Optical Modification of a Nanoporous Alumina Structure Associated with Surface Coverage by the Ionic Liquid AliquatCl
Abstract
1. Introduction
2. Materials and Methods
2.1. Materials
2.2. Chemical Surface Characterization by XPS
2.3. Optical Characterization
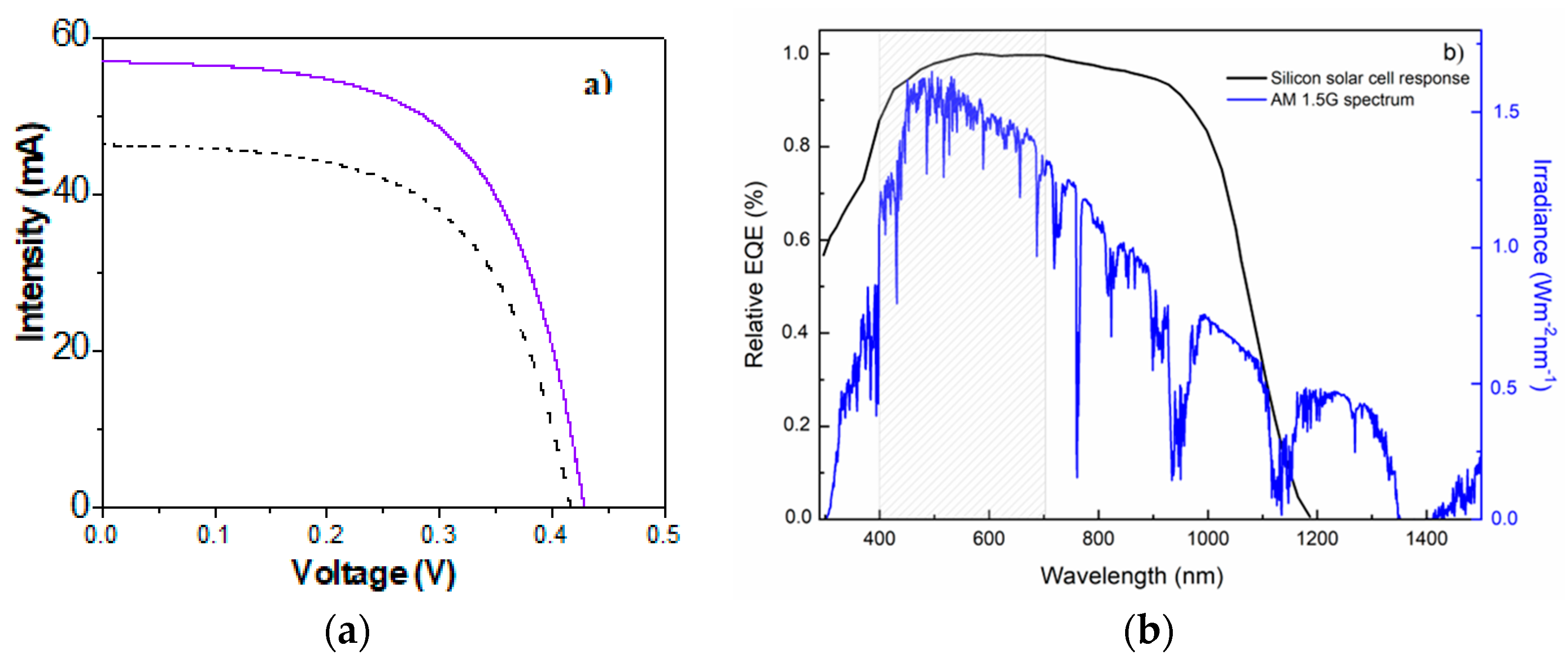
2.4. I-V Curves Measurements
3. Results
4. Conclusions
Supplementary Materials
Author Contributions
Funding
Data Availability Statement
Acknowledgments
Conflicts of Interest
References
- Masuda, H.; Fukuda, K. Ordered Metal Nanohole Arrays Made by a Two-Step Replication of Honeycomb Structures of Anodic Alumina. Science 1995, 268, 1466–1468. [Google Scholar] [CrossRef]
- Lee, W.; Park, S.J. Porous Anodic Aluminium Oxide: Anodization and templated synthesis of functional nanostructures. Chem. Rev. 2014, 114, 7487–7556. [Google Scholar] [CrossRef]
- Wen, L.; Xu, R.; Mi, Y.; Lei, Y. Multiple nanostructures based on anodized aluminium oxide templates. Nat. Nanotechnol. 2017, 12, 244–250. [Google Scholar] [CrossRef]
- Kipke, S.; Schmid, G. Nanoporous alumina membranes as diffusion controlling systems. Adv. Funct. Mater. 2004, 14, 1184–1187. [Google Scholar] [CrossRef]
- Hohlbein, J.; Steinhart, M.; Schiene-Fisher, C.; Benda, A.; Hof, M.; Hübner, C.G. Confined diffusion in ordered nanoporous membranes. Small 2007, 380, 385. [Google Scholar] [CrossRef]
- Osmanbeyoglu, H.U.; Hur, T.B.; Kim, H.K. Thin alumina nanoporous membranes for similar biomolecule separation. J. Membr. Sci. 2009, 343, 1–6. [Google Scholar] [CrossRef]
- Boss, C.; Meurville, E.; Sallese, J.-M.; Ryser, P. Selective diffusion in nanoporous alumina membranes for a glucose affinity sensor. J. Membr. Sci. 2012, 401–402, 217–221. [Google Scholar] [CrossRef]
- Treccani, L.; Klein, T.Y.; Meder, F.; Pardum, K.; Rezwan, K. Functionalized ceramics for biomedical, biotechnological and environmental applications. Acta Biomater. 2013, 9, 7115–7150. [Google Scholar] [CrossRef]
- Peh, A.E.K.; Li, S.F.Y. Dengue virus detection using impedance measured across nanoporous alumina membrane. Biosens. Bioelectron. 2013, 42, 391–396. [Google Scholar] [CrossRef]
- Bluhm, E.A.; Bauer, E.; Chamberlin, R.M.; Anbey, K.D.; Younhg, J.S.; Jarvinen, G.D. Surface effects on cation transport across porous alumina membranes. Langmuir 1999, 15, 8668–8672. [Google Scholar] [CrossRef]
- Romero, V.; Vega, V.; García, J.; Prida, V.M.; Hernando, B.; Benavente, J. Effect of Porosity and Concentration Polarization on Electrolyte Diffusive Transport Parameters through Ceramic Membranes with Similar Nanopore Size. Nanomaterials 2014, 4, 700–711. [Google Scholar] [CrossRef]
