Improved Test Fixture for Collecting Microcontact Performance and Reliability Data
Abstract
1. Introduction
2. Improved Microcontact Test Fixture Assembly
2.1. Test Fixture Design
2.2. Alignment between Force Sensor Tip and Microcontact Structure
3. Design and Fabrication of Microcontact Test Structure
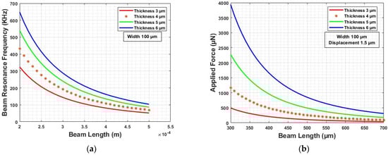
3.1. Beam Modeling for Microcontact Test Structure
3.2. Microcontact Test Structure Fabrication
4. Test Results Collected Using Our Test Fixture
4.1. Performance Study of Beam and Force Sensor
4.2. Contact Resistance Modeling
4.3. Initial Contact Testing (ICT) for Microcontact
4.4. Cold Switched Testing (CST) for Microcontact
5. Conclusions and Future Works
Author Contributions
Funding
Data Availability Statement
Conflicts of Interest
References
- Coutu, R.A., Jr.; Kladitis, P.E.; Leedy, K.D.; Crane, R.L. Selecting metal alloy electric contact materials for MEMS switches. J. Micromech. Microeng. 2004, 14, 1157. [Google Scholar] [CrossRef]
- Tian, W.; Li, P.; Yuan, L. Research and analysis of MEMS switches in different frequency bands. Micromachines 2018, 9, 185. [Google Scholar] [CrossRef] [PubMed]
- Rebeiz, G.M.; Muldavin, J.B. RF MEMS switches and switch circuits. IEEE Microw. Mag. 2001, 2, 59–71. [Google Scholar] [CrossRef]
- Zhao, Y.P.; Wang, L.S.; Yu, T.X. Mechanics of adhesion in MEMS—A review. J. Adhes. Sci. Technol. 2003, 17, 519–546. [Google Scholar] [CrossRef]
- Basu, A.; Adams, G.G.; McGruer, N.E. A review of micro-contact physics, materials, and failure mechanisms in direct-contact RF MEMS switches. J. Micromech. Microeng. 2016, 26, 104004. [Google Scholar] [CrossRef]
- Hennessy, R.P.; Basu, A.; Adams, G.G.; McGruer, N.E. Hot-switched lifetime and damage characteristics of MEMS switch contacts. J. Micromech. Microeng. 2013, 23, 055003. [Google Scholar] [CrossRef]
- Bull, T.G.; McBride, J.W.; Jiang, L. The influence of circuit parameters on molten bridge surface degradation in a Au/MWCNT MEMS switch contact. In Proceedings of the 2018 IEEE Holm Conference on Electrical Contacts, Albuquerque, NM, USA, 14–18 October 2018; pp. 359–365. [Google Scholar]
- McBride, J.W.; Bull, T.G. Breakdown Voltage in Multi Walled Carbon-Nanotubes during Low Voltage (4 V) DC Switching. In Proceedings of the 2020 IEEE 66th Holm Conference on Electrical Contacts and Intensive Course (HLM), San Antonio, TX, USA, 30 September–7 October 2020; pp. 35–41. [Google Scholar]
- McGruer, N.E.; Adams, G.G.; Chen, L.; Guo, Z.J.; Du, Y. Mechanical, thermal, and material influences on ohmic-contact-type MEMS switch operation. In Proceedings of the 19th IEEE International Conference on Micro Electro Mechanical Systems, Istanbul, Turkey, 22–26 January 2006; pp. 230–233. [Google Scholar]
- McBride, J.W.; Cross, K.J.; Bull, T.G. The surface characterisation of arc erosion on a structured surface designed to reduce contact bounce. In Proceedings of the 2023 IEEE 68th Holm Conference on Electrical Contacts (HOLM), Seattle, WA, USA, 4–11 October 2023; pp. 1–6. [Google Scholar]
- Yang, Z.; Lichtenwalner, D.; Morris, A.; Menzel, S.; Nauenheim, C.; Gruverman, A.; Krim, J.; Kingon, A.I. A new test facility for efficient evaluation of MEMS contact materials. J. Micromech. Microeng. 2007, 17, 1788. [Google Scholar] [CrossRef]
