An Experimental Investigation of R600a Condensation in a Multiport Microchannel
Abstract
1. Introduction
2. Experimental Methods
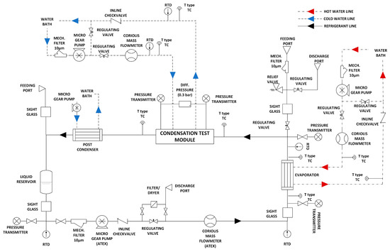
2.1. Experimental Setup
2.2. Data Reduction
2.3. Operating Conditions and Experimental Uncertainty
3. Results and Discussion
3.1. Single Phase Validation Tests
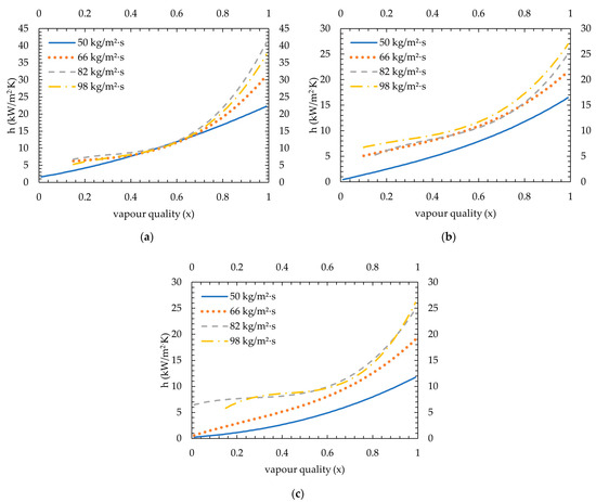
3.2. Two-Phase Condensation Tests
3.3. Comparison to Correlations Stated in the Literature
| Reference | 35 °C | 40 °C | 45 °C | All | # of Data in the ±50% Range |
|---|---|---|---|---|---|
| Singh et al. [4] | 39% | 38% | 42% | 40% | 75% |
| Bohdal et al. [5] | 53% | 58% | 127% | 78% | 63% |
| Kim & Mudawar [6] | 42% | 44% | 39% | 42% | 67% |
| Dobson & Chato [21] | 59% | 56% | 52% | 56% | 30% |
| Wang et al. [22] | 61% | 58% | 52% | 57% | 18% |
| Koyama et al. [23] | 36% | 38% | 49% | 42% | 85% |
| Huang et al. [24] | 63% | 62% | 54% | 60% | 29% |
| Wang & Rose [25] | 175% | 208% | 331% | 237% | 5% |
| Moser et al. [26] | 67% | 64% | 64% | 65% | 10% |
| Son & Lee [27] | 43% | 41% | 39% | 41% | 72% |
4. Conclusions
- The average heat transfer coefficients measured at 35 °C were 11.3, 12.7, 14.4 and 13.4 kW/m2·K; at 40 °C were 7.6, 11, 11.3 and 12.6 kW/m2·K; and at 45 °C were 4.6, 7.8, 11 and 11 kW/m2·K for mass fluxes ranging between 50 and 98 kg/m2s, respectively. These values consider data measured between 0.15 and 0.95 vapour qualities.
- Varying vapour quality does not significantly affect the heat transfer coefficients measured if the entering vapour quality allows for two-phase flow to be dominant in the channel. As the vapour inlet quality decreases, pressure fluctuations at the end region of the two-phase increase and deceive the measurement. This phenomenon becomes visible from a vapour quality lower than 0.3.
- Increasing mass flux increases the heat transfer coefficient up to a certain mass flux. Pressure loss due to friction lowers the saturation pressure of the fluid along with the saturation temperature. Thus, when investigating higher mass fluxes, the saturation pressure change should be taken into account.
- Decreasing saturation temperature increases the heat transfer coefficient due to changes in the thermophysical properties of R600a liquid and vapour.
- The heat transfer coefficient decreases with decreasing vapour quality due to the increasing liquid amount, which acts as a barrier between the gas core and the channel base.