- Wang, J.; Vu, K.N.; Abell, A.D.; Santos, A.; Law, C.S. Nanoporous anodicalumina-based iontronics: Fundamentals and applications. J. Mater. Chem. C 2023, 11, 9051–9081. [Google Scholar] [CrossRef]
- Zaraska, L.; Kurowska, E.; Sulka, G.D.; Jaskula, M. Porous alumina membranes with branched nanopores as templates for fabrication of Y-shaped nanowire arrays. J. Solid State Electrochem. 2012, 16, 3611–3619. [Google Scholar] [CrossRef]
- Ruiz-Clavijo, A.; Caballero-Calero, O.; Martín-González, M. Revisiting anodic alumina templates: From fabrication to applications. Nanoscale 2021, 13, 2227–2265. [Google Scholar] [CrossRef]
- Toyos-Rodriguez, C.; Valero-Calvo, D.; Iglesias-Mayor, A.; de la Escosura-Muñiz, A. Effect of nanoporous membranes thickness in electrochemical biosensing performance: Application for the detection of a wound infection biomarker. Front. Bioeng. Biotechnol. 2024, 12, 1310084. [Google Scholar] [CrossRef]
- Wang, Y.; Ma, B.; Ulbrich, M.; Dong, Y.; Zhao, X. Progress in alumina ceramic membranes for water purification: Status and prospects. Water Res. 2022, 226, 119173. [Google Scholar] [CrossRef]
- Kaur, A.; Darvill, D.; Xiang, S.; Heng, J.Y.Y.; Petrov, P.K.; Hoye, L.R.Z.; Chen, R. Development of Nanopackaging for Storage and Transport of Loaded Lipid Nanoparticles. Nano Lett. 2023, 14, 6760–6767. [Google Scholar] [CrossRef]
- Martin, J.; Mazano, C.V.; Martin-Gonzalez, M. In-depth study of self-ordered porous alumina in the 140-400 nm pore diameter range. Microporous Mesoporous Mater. 2012, 151, 311–316. [Google Scholar] [CrossRef]
- Choudhari, K.S.; Choi, C.-H.; Chidangil, S.; George, S.D. Recent progress in the fabrication and optical properties of nanoporous anodic alumina. Nanomaterials 2022, 12, 44. [Google Scholar] [CrossRef]
- Eessaa, A.K.; El-Shamy, A.M. Review on fabrication, characterization and applications of porous anodic aluminium oxide films with tunable pore sizes for emerging technologies. Microelectr. Eng. 2023, 279, 112061. [Google Scholar] [CrossRef]
- Santos, A.; Alba, M.; Rahman, M.M.; Formentín, P.; Ferré-Borrull, J.; Pallarés, J. Structural tuning of photoluminescence in nanoporous anodic alumina by hard anodization in oxalic and malonic acids. Nanoscale Res. Let. 2012, 7, 22. [Google Scholar] [CrossRef]
- Law, C.S.; Lim, S.Y.; Abell, A.D.; Voelcker, N.H.; Santos, A. Nanoporous Anodic Alumina Photonic Crystals for Optical Chemo- and Biosensing: Fundamentals, Advances, and Perspectives. Nanomaterials 2018, 8, 788. [Google Scholar] [CrossRef]