- Chen, L.; Lee, H.; Guo, Z.J.; McGruer, N.E.; Gilbert, K.W.; Mall, S.; Leedy, K.D.; Adams, G.G. Contact resistance study of noble metals and alloy films using a scanning probe microscope test station. J. Appl. Phys. 2007, 102, 1–6. [Google Scholar] [CrossRef]
- Chen, L.; Guo, Z.J.; Joshi, N.; Eid, H.; Adams, G.G.; McGruer, N.E. An improved SPM-based contact tester for the study of microcontacts. J. Micromech. Microeng. 2012, 22, 045017. [Google Scholar] [CrossRef]
- Broue, A.; Fourcade, T.; Dhennin, J.; Courtade, F.; Charvet, P.L.; Pons, P.; Lafontan, X.; Plana, R. Validation of bending tests by nanoindentation for micro-contact analysis of MEMS switches. J. Micromech. Microeng. 2010, 20, 085025. [Google Scholar] [CrossRef]
- Lee, H.; Coutu, R.A.; Mall, S.; Kladitis, P.E. Nanoindentation technique for characterizing cantilever beam style RF microelectromechanical systems (MEMS) switches. J. Micromech. Microeng. 2005, 15, 1230. [Google Scholar] [CrossRef]
- Edelmann, T.A.; Coutu, R.A., Jr. Microswitch Lifecycle Test Fixture for Simultaneously Measuring Contact Resistance (Rc) and Contact Force (Fc) in Controlled Ambient Environment. In Proceedings of the 2010 Proceedings of the 56th IEEE Holm Conference on Electrical Contacts, Charleston, SC, USA, 4–7 October 2010; pp. 1–8. [Google Scholar]
- Mahanta, P.K.; Nandy, T.; Coutu, R.A. Microcontact Support Structure Fabrication to Study Microswitches Reliability and Performance Using a Novel Test Fixture. In Proceedings of the 2022 IEEE 67th Holm Conference on Electrical Contacts (HLM), Tampa, FL, USA, 23–26 October 2022; pp. 1–7. [Google Scholar]
- Coutu, R.A.; Kladitis, P.E.; Cortez, R.; Strawser, R.E.; Crane, R.L. Micro-switches with sputtered Au, AuPd, Au-on-AuPt, and AuPtCu alloy electric contacts. In Proceedings of the 50th IEEE Holm Conference on Electrical Contacts and the 22nd International Conference on Electrical Contacts Electrical Contacts, Chicago, IL, USA, 23 September 2004; pp. 214–221. [Google Scholar]
- Leger, J.M.; Djemia, P.; Ganot, F.; Haines, J.; Pereira, A.S.; Jornada, J.A.H.D. Hardness and elasticity in cubic ruthenium dioxide. Appl. Phys. Lett. 2001, 79, 2169–2171. [Google Scholar] [CrossRef]
- Steeves, M.M. Electronic Transport Properties of Ruthenium and Ruthenium Dioxide Thin Films; The University of Maine: Orono, ME, USA, 2011. [Google Scholar]
- Vayunandana Reddy, Y.K.; Mergel, D. Structural and electrical properties of RuO2 thin films prepared by rf-magnetron sputtering and annealing at different temperatures. J. Mater. Sci. Mater. Electron. 2006, 17, 1029–1034. [Google Scholar] [CrossRef]
- Czaplewski, D.A.; Nordquist, C.D.; Patrizi, G.A.; Kraus, G.M.; Cowan, W.D. RF MEMS Switches with RuO2–Au Contacts Cycled to 10 Billion Cycles. J. Microelectromech. Syst. 2013, 22, 655–661. [Google Scholar] [CrossRef]
- Hsu, T.R. MEMS and Microsystems: Design, Manufacture, and Nanoscale Engineering; John Wiley Sons: Hoboken, NJ, USA, 2008. [Google Scholar]
