer in nanoscale polishing. Appl. Surf. Sci. 2021, 562, 150219. [Google Scholar] [CrossRef]
- Meng, B.B.; Yuan, D.D.; Zheng, J.; Qiu, P.; Xu, S.L. Tip-based nanomanufacturing process of single crystal SiC: Ductile deformation mechanism and process optimization. Appl. Surf. Sci. 2020, 500, 144039. [Google Scholar] [CrossRef]
- Wei, S.S.; Yin, Z.P.; Bai, J.; Xie, W.W.; Qin, F.W.; Su, Y.; Wang, D.J. The structural and electronic properties of Carbon-related point defects on 4H-SiC (0001) surface. Appl. Surf. Sci. 2022, 582, 152461. [Google Scholar] [CrossRef]
- Shi, Z.Y. Study on CMP Method and Material Removal Mechanism of Single Crystal Diamond at Room Temperature. Ph.D. Thesis, Dalian University of Technology, Dalian, China, 2020. [Google Scholar]
- Zhou, L.; Audurier, V.; Pirouz, P.; Powell, J.A. Chemomechanical polishing of silicon carbide. J. Electrochem. Soc. 1997, 144, L161. [Google Scholar] [CrossRef]
- Sun, X.H.; Li, J.H.; Zhang, W.; Zeng, Q.F.; Zhang, J.F. Research progress of material removal uniformity in chemical-mechanical polishing of silicon carbide. J. Synth. Cryst. 2024, 53, 585–599. [Google Scholar]
- Lee, H.; Park, B.; Lee, H.S.; Jeong, S.; Seo, H.D.; Joo, S.; Jeong, H.; Kim, H.J. The effect of mixed abrasive slurry on CMP of 6H-SiC substrates. J. Ceram. Process. Res. 2009, 10, 378–381. [Google Scholar]
- Chen, G.M. Study on Ultra-Precision Polishing Technology and Mechanism of Silicon Carbide Wafer. Ph.D. Thesis, Jiangnan University, Wuxi, China, 2017. [Google Scholar]
- Pang, L.F.; Li, X.B.; Li, T.T.; Jia, J.P. Ultra precision CMP technology for SiC wafer. Micronanoelectron. Technol. 2021, 58, 1035–1040. [Google Scholar]
- Xue, M.P.; Xiao, W.; Zhang, T.Y.; Wang, Z.K.; Su, J.X. Catalytic mechanism of triboCMP on (0001) C-face of single crystal 6H-SiC substrate. Int. J. Adv. Manuf. Technol. 2023, 131, 2311–2323. [Google Scholar] [CrossRef]
- Zhai, W.J.; Yang, D.C.; Gong, N. Molecular dynamics simulation of polishing process of silicon carbide under ultrasonic vibration. J. Shanghai Jiaotong Univ. 2018, 52, 599–603. [Google Scholar]
- Wang, G.L.; Zhang, G.H.; Wang, Z.G.; Feng, Z.J. Molecular dynamics simulation of the effect of pressure on phase transformation of nano-polished silicon carbide. Mach. Des. Manuf. 2021, 2, 35–39. [Google Scholar]
- Sun, Q.; Xu, J.X.; Lu, K.; Chu, Z.H. Microsimulation analysis of the interaction between diamond abrasive and silica abrasive in chemical-mechanical polishing of SiC. Electroplat. Finish. 2021, 40, 1254–1261. [Google Scholar]
- Tang, A.L.; Fan, Z.W.; Tang, M.L.; Wang, Y. Effect of abrasive particle vibration on microstructure evolution and material removal of silicon carbide CMP. Diam. Abras. Eng. 2024, 44, 109–122. [Google Scholar]
- Wang, M.; Duan, F. Atomic-level material removal mechanisms of Si (110) chemical mechanical polishing: Insights from ReaxFF reactive molecular dynamics simulations. Langmuir 2021, 37, 2161–2169. [Google Scholar] [CrossRef] [PubMed]
- Ban, X.X.; Zhu, J.H.; Sun, G.N.; Han, S.X.; Duan, T.X.; Wang, N.C. Molecular simulation of ultrasonic assisted diamond grit scratching 4H-SiC single-crystal. Tribol. Int. 2024, 192, 109330. [Google Scholar] [CrossRef]
- Gao, S.; Wang, H.; Huang, H.; Kang, R.K. Molecular simulation of the plastic deformation and crack formation in single grit polishing of 4H-SiC single crystal. Int. J. Mech. Sci. 2023, 247, 108147. [Google Scholar] [CrossRef]
- He, Y.; Yuan, Z.; Tang, M.; Sun, J.; Liu, C.; Gao, X. Mechanism of chemical and mechanical mutual promotion in photocatalysis-assisted CMP for single-crystal SiC. Proc. Inst. Mech. Eng. Part C J. Mech. Eng. Sci. 2022, 236, 11464–11478. [Google Scholar] [CrossRef]
- Wang, W.; Lu, X.; Wu, X.; Wang, R.; Deren, Y.; Pi, X. Oxidation anisotropy of 4H-SiC wafers during chemical-mechanical polishing. Mater. Sci. Semicond. Process. 2025, 185, 109014. [Google Scholar] [CrossRef]
- Kang, H.; Zhong, M.; Li, X.; Yi, M.; Chen, J.; Xu, W. Investigation of Fenton-electrochemical oxidation behavior and polishing mechanism of SiC. Precis. Eng. 2025, 93, 334–343. [Google Scholar] [CrossRef]
- He, L.; Li, J.; Tang, C.; Chen, K.; Yang, L.; Si, J. ReaxFF molecular dynamics of chemical reaction mechanism of SiC crystal with alcoholic additives in CMP. Comput. Mater. Sci. 2025, 258, 114026. [Google Scholar] [CrossRef]