- Velleman, L.; Triani, G.; Evans, P.J.; Shapter, J.G.; Losic, D. Structural and chemical modification of porous alumina membranes. Microporous Mesoporous Mater. 2009, 1–2, 87–94. [Google Scholar] [CrossRef]
- Yeu, S.; Lunn, J.D.; Rangel, H.M.; Shantz, D.F. The effect of surface modification on protein microfiltration properties of AnoporeTM membranes. J. Membr. Sci. 2009, 327, 108–117. [Google Scholar] [CrossRef]
- Cuevas, A.L.; Martínez de Yuso, M.V.; Gelde, L.; González, A.S.; Vega, V.; Prida, V.M.; Benavente, J. Chemical, optical and transport characterization of ALD modified nanoporous alumina based structures. J. Ind. Eng. Chem. 2020, 152, 040902. [Google Scholar] [CrossRef]
- Yuste, M.; Escobar Galindo, R.; Martínez Sacristán, O.; Mínguez-Bacho, I.; Rodriguez, S.; Hernández-Vélez, M.; Sánchez, O. Structural and optical characterization of nanostructured ZnO grown on alumina templates. Mater. Res. Express 2014, 1, 045028. [Google Scholar] [CrossRef]
- Brzózka, A.; Brudzisz, A.; Hnida, K.; Sulka, G.D. Chemical and structural modifications of nanoporous alumina and its optical properties. In Electrochemically Engineered Nanoporous Materials; Losic, D., Santos, A., Eds.; Springer Series in Materials Science; Springer: Cham, Switzerland, 2015; Volume 220. [Google Scholar]
- Vázquez, M.I.; Romero, V.; Benavente, J.; Romero, R.; Hierrezuelo, J.; López-Romero, J.M.; Contreras-Cáceres, R. Characterization and Stability of a Bioactivated Alumina Nanomembrane for Application in Flow Devices. Microporous Mesoporous Mater. 2016, 226, 88–93. [Google Scholar] [CrossRef]
- González, A.S.; Vega, V.; Cuevas, A.L.; Yuso, M.d.V.M.d.; Prida, V.M.; Benavente, J. Surface Modification of Nanoporous Anodic Alumina during Self-Catalytic Atomic Layer Deposition of Silicon Dioxide from (3-Aminopropyl)Triethoxysilane. Materials 2021, 14, 5052. [Google Scholar] [CrossRef]
- Algarra, M.; López-Escalante, M.C.; Martínez de Yuso, M.V.; Soto, J.; Cuevas, A.L.; Benavente, J. Nanoporous Alumina Support Covered by Imidazole Moiety–Based Ionic Liquids: Optical Characterization and Application. Nanomaterials 2022, 12, 4131. [Google Scholar] [CrossRef]
- Mahato, M.; Murakami, Y.; Das, S.K. Recent advances and applications of ionic liquids-based photonic materials. Appl. Mater. Today 2022, 132, 101808. [Google Scholar] [CrossRef]
- Perkin, S. Ionic liquids in confined geometries. Phys. Chem. Chem. Phys. 2012, 14, 5052–5062. [Google Scholar] [CrossRef]
