Wavefront Correction for Extended Sources Imaging Based on a 97-Element MEMS Deformable Mirror
Abstract
1. Introduction
2. The 97-Element MEMS DM
2.1. Basic Parameters
2.2. Response Functions
3. Simulation of Wavefront Correction for Extended Sources Imaging
3.1. Wavefront Sensorless AO System Model
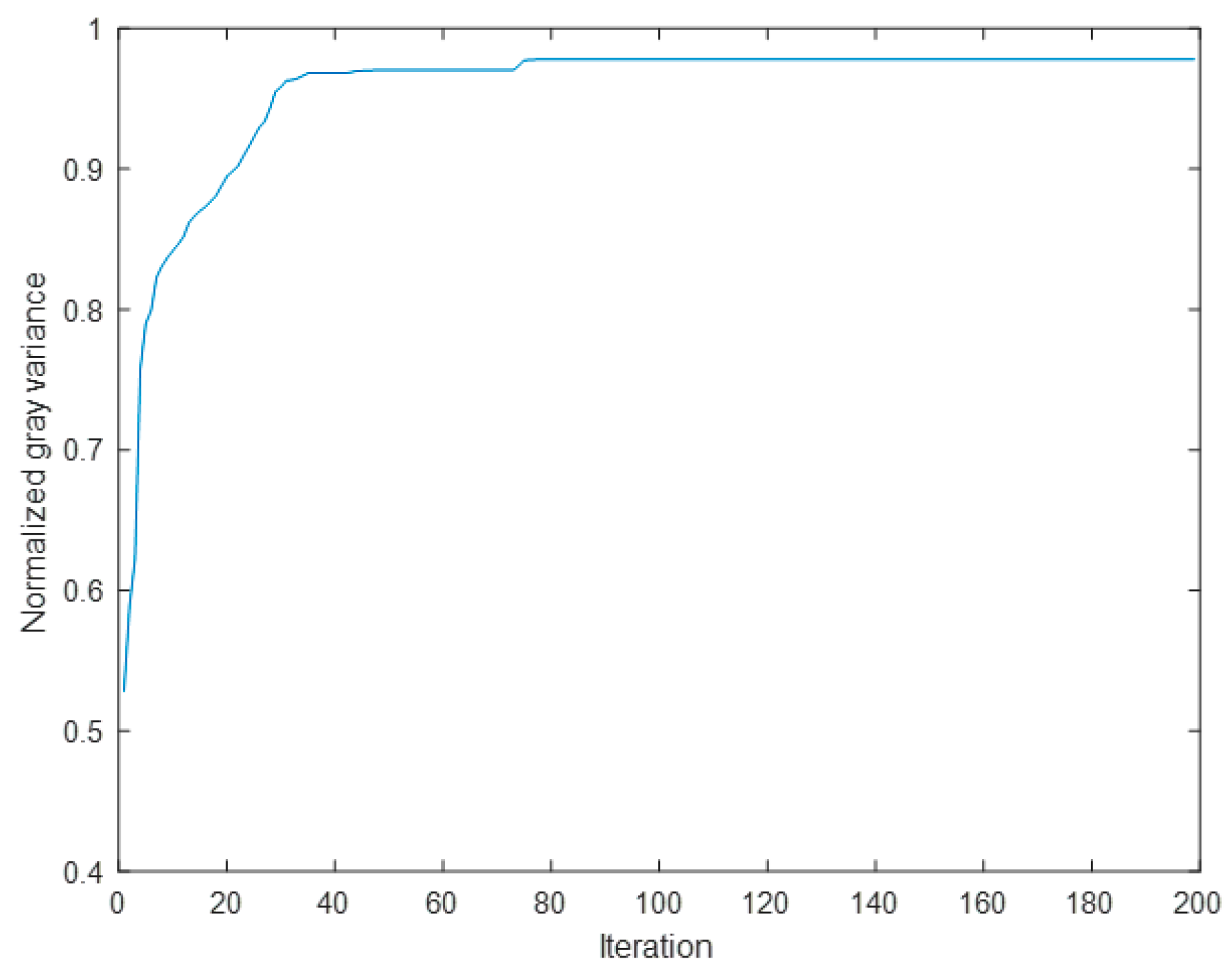
3.2. Simulation Results and Analysis
4. Physical Experiments and Results Analysis


Experimental Results and Analysis
5. Conclusions
Author Contributions
Funding
Data Availability Statement
Conflicts of Interest
References
- Hardy, J. Active optics: A new technology for the control of light. Proc. IEEE 1978, 66, 651–697. [Google Scholar] [CrossRef]
- Oquendo, P.L.; Wright, T.; Naidu, S.C.; Pimentel, M.C.; Hamli, H.; Issa, M.; Faleel, A.; Nagel, F.; Yan, P.; Muni, R.H. Comparison of the Photoreceptor Mosaic Before and After Macular Hole Surgery with High Resolution Adaptive Optics Imaging. Am. J. Ophthalmol. 2024, 63, 7. [Google Scholar] [CrossRef]
- Sun, L.; Dong, J.; Gao, D. Tracking of Maneuvering Extended Object with Random Hypersurface Model Based on Adaptive Uncorrelated Conversion Filter. Int. J. Aeronaut. Space Sci. 2024, 1–15. [Google Scholar] [CrossRef]
- Ren, H.; Dong, B. Self-calibrated general model-based wavefront sensorless adaptive optics for both point-like and extended objects. Opt. Express 2022, 30, 9562–9577. [Google Scholar] [CrossRef]
- Liu, M.; Dong, B. Principle and application of holographic modal wavefront sensor for extended objects and general aberration modes. Opt. Lasers Eng. 2024, 178, 108180. [Google Scholar] [CrossRef]
- Sha, J.; Wojcik, A.; Wetherfield, B.; Yu, J.; Wilkinson, T.D. Multi frame holograms batched optimization for binary phase spatial light modulators. Sci. Rep. 2024, 14, 19380. [Google Scholar] [CrossRef]
- Wright, T.; Sparks, H.; Paterson, C.; Dunsby, C. Video-rate remote refocusing through continuous oscillation of a membrane deformable mirror. J. Phys. Photonics 2021, 3, 045004. [Google Scholar] [CrossRef]
- Ali, M.; Reza, H.; Hamidreza, F. Fixed-time observer-based tracking controller for a hysteretic piezoelectric deformable mirror of an adaptive optic system. Opt. Express 2023, 31, 17250–17267. [Google Scholar]
- Xu, X.; Shao, M.; Li, H. Design of a high density piezoelectric deformable mirror driving power Source. Piezoelectricity Acousto Opt. 2019, 46, 491–495. [Google Scholar]
- Guo, X.; Yin, H.; Li, M.; Kanno, I.; Wang, D.; Jiang, S.; Xia, Y.; Wang, Z. Deformable mirror driven by piezoelectric thin film based on multi-electrode array. Sens. Actuators A. Phys. 2024, 379, 115876. [Google Scholar] [CrossRef]