Author Contributions
Funding
Data Availability Statement
Acknowledgments
Conflicts of Interest
Appendix A
| Reference | Correlation | Conditions |
| Singh et al. [4] | : 0.666–1 mm, Fluids: R134a, R410A, mass fluxes: 200–600 kg/m2·s, : 30–40 °C, x: 0.05–0.83, multi-channel | |
| Bohdal et al. [5] | : 0.31–3.3 mm Fluids: R134a, R404A, R407C, mass fluxes: 100–1300 kg/m2·s, : 20–50 °C, x: 0–1, single-channel | |
| Kim and Mudawar [6] | See [6] for f Fanning friction factor. | Given for 3-sided condensation, : 1mm, Fluid: FC-72, mass fluxes: 68–367 kg/m2·s, : 57.2–62.3 °C, multi-channel |
| Dobson and Chato [21] | : 3.14–7.04 mm, Fluids: R134a, R12, R22, R32/R125 | |
| Wang et al. [22] | : 1.46, Fluid: R134a, mass fluxes: 75–750 kg/m2·s, : 61.5–66 °C multi-channel | |
| Koyama et al. [23] | : 0.8–1.11 mm, Fluid: R134a, mass fluxes: 100–700 kg/m2·s, : 60.5 °C, multi-channel | |
| Huang et al. [24] | : 1.6–4.18 mm, Fluids: R410A-oil, mass fluxes: 200–600 kg/m2·s, x: 0.3–0.9 : 4.23–19.07 kW/m2 | |
| Wang and Rose [25] | 1–2 mm side length square, 1 mm side length triangle, 1.5 × 1 rectangle, Fluids: R134a, R22, R410A, Ammonia, R152a, R290, CO2, : 25–50 °C | |
| Moser et al. [26] | : 3.14–20 mm, Fluids: R11, R12, R22, R125, R134a, R410A, mass fluxes: 87–862 kg/m2·s | |
| Son and Lee [27] | : 1.5–6 mm, Fluids: R22, R134a, R410A, mass fluxes: 200–400 kg/m2·s, x: 0.05–0.95, : 5–35 kW/m2, :500–10,000, : 2–5, : 1–40, single-channel | |
| where is aspect ratio (), is turbulent–turbulent Martinelli parameter, is Martinelli parameter, is liquid Reynolds number, is liquid Prandtl number, is reduced pressure, G is mass flux (kg/m2·s), is liquid-only Reynolds number, Ga is Galileo number, g is gravitational acceleration (m/s2), Fr is Froude number, We is Weber number, b is length of side of channel (mm), is density of refrigerant vapour (kg/m3), is density of liquid refrigerant (kg/m3), is equivalent Reynolds number, and and are vapour-only and liquid-only friction factors. | ||
References
- Al-Zaidi, A.H.; Mahmoud, M.M.; Karayiannis, T.G. Condensation flow patterns and heat transfer in horizontal microchannels. Exp. Therm. Fluid Sci. 2018, 90, 153–173. [Google Scholar] [CrossRef]
- Rahman, M.M.; Kariya, K.; Miyara, A. An experimental study and development of new correlation for condensation heat transfer coefficient of refrigerant inside a multiport minichannel with and without fins. Int. J. Heat Mass Transf. 2018, 116, 50–60. [Google Scholar] [CrossRef]
- Park, J.E.; Vakili-Farahani, F.; Consolini, L.; Thome, J.R. Experimental study on condensation heat transfer in vertical minichannels for new refrigerant R1234ze(E) versus R134a and R236fa. Exp. Therm. Fluid Sci. 2011, 35, 442–454. [Google Scholar] [CrossRef]
- Singh, V.; Kukreja, R.; Sehgal, S.S. Condensation heat transfer of R134a and R410A in multiport rectangular microchannels with different aspect ratio. Int. J. Therm. Sci. 2022, 179, 107696. [Google Scholar] [CrossRef]
- Bohdal, T.; Charun, H.; Sikora, M. Heat transfer during condensation of refrigerants in tubular minichannels. Arch. Thermodyn. 2012, 33, 3–22. [Google Scholar] [CrossRef]
- Kim, S.-M.; Mudawar, I. Flow condensation in parallel micro-channels—Part 2: Heat transfer results and correlation technique. Int. J. Heat Mass Transf. 2012, 55, 984–994. [Google Scholar] [CrossRef]
- Lee, H.-S.; Yoon, J.-I.; Kim, J.-D.; Bansal, P.K. Characteristics of condensing and evaporating heat transfer using hydrocarbon refrigerants. Appl. Therm. Eng. 2006, 26, 1054–1062. [Google Scholar] [CrossRef]
- Darzi, M.; Akhavan-Behabadi, M.; Sadoughi, M.; Razi, P. Experimental study of horizontal flattened tubes performance on condensation of R600a vapor. Int. Commun. Heat Mass Transf. 2015, 62, 18–25. [Google Scholar] [CrossRef]