- Bonhôte, P.; Dias, A.P.; Papageorgiou, N.; Kalyanasundaram, K.; Grätzel, M. Hydrophobic, Highly Conductive Ambient-Temperature Molten Salts. Inorg. Chem. 1996, 35, 1168–1178. [Google Scholar] [CrossRef]
- Bennet, M.D.; Leo, D.J. Ionic liquids as Stable Solvents for Ionic Polymer Transducers. Sens. Actuators A 2004, 115, 79–90. [Google Scholar] [CrossRef]
- Armand, M.; Endres, F.; MacFarlane, D.R.; Ohno, H.; Scrosati, B. Ionic-liquid Materials for the Electrochemical Challenges of the Future. Nat. Mater. 2009, 8, 621–629. [Google Scholar] [CrossRef]
- Jogelnig, D.; Stojanovic, A.; Galanski, M.; Groessl, M.; Jirsa, F.; Krachler, R.; Keppler, B.K. Greener synthesis of new ammonium ionic liquids and their potential as extracting agents. Tetrahedron Lett. 2008, 49, 2782–2785. [Google Scholar] [CrossRef]
- Correia, D.M.; Fernandes, L.C.; Fernandes, M.M.; Hermenegildo, M.; Meira, R.M.; Ribeiro, C.; Ribeiro, S.; Reguera, J.; Lanceros-Méndez, S. Ionic Liquid-Based Materials for Biomedical Applications. Nanomaterials 2021, 11, 2401. [Google Scholar] [CrossRef]
- Muginova, S.V.; Myasnikova, D.A.; Kazarian, S.G.; Shekhovtsova, T.N. Applications of ionic liquids for the development of optical chemical sensors and biosensors. Anal. Sci. 2017, 33, 261–265. [Google Scholar] [CrossRef]
- Nghiem, L.D.; Mornane, P.; Potter, I.D.; Pereira, J.M.; Cattrall, R.W.; Kolev, S.D. Extraction and transport of metal ions and small organic compounds using polymer inclusion membranes (PIMs). J. Membr. Sci. 2006, 281, 7–41. [Google Scholar] [CrossRef]
- Güell, R.; Anticó, E.; Kolev, S.D.; Benavente, J.; Salvadó, V.; Fontàs, C. Development and characterization of polymer inclusion membranes for the separation and speciation of inorganic As species. J. Membr. Sci. 2011, 383, 88–95. [Google Scholar] [CrossRef]
- Gherasim, C.I.; Bourceanu, G.; Olariu, R.; Arsene, C. Removal of lead(II) from aqueous solutions by a polyvinyl-chloride inclusion membrane without added plasticizer. J. Membr. Sci. 2011, 377, 167–174. [Google Scholar] [CrossRef]
- Garcia-Rodríguez, A.; Matamoros, V.; Kolev, S.D.; Fontàs, C. Development of a polymer inclusion membrane (PIM) for the preconcentration of antibiotics in environmental water samples. J. Membr. Sci. 2015, 492, 32–39. [Google Scholar] [CrossRef]
- Nasser, I.I.; El Haj Amor, F.I.; Donato, L.; Algieri, C.; Garofalo, A.; Drioli, E.; Ahmed, C. Removal and recovery of Ag(CN)2—From synthetic electroplating baths by polymer inclusion membranes containing Aliquat 336 as a carrier. Chem. Eng. J. 2016, 295, 207–217. [Google Scholar] [CrossRef]