- Mahanta, P.; Anwar, F.; Coutu, R.A., Jr. Novel Test Fixture for Characterizing MEMS Switch Microcontact Reliability and Performance. Sensors 2019, 19, 579. [Google Scholar] [CrossRef] [PubMed]
- Jones, R.M. Mechanics of Composite Materials; CRC Press: Boca Raton, FL, USA, 2018. [Google Scholar]
- Qiu, H.; Wang, H.; Ke, F. Instability of Contact Resistance in MEMS and NEMS DC Switches under Low Force: The Role of Alien Films on the Contact Surface. Sensors 2013, 13, 16360–16371. [Google Scholar] [CrossRef]
- Holm, R. Electric Contacts: Theory and Application; Springer Science Business Media: Berlin/Heidelberg, Germany, 2013. [Google Scholar]
- Hyman, D.; Mehregany, M. Contact physics of gold microcontacts for MEMS switches. IEEE Trans. Compon. Packag. Technol. 1999, 22, 357–364. [Google Scholar] [CrossRef]
- Kwon, H.; Jang, S.-S.; Park, Y.-H.; Kim, T.-S.; Kim, Y.-D.; Nam, H.-J.; Joo, Y.-C. Investigation of the electrical contact behaviors in Au-to-Au thin-film contacts for RF MEMS switches. J. Micromech. Microeng. 2008, 18, 105010. [Google Scholar] [CrossRef]
- Tringe, J.W.; Uhlman, T.A.; Oliver, A.C.; Houston, J.E. Erratum: ‘A single asperity study of Au/Au electrical contacts’. J. Appl. Phys. 2003, 93, 4661. J. Appl. Phys. 2004, 95, 2196. [Google Scholar] [CrossRef]
- Kogut, L.; Komvopoulos, K. Electrical contact resistance theory for conductive rough surfaces separated by a thin insulating film. J. Appl. Phys. 2004, 95, 576–585. [Google Scholar] [CrossRef]
- Chang, W.R.; Etsion, I.; Bogy, D.B. An Elastic-Plastic Model for the Contact of Rough Surfaces. J. Tribol. 1987, 109, 257. [Google Scholar] [CrossRef]
- Ke, F.; Miao, J.; Oberhammer, J. A ruthenium-based multimetal-contact RF MEMS switch with a corrugated diaphragm. J. Microelectromech. Syst. 2008, 17, 1447–1459. [Google Scholar]











Disclaimer/Publisher’s Note: The statements, opinions and data contained in all publications are solely those of the individual author(s) and contributor(s) and not of MDPI and/or the editor(s). MDPI and/or the editor(s) disclaim responsibility for any injury to people or property resulting from any ideas, methods, instructions or products referred to in the content. |
© 2024 by the authors. Licensee MDPI, Basel, Switzerland. This article is an open access article distributed under the terms and conditions of the Creative Commons Attribution (CC BY) license (https://creativecommons.org/licenses/by/4.0/).
Share and Cite
Nandy, T.; Coutu, R.A., Jr.; Mahbub, R. Improved Test Fixture for Collecting Microcontact Performance and Reliability Data. Micromachines 2024, 15, 597. https://doi.org/10.3390/mi15050597
Nandy T, Coutu RA Jr., Mahbub R. Improved Test Fixture for Collecting Microcontact Performance and Reliability Data. Micromachines. 2024; 15(5):597. https://doi.org/10.3390/mi15050597
Chicago/Turabian StyleNandy, Turja, Ronald A. Coutu, Jr., and Rafee Mahbub. 2024. "Improved Test Fixture for Collecting Microcontact Performance and Reliability Data" Micromachines 15, no. 5: 597. https://doi.org/10.3390/mi15050597
APA StyleNandy, T., Coutu, R. A., Jr., & Mahbub, R. (2024). Improved Test Fixture for Collecting Microcontact Performance and Reliability Data. Micromachines, 15(5), 597. https://doi.org/10.3390/mi15050597