- Lee, H.-S.; Son, C.-H. Condensation heat transfer and pressure drop characteristics of R-290, R-600a, R-134a and R-22 in horizontal tubes. Heat Mass Transf. 2010, 46, 571–584. [Google Scholar] [CrossRef]
- Basaran, A.; Benim, A.C.; Yurddas, A. Numerical Simulation of the Condensation Flow of the Isobutane (R600a) inside Microchannel. Heat Transf. Eng. 2022, 43, 337–361. [Google Scholar] [CrossRef]
- Başaran, A.; Yurddaş, A. Thermal modeling and designing of microchannel condenser for refrigeration applications operating with isobutane (R600a). Appl. Therm. Eng. 2021, 198, 117446. [Google Scholar] [CrossRef]
- Pham, Q.V.; Choi, K.-I.; Oh, J.-T. Condensation heat transfer characteristics and pressure drops of R410A, R22, R32, and R290 in a multiport rectangular channel. Sci. Technol. Built Environ. 2019, 25, 1325–1336. [Google Scholar] [CrossRef]
- Del Col, D.; Bortolato, M.; Bortolin, S. Comprehensive experimental investigation of two-phase heat transfer and pressure drop with propane in a minichannel. Int. J. Refrig. 2014, 47, 66–84. [Google Scholar] [CrossRef]
- Del Col, D.; Azzolin, M.; Bortolin, S.; Berto, A. Experimental results and design procedures for minichannel condensers and evaporators using propylene. Int. J. Refrig. 2017, 83, 23–38. [Google Scholar] [CrossRef]
- Kline, S.J.; McClintock, F.A. Describing Uncertainties in Single-Sample Experiments. Mech. Eng. 1953, 75, 3–8. [Google Scholar]
- Lemmon, E.; Huber, M.; McLinden, M. NIST Standard Reference Database 23: Reference Fluid Thermodynamic and Transport Properties-REFPROP, Version 9.0; National Institute of Standards and Technology, Standard Reference Data Program: Gaithersburg, MD, USA, 2010. [Google Scholar]
- Kim, S.-M.; Mudawar, I. Theoretical model for annular flow condensation in rectangular micro-channels. Int. J. Heat Mass Transf. 2012, 55, 958–970. [Google Scholar] [CrossRef]
- Lee, J.; Mudawar, I. Two-phase flow in high-heat-flux micro-channel heat sink for refrigeration cooling applications: Part II—Heat transfer characteristics. Int. J. Heat Mass Transf. 2005, 48, 941–955. [Google Scholar] [CrossRef]
- Shah, R.K.; London, A.L. Laminar Flow Forced Convection in Ducts: A Source Book for Compact Heat Exchanger Analytical Data; Academic Press: New York, NY, USA, 1978. [Google Scholar] [CrossRef]
- Bau, H.H. Optimization of conduits’ shape in micro heat exchangers. Int. J. Heat Mass Transf. 1998, 41, 2717–2723. [Google Scholar] [CrossRef]
- Dobson, M.K.; Chato, J.C. Condensation in Smooth Horizontal Tubes. ASME J. Heat Transf. 1998, 120, 193–213. [Google Scholar] [CrossRef]
- Wang, W.-W.W.; Radcliff, T.D.; Christensen, R.N. A condensation heat transfer correlation for millimeter-scale tubing with flow regime transition. Exp. Therm. Fluid Sci. 2002, 26, 473–485. [Google Scholar] [CrossRef]
- Koyama, S.; Kuwahara, K.; Nakashita, K.; Yamamoto, K. An experimental study on condensation of refrigerant R134a in a multi-port extruded tube. Int. J. Refrig. 2003, 26, 425–432. [Google Scholar] [CrossRef]
- Huang, X.; Ding, G.; Hu, H.; Zhu, Y.; Peng, H.; Gao, Y.; Deng, B. Influence of oil on flow condensation heat transfer of R410A inside 4.18 mm and 1.6 mm inner diameter horizontal smooth tubes. Int. J. Refrig. 2010, 33, 158–169. [Google Scholar] [CrossRef]
- Wang, H.S.; Rose, J.W. Theory of heat transfer during condensation in microchannels. Int. J. Heat Mass Transf. 2011, 54, 2525–2534. [Google Scholar] [CrossRef]
- Moser, K.W.; Webb, R.L.; Na, B. A New Equivalent Reynolds Number Model for Condensation in Smooth Tubes. ASME J. Heat Mass Transf. 1998, 120, 410–417. [Google Scholar] [CrossRef]
- Son, C.-H.; Lee, H.-S. Condensation heat transfer characteristics of R-22, R-134a and R-410A in small diameter tubes. Heat Mass Transf. 2009, 45, 1153–1166. [Google Scholar] [CrossRef]