- Vera, R.; Gelde, L.; Anticó, E.; Martínez de Yuso, M.V.; Benavente, J.; Fontàs, C. Tuning physicochemical, electrochemical and transport characteristics of polymer inclusion membrane by varying the counter-anion of the ionic liquid Aliquat 336. J. Membr. Sci. 2017, 529, 87–94. [Google Scholar] [CrossRef]
- Gao, J.; Liu, J.; Liu, W.; Li, B.; Xin, Y.; Yin, Y.; Gu, J.; Zou, Z. Proton exchange membrane fuel cell working at elevated temperature with ionic liquid as electrolyte. Int. J. Electrochem. Sci. 2011, 6, 611–616. [Google Scholar] [CrossRef]
- Diaz, M.; Ortiz, A.; Ortiz, I. Progress in the use of ionic liquids as electrolyte membranes in fuel cells. J. Membr. Sci. 2014, 469, 379–396. [Google Scholar] [CrossRef]
- Neves, L.A.; Coelhoso, I.M.; Crespo, J.G. Methanol and Gas Crossover through Modified Nafion Membranes by Incorporation of Ionic Liquid Cations. J. Membr. Sci. 2010, 360, 363–370. [Google Scholar] [CrossRef]
- Gao, H.; Bai, L.; Han, J.; Yang, B.; Zhang, S.; Zhang, X. Functionalized ionic liquid membranes for CO2 separation. Chem. Commun. 2018, 54, 12671–12685. [Google Scholar] [CrossRef]
- Martínez de Yuso, M.V.; Cuberes, M.T.; Romero, V.; Neves, L.; Coelhoso, I.; Crespo, J.G.; Rodríguez-Castellón, E.; Benavente, J. Modification of a Nafion Membrane by N-Dodecyltrimethylammonium Cation Inclusion for Potential Application in DMFC. Int. J. Hydrogen Energy 2014, 39, 4023–4029. [Google Scholar] [CrossRef]
- Welton, T. Room-Temperature Ionic Liquids. Solvents for Synthesis and Catalysis. Chem. Rev. 1999, 99, 2971–2984. [Google Scholar] [CrossRef]
- Tang, X.; Lv, S.; Jiang, K.; Zhou, G.; Liu, X. Recent development of ionic liquid-based electrolytes in lithium-ion batteries. J. Power Sources 2022, 542, 231792. [Google Scholar] [CrossRef]
- Abbott, A.P.; Endres, F.; Macfarlane, D.R. Why use ionic liquids for electrodeposition? In Electrodeposition from Ionic Liquids; Endres, F., Abbott, A., MacFarlane, D., Eds.; Wiley-VCH Verlag GmbH & Co.: Weinheim, Germany, 2017. [Google Scholar]
- Krebs, F.; Höfft, O.; Endres, F. Interaction of Aluminum and Platinum Surfaces with the Ionic Liquids 1-Butyl-1-methylpyrrolidinium bis(trifluoromethylsulfonyl)imide and 1-Ethyl-3-methylimidazolium bis(trifluoromethylsulfonyl)imide. Coatings 2023, 13, 1182. [Google Scholar] [CrossRef]
- Martins, V.L.; Torresi, R.M. Ionic liquids in electrochemical energy storage. Curr. Opin. Electrochem. 2018, 9, 26–32. [Google Scholar] [CrossRef]