- Cui, D.; Zhang, B.; Xian, W.; Liu, M.; Liu, S.; Wu, P.; Wang, Y. Comparative study on MnO2, Mn2O3, and Mn3O4: Enhancing chemical-mechanical polishing properties of 4H-SiC silicon wafers. Mater. Sci. Semicond. Process. 2025, 191, 109359. [Google Scholar] [CrossRef]
- Zhao, Y.; Gao, S.; Sun, Y.; Wu, Y.; Yang, F.; Kang, R.; Dong, Z. Electric-field-modulated oxidation and its effect on photoelectrochemical mechanical polishing of 4H-SiC. Int. J. Mech. Sci. 2025, 295, 110247. [Google Scholar] [CrossRef]
- Han, Z.; Ran, B.; Pan, J.; Zhuang, R. Investigation of the Visible Photocatalytic–Fenton Reactive Composite Polishing Process for Single-Crystal SiC Wafers Based on Response Surface Methodology. Micromachines 2025, 16, 380. [Google Scholar] [CrossRef]
- Zhou, Y.; Xu, K.; Gao, Y.; Yu, Z.; Zhu, F. Effects of oxidizer concentration and abrasive type on interfacial bonding and material removal in 4H-SiC polishing processes. Phys. Chem. Chem. Phys. 2024, 26, 27791–27806. [Google Scholar] [CrossRef]
- Wu, P.; Liu, N.; Li, X.; Zhu, Y. Material removal rate model for chemical–mechanical polishing of single-crystal SiC substrates using agglomerated diamond abrasive. Precis. Eng. 2024, 88, 572–583. [Google Scholar] [CrossRef]
- Soria, F.A.; Zhang, W.; Paredes-Olivera, P.A.; van Duin, A.C.T.; Patrito, E.M. Si/C/H ReaxFF Reactive Potential for Silicon Surfaces Grafted with Organic Molecules. J. Phys. Chem. C 2018, 122, 23515–23527. [Google Scholar] [CrossRef]




















| Parameter | Settings |
|---|---|
| Workpiece material | Single-crystal 4H-SiC |
| Dimension of the workpiece | 75 Å × 54 Å × 25 Å |
| Number of workpiece atoms | 3840 |
| Polishing solution | 30 wt%H2O2 |
| Number of atoms in polishing solution | 44 |
| Potential energy function | Tersoff |
| Boundary condition | P P P |
| Ensemble | NVE |
| Initial temperature | 300 K |
| Parameter | Settings |
|---|---|
| Workpiece material | Single-crystal 4H-SiC |
| Dimension of the workpiece | 55 Å × 33 Å × 40 Å |
| Number of workpiece atoms | 8480 |
| Abrasive material | Diamond |
| Abrasive radius | 8 Å |
| Number of abrasive atoms | 372 |
| Scratching depth | 2, 4, 6, and 8 Å |
| Scratching velocity | 50, 75, 100, 125 m/s |
| Potential energy function | Tersoff, LJ |
| Boundary condition | P P P |
| Ensemble | NVE |
| Initial temperature | 300 K |
| Atom Pair | Epsilon (eV) | Sigma (Angstrom) |
|---|---|---|
| Si-Cdiamond | 0.0085 | 4.067 |
| Si-O | 0.0061 | 3.693 |
| C-O | 0.0121 | 3.890 |
| Parameter | Settings |
|---|---|
| Workpiece material | Single-crystal 4H-SiC |
| Dimension of the workpiece | 55 Å × 33 Å × 40 Å |
| Number of workpiece atoms | 8480 |
| Abrasive material | Diamond |
| Abrasive radius | 8 Å |
| Number of abrasive atoms | 372 |
| Potential energy function | Reaxff [32] |
| Boundary condition | P P P |
| Ensemble | NVE |
| Initial temperature | 300 K |
Disclaimer/Publisher’s Note: The statements, opinions and data contained in all publications are solely those of the individual author(s) and contributor(s) and not of MDPI and/or the editor(s). MDPI and/or the editor(s) disclaim responsibility for any injury to people or property resulting from any ideas, methods, instructions or products referred to in the content. |
© 2025 by the authors. Licensee MDPI, Basel, Switzerland. This article is an open access article distributed under the terms and conditions of the Creative Commons Attribution (CC BY) license (https://creativecommons.org/licenses/by/4.0/).
Share and Cite
Lei, Y.; Guo, W.; Feng, K.; Sun, Z. Simulation Analysis of the Chemical Mechanical Polishing Process for Monocrystal 4H-Silicon Carbide Based on Molecular Dynamics. Micromachines 2025, 16, 1350. https://doi.org/10.3390/mi16121350
Lei Y, Guo W, Feng K, Sun Z. Simulation Analysis of the Chemical Mechanical Polishing Process for Monocrystal 4H-Silicon Carbide Based on Molecular Dynamics. Micromachines. 2025; 16(12):1350. https://doi.org/10.3390/mi16121350
Chicago/Turabian StyleLei, Yang, Weigang Guo, Kaiping Feng, and Zitong Sun. 2025. "Simulation Analysis of the Chemical Mechanical Polishing Process for Monocrystal 4H-Silicon Carbide Based on Molecular Dynamics" Micromachines 16, no. 12: 1350. https://doi.org/10.3390/mi16121350
APA StyleLei, Y., Guo, W., Feng, K., & Sun, Z. (2025). Simulation Analysis of the Chemical Mechanical Polishing Process for Monocrystal 4H-Silicon Carbide Based on Molecular Dynamics. Micromachines, 16(12), 1350. https://doi.org/10.3390/mi16121350