- Lin, X.; Liu, X.; Wang, J.; Wang, L.; Wei, P. Progress in development of continuous mirror deformable mirror based on piezoelectric ceramic Actuator. Adv. Laser OptoElectronics 2014, 51, 31–40. [Google Scholar]
- Lin, X.; Xue, C.; Liu, X.; Wang, J. Current development of adaptive optical wavefront corrector. Chin. Opt. 2012, 5, 337–351. [Google Scholar]
- Huang, Z.; Han, J.; Chen, Z. Extraction and analysis of target imaging features of astronomical photoelectric image sequences. Optoelectron. Eng. 2011, 38, 59–65. [Google Scholar]
- Yang, Y.; Dai, Y. A new method for evaluating the influence of human aberration on the quality of retinal imaging. Acta Opt. Sin. 2017, 37, 0333001. [Google Scholar]
- Stoll, T.; Schmitt, M.; Lohr, L.; Lürbke, R.; Müller, A.; Pinomaa, T.; Grünewald, J.; Laukkanen, A.; Wudy, K.; Neu, R. Influence of laser beam shaping on the cracking behavior of tungsten at single weld lines. Int. J. Refract. Met. Hard Mater. 2024, 125, 106864. [Google Scholar] [CrossRef]
- Lin, Z. The development of laser nuclear fusion. Chin. Laser 2010, 37, 2202–2207. [Google Scholar]
- Shao, J.; Li, Q.; Feng, C.; Li, W.; Zhang, X.; Yu, H. Discussion on the development of MEMS deformable mirror technology. Straits Sci. Technol. Ind. 2018, 6, 14–20. [Google Scholar]
- Qiao, D.; Liu, Y.; Wang, S.; Cheng, B.; Yuan, W. Discrete Micro-deformable mirror based on MEMS. Aeronaut. Precis. Manuf. Technol. 2010, 46, 6–12. [Google Scholar]
- Morgan, R.E.; Douglas, E.S.; Gregory, A.; Bierden, P. MEMS deformable mirrors for space-based high-contrast imaging. Micromachines 2019, 10, 366. [Google Scholar] [CrossRef]
- Chen, J.; Ma, J.; Mao, Y.; Liu, Y.; Li, B.; Chu, J. Experimental evaluation of a positive-voltage-driven unimorph deformable mirror for astronomical applications. Opt. Eng. 2015, 54, 117103. [Google Scholar] [CrossRef]
- Wahid, A.; Abdellatif, O. Addressing output ripples in low-power CMOS-based multistage DC-DC boost converters for self-powered electrochemical sensors applications. Meas. Sens. 2024, 36, 101396. [Google Scholar] [CrossRef]
- Ahmadianfar, I.; Heidari, A.A.; Gandomi, A.H.; Chu, X.; Chen, H. RUN beyond the metaphor: An efficient optimization algorithm based on Runge Kutta method. Expert Syst. Appl. 2021, 181, 115079. [Google Scholar] [CrossRef]
- Yang, H.; Zang, X.; Chen, P.; Hu, X.; Miao, Y.; Yan, Z.; Zhang, Z. An Efficient Method for Wavefront Aberration Correction Based on the RUN Optimizer. Photonics 2024, 11, 29. [Google Scholar] [CrossRef]