- Zhou, T.; Gui, C.; Sun, L.; Hu, Y.; Lyu, H.; Wang, Z.; Song, Z.; Yu, G. Energy applications of ionic liquids: Recent developments and future prospect. Chem. Rev. 2023, 123, 12170–12253. [Google Scholar] [CrossRef]
- Zhao, Y.; Bonstrom, T. Application of ionic liquids in solar cells and batteries. Curr. Org. Chem. 2015, 19, 556–566. [Google Scholar] [CrossRef]
- Sharma, K.; Sharma, V.; Sharma, S.S. Dye-sentized solar cells: Fundamentals and current status. Nanoscale Res. Lett. 2018, 13, 381. [Google Scholar] [CrossRef]
- Deng, X.; Xie, L.; Wang, S.; Li, C.; Wang, A.; Yuan, Y.; Cao, Z.; Li, T.; Ding, L.; Hao, F. Ionic liquids engineering for high-efficiency and stable perovskite solar cells. Chem. Eng. J. 2020, 398, 125594. [Google Scholar] [CrossRef]
- Luo, J.; Lin, F.; Yuan, J.; Wan, Z.; Jia, C. Application of Ionic Liquids and Derived Materials to High-Efficiency and Stable Perovskite Solar Cells. ACS Mater. Lett. 2022, 4, 1684–1715. [Google Scholar] [CrossRef]
- Mikkola, J.-P.; Virtanen, P.; Sjöholm, R. Aliquat 336®-a versátil and afforable catión source for an entirely new family of hydrophobic ionic liquids. Gren Chem. 2006, 8, 250–255. [Google Scholar] [CrossRef]
- Litaiem, Y.; Dhahbi, M. Measurements and correlations of viscosity, conductivity and density of a hydrophobic ionic liquid (Aliquat 336) mixtures with a non-associated dipolar aprotic solvent (DMC). J. Mol. Liq. 2012, 169, 54–62. [Google Scholar] [CrossRef]
- Vaxa Software. Available online: www.vaxasoftware.com (accessed on 1 March 2024).
- Briggs, D.; Seah, M.P. Practical Surface Analysis, 2nd ed.; Vol I: Auger and X-ray Photoelectron Spectroscopy; John Wiley & Sons: Chichester, UK, 1995. [Google Scholar]
- Lukas, J.; Jerez, B. Inelastic mean free paths of photoelectrons from polymer surfaces determined by the XPS method. Collect. Czech. Commun. 1983, 48, 2909. [Google Scholar] [CrossRef]
- Tompkins, H.G.; McGahan, W.A. Spectroscopic Ellipsometry and Reflectometry: A User’s Guide; Wiley: Hoboken, NJ, USA, 1999; ISBN 978-0-471-18172-9. [Google Scholar]
- Cuevas, A.L.; Vega, V.; Domínguez, A.; González, A.S.; Prida, V.M.; Benavente, J. Optical Characterization of ALD-Coated Nanoporous Alumina Structures: Effect of Sample Geometry or Coated Layer Material. Micromachines 2023, 14, 839. [Google Scholar] [CrossRef]
- Fujiwara, H. Spectroscopic Ellipsometry, Principles and Applications; John Wiley & Sons, Ltd.: Hoboken, NJ, USA, 2007. [Google Scholar]
- UNE-EN IEC 60904-9:2021; Photovoltaic Devices—Part 9: Classification of Solar Simulator Characteristics. UNE Standards: Madrid, Spain, 2021.