| (mm) | (mm) | (mm) | (mm) | (-) | (mm) | (mm) | (mm) | (mm) | (mm) |
|---|---|---|---|---|---|---|---|---|---|
| 0.44 | 0.365 | 0.399 | 0.435 | 19 | 150 | 16.8 | 150 | 20 | 9.6 |
| Equipment/Parameter | Uncertainty |
|---|---|
| T-type thermocouples | ±0.06 °C |
| Coriolis mass flow meters | 0.1% of the reading |
| Pressure transducers | ±1.6 mbar |
| The thermal conductivity of the aluminium block (W/m·K) | 3.9% |
| RTDs (4 wire, Class AA) | ±(0.1 + 0.0017 × |T|) °C |
| ) | 4.7–6.0% |
| ) | 5.6–15.4% |
| Refrigerant | R600a |
|---|---|
| Saturation pressures (bar) | 4.65–6.04 |
| Saturation temperatures (°C) | 35, 40 and 45 |
| Refrigerant mass flux (kg/m2·s) | 50, 66, 82 and 98 |
| Coolant | water |
| Coolant mass flow rate (g/s) | 11.6 |
| Coolant inlet temperature (°C) | 10.3 |
| Vapour inlet quality | 0.39–1.00 |
| Average cooling heat flux (kW/m2) | 16.2–28.6 |
| Saturation Temperature | ||||
|---|---|---|---|---|
| Equipment | Unit | 35 °C | 40 °C | 45 °C |
| Pressure | (bar) | 4.6477 | 5.3121 | 6.0445 |
| Liquid Density | (kg/m3) | 537.83 | 531.19 | 524.37 |
| Vapor Density | (kg/m3) | 11.988 | 13.666 | 15.529 |
| (kJ/kg·K) | 2.4982 | 2.5349 | 2.5737 | |
| (kJ/kg·K) | 1.8771 | 1.921 | 1.9675 | |
| Heat of Vaporization | (kJ/kg) | 317.53 | 311.52 | 305.27 |
| Liquid thermal conductivity | (W/m·K) × 10−3 | 85.752 | 84.051 | 82.387 |
| Vapour thermal conductivity | (W/m·K) × 10−3 | 17.937 | 18.524 | 19.136 |
| Liquid viscosity | (µPa-s) | 136.2 | 129.39 | 122.96 |
| Vapour viscosity | (µPa-s) | 7.7693 | 7.9125 | 8.0616 |
| Surface Tension | (N/m) × 10−3 | 8.9689 | 8.4105 | 7.8585 |
| Total Heat Transfer (W) | Difference (%) | Uncertainty (%) | |||||||
|---|---|---|---|---|---|---|---|---|---|
| Test # | Re | Refrigerant Side (R) | Thermocouples Side (T) | Coolant Side (C) | T-R | R-C | R | T | C |
| 1 | 1708 | 53.8 | 53.6 | 52.7 | −0.5 | 2.1 | 0.6 | 3.3 | 5.3 |
| 2 | 1580 | 53.1 | 52.9 | 53.5 | −0.3 | −0.8 | 0.6 | 3.4 | 5.2 |
| 3 | 1456 | 52.0 | 52.0 | 52.5 | 0.1 | −0.9 | 0.6 | 3.4 | 5.3 |
| 4 | 1207 | 48.2 | 48.5 | 49.0 | 0.6 | −1.6 | 0.5 | 3.7 | 5.7 |
| 5 | 955 | 45.1 | 45.6 | 46.4 | 1.1 | −2.7 | 0.4 | 3.9 | 6.0 |
| 6 | 1599 | 55.1 | 54.9 | 55.3 | −0.3 | −0.4 | 0.6 | 3.2 | 5.1 |
| 7 | 1453 | 54.4 | 54.2 | 53.2 | −0.3 | 2.2 | 0.5 | 3.3 | 5.3 |
| 8 | 1206 | 50.6 | 50.8 | 49.9 | 0.5 | 1.3 | 0.5 | 3.5 | 5.6 |
| 9 | 955 | 46.5 | 47.0 | 47.9 | 1.0 | −2.8 | 0.4 | 3.8 | 5.8 |
Disclaimer/Publisher’s Note: The statements, opinions and data contained in all publications are solely those of the individual author(s) and contributor(s) and not of MDPI and/or the editor(s). MDPI and/or the editor(s) disclaim responsibility for any injury to people or property resulting from any ideas, methods, instructions or products referred to in the content. |
© 2024 by the authors. Licensee MDPI, Basel, Switzerland. This article is an open access article distributed under the terms and conditions of the Creative Commons Attribution (CC BY) license (https://creativecommons.org/licenses/by/4.0/).
Share and Cite
Çoban, B.; Kuddusi, L. An Experimental Investigation of R600a Condensation in a Multiport Microchannel. Micromachines 2024, 15, 618. https://doi.org/10.3390/mi15050618
Çoban B, Kuddusi L. An Experimental Investigation of R600a Condensation in a Multiport Microchannel. Micromachines. 2024; 15(5):618. https://doi.org/10.3390/mi15050618
Chicago/Turabian StyleÇoban, Burak, and Lütfullah Kuddusi. 2024. "An Experimental Investigation of R600a Condensation in a Multiport Microchannel" Micromachines 15, no. 5: 618. https://doi.org/10.3390/mi15050618
APA StyleÇoban, B., & Kuddusi, L. (2024). An Experimental Investigation of R600a Condensation in a Multiport Microchannel. Micromachines, 15(5), 618. https://doi.org/10.3390/mi15050618