- Yang, H.; Li, X.; Gong, C.; Jiang, W. Restoration of turbulence-degraded extended object using the stochastic parallel gradient descent algorithm: Numerical simulation. Opt. Express 2009, 17, 3052–3062. [Google Scholar] [CrossRef] [PubMed]
- Bao, K.; Meng, X.; Shao, F.; Ye, M.; Jin, K.; Peng, Z. MVG without reference quality evaluation of panchromatic/multispectral fusion images. J. Remote Sens. 2022, 26, 568–578. [Google Scholar]
- Roddier, N. Atmospheric wavefront simulation using Zernike polynomials. Opt. Eng. 1990, 29, 1174–1180. [Google Scholar] [CrossRef]












| Model | Drives Number | Aperture Diameter (mm) | Drive Spacing (mm) | Radial Drives Number | Defocusing /Astigmatic (um) | Stable Time (ms) | Size (mm) |
|---|---|---|---|---|---|---|---|
| DM97-25 | 97 | 22.5 | 2.5 | 11 | 30 | 1.5 | 62 × 84 × 23 |
| NGV | NIQE | ||
|---|---|---|---|
| Before correction | 0.53 | 15.35 | |
| After correction | 0.97 | 19.73 | |
| Percentage increase | 28.6% | ||
Disclaimer/Publisher’s Note: The statements, opinions and data contained in all publications are solely those of the individual author(s) and contributor(s) and not of MDPI and/or the editor(s). MDPI and/or the editor(s) disclaim responsibility for any injury to people or property resulting from any ideas, methods, instructions or products referred to in the content. |
© 2024 by the authors. Licensee MDPI, Basel, Switzerland. This article is an open access article distributed under the terms and conditions of the Creative Commons Attribution (CC BY) license (https://creativecommons.org/licenses/by/4.0/).
Share and Cite
Yang, H.; Tang, L.; Yan, Z.; Chen, P.; Yang, W.; Li, X.; Ge, Y. Wavefront Correction for Extended Sources Imaging Based on a 97-Element MEMS Deformable Mirror. Micromachines 2025, 16, 50. https://doi.org/10.3390/mi16010050
Yang H, Tang L, Yan Z, Chen P, Yang W, Li X, Ge Y. Wavefront Correction for Extended Sources Imaging Based on a 97-Element MEMS Deformable Mirror. Micromachines. 2025; 16(1):50. https://doi.org/10.3390/mi16010050
Chicago/Turabian StyleYang, Huizhen, Lingzhe Tang, Zhaojun Yan, Peng Chen, Wenjie Yang, Xianshuo Li, and Yongqi Ge. 2025. "Wavefront Correction for Extended Sources Imaging Based on a 97-Element MEMS Deformable Mirror" Micromachines 16, no. 1: 50. https://doi.org/10.3390/mi16010050
APA StyleYang, H., Tang, L., Yan, Z., Chen, P., Yang, W., Li, X., & Ge, Y. (2025). Wavefront Correction for Extended Sources Imaging Based on a 97-Element MEMS Deformable Mirror. Micromachines, 16(1), 50. https://doi.org/10.3390/mi16010050