- Moulder, J.F.; Stickle, W.F.; Sobol, P.E.; Bomben, K.D. Handbook of X-ray Photoelectron Spectroscopy; Chastain, J., Ed.; Perkin-Elmer Corporation: Minneapolis, MN, USA, 1992. [Google Scholar]
- Esmaeli, A.; Hekmatmehr, H.; Atashrouz, S.; Madani, S.A.; Pourmahdi, M.; Nedeljkovic, D.; Hemmati-Sarardeh, A.; Mohaddespour, A. Insights into modeling refractive index of ionic liuids using chemical structure-based machine learning methods. Sci. Rep. 2023, 13, 11966. [Google Scholar] [CrossRef]
- Cuevas, A.L.; González, A.S.; Vega, V.; Prida, V.M.; Benavente, J. Optical and Electrochemical Characterization of Nanoporous Alumina Structures: Pore Size, Porosity, and Structure Effect. Appl. Sci. 2020, 10, 4864. [Google Scholar] [CrossRef]
- Martinez de Yuso, M.V.; Cuevas, A.L.; Benavente, J. Physicochemical Characterization of a Cellulosic Film Modified with Two Room-Temperature Ionic Liquids. Appl. Sci. 2022, 12, 10290. [Google Scholar] [CrossRef]








| Sample | C (%) | N (%) | Cl (%) | Al (%) | O (%) | C/Cl | N/Cl | O/Al |
|---|---|---|---|---|---|---|---|---|
| AND/AlqCl a | 79.8 | 3.1 | 2.8 | 4.4 | 7.7 | 28.5 | 1.11 | 1.75 |
| AND/AlqCl(op) | 57.7 | 1.9 | 1.6 | 15.3 | 23.5 | 38.5 | 1.33 | 1.53 |
| AND b | 16.5 | 0.4 | — | 27.5 | 51.9 | — | — | 1.85 |
| AND(op) c | 17.3 | 0.6 | — | 28.4 | 50.4 | — | — | 1.77 |
| AlqCl | 93.2 | 3.5 | 3.3 | — | — | 28.2 | 1.06 | — |
| Sample | Isc (mA) | Pmp (mW) | Voc (mV) | FF (%) | Eff (%) |
|---|---|---|---|---|---|
| NPAS | 46.41 | 11.41 | 0.417 | 59.9 | 6.46 |
| AND/AlqCl | 57.02 | 14.71 | 0.429 | 60.2 | 8.33 |
Disclaimer/Publisher’s Note: The statements, opinions and data contained in all publications are solely those of the individual author(s) and contributor(s) and not of MDPI and/or the editor(s). MDPI and/or the editor(s) disclaim responsibility for any injury to people or property resulting from any ideas, methods, instructions or products referred to in the content. |
© 2024 by the authors. Licensee MDPI, Basel, Switzerland. This article is an open access article distributed under the terms and conditions of the Creative Commons Attribution (CC BY) license (https://creativecommons.org/licenses/by/4.0/).
Share and Cite
López-Escalante, M.C.; Martínez de Yuso, M.V.; Cuevas, A.L.; Benavente, J. Optical Modification of a Nanoporous Alumina Structure Associated with Surface Coverage by the Ionic Liquid AliquatCl. Micromachines 2024, 15, 739. https://doi.org/10.3390/mi15060739
López-Escalante MC, Martínez de Yuso MV, Cuevas AL, Benavente J. Optical Modification of a Nanoporous Alumina Structure Associated with Surface Coverage by the Ionic Liquid AliquatCl. Micromachines. 2024; 15(6):739. https://doi.org/10.3390/mi15060739
Chicago/Turabian StyleLópez-Escalante, María Cruz, Mª Valle Martínez de Yuso, Ana L. Cuevas, and Juana Benavente. 2024. "Optical Modification of a Nanoporous Alumina Structure Associated with Surface Coverage by the Ionic Liquid AliquatCl" Micromachines 15, no. 6: 739. https://doi.org/10.3390/mi15060739
APA StyleLópez-Escalante, M. C., Martínez de Yuso, M. V., Cuevas, A. L., & Benavente, J. (2024). Optical Modification of a Nanoporous Alumina Structure Associated with Surface Coverage by the Ionic Liquid AliquatCl. Micromachines, 15(6), 739. https://doi.org/10.3390/mi15060739

