A Dual-Band 8-Antenna Array Design for 5G/WiFi 5 Metal-Frame Smartphone Applications
Abstract
1. Introduction
2. Proposed MIMO Antenna
2.1. Antenna Structure
2.2. Antenna Element
3. Design Process
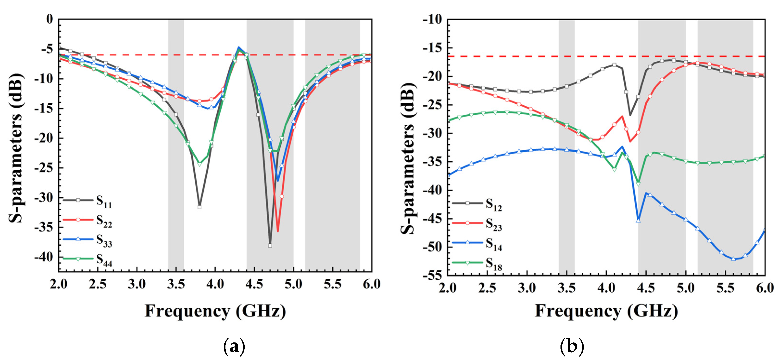
4. Experimental Results and Discussion
4.1. S-Parameters
4.2. Radiation Performance
4.3. MIMO Performance
4.4. Total Efficiency
4.5. Effects of Hand
5. Conclusions
Author Contributions
Funding
Data Availability Statement
Conflicts of Interest
References
- Zhang, X.; Li, Y.; Wang, W.; Shen, W. Ultra-Wideband 8-Port MIMO Antenna Array for 5G Metal-Frame Smartphones. IEEE Access 2019, 7, 72273–72282. [Google Scholar] [CrossRef]
- Serghiou, D.; Khalily, M.; Singh, V.; Araghi, A.; Tafazolli, R. Sub-6 GHz Dual-Band 8 × 8 MIMO Antenna for 5G Smartphones. IEEE Antennas Wirel. Propag. Lett. 2020, 19, 1546–1550. [Google Scholar] [CrossRef]
- Barani, I.; Wong, K. Integrated Inverted-F and Open-Slot Antennas in the Metal-Framed Smartphone for 2 × 2 LTE LB and 4 × 4 LTE M/HB MIMO Operations. IEEE Trans. Antennas Propag. 2018, 66, 5004–5012. [Google Scholar] [CrossRef]
- Guo, J.; Cui, L.; Li, C.; Sun, B. Side-Edge Frame Printed Eight-Port Dual-Band Antenna Array for 5G Smartphone Applications. IEEE Trans. Antennas Propag. 2018, 66, 7412–7417. [Google Scholar] [CrossRef]
- Cui, L.; Guo, J.; Liu, Y.; Sim, C. An 8-Element Dual-Band MIMO Antenna with Decoupling Stub for 5G Smartphone Applications. IEEE Antennas Wirel. Propag. Lett. 2019, 18, 2095–2099. [Google Scholar] [CrossRef]
- Huang, J.; Chen, Z.; Cai, Q.; Loh, T.; Liu, G. Minimized Triple-Band Eight-Element Antenna Array for 5G Metal-frame Smartphone Applications. Micromachines 2022, 12, 136. [Google Scholar] [CrossRef] [PubMed]
- Li, Y.; Sim, C.; Luo, Y.; Yang, G. Multiband 10-Antenna Array for Sub-6 GHz MIMO Applications in 5-G Smartphones. IEEE Access 2018, 6, 28041–28053. [Google Scholar] [CrossRef]
- Ullah, R.; Ullah, S.; Ullah, R.; Faisal, F.; Mabrouk, I.; Hasan, M. A 10-Ports MIMO Antenna System for 5G Smart-Phone Applications. IEEE Access 2020, 8, 218477–218488. [Google Scholar] [CrossRef]
- Jaglan, N.; Gupta, S.; Sharawi, M. 18 Element Massive MIMO/Diversity 5G Smartphones Antenna Design for Sub-6 GHz LTE Bands 42/43 Applications. IEEE Open J. Antennas Propag. 2021, 2, 533–545. [Google Scholar] [CrossRef]
- Woo, D.; Lee, T. Suppression of harmonics in Wilkinson power divider using dual-band rejection by asymmetric DGS. IEEE Trans. Microw. Theory Tech. 2005, 53, 2139–2144. [Google Scholar]
- Karmakar, N.; Roy, S.; Balbin, I. Quasi-Static Modeling of Defected Ground Structure. IEEE Trans. Microw. Theory Tech. 2006, 54, 2160–2168. [Google Scholar] [CrossRef]
- Qian, B.; Chen, X.; Kishk, A. Decoupling of Microstrip Antennas With Defected Ground Structure Using the Common/Differential Mode Theory. IEEE Antennas Wirel. Propag. Lett. 2021, 20, 828–832. [Google Scholar] [CrossRef]
- Huang, J.; He, T.; Xi, S.; Yang, Q.; Shi, X.; Liu, G. Eight-port high-isolation antenna array for 3.3–6 GHz handset applications. AEU Int. J. Electron. Commun. 2022, 154, 154333. [Google Scholar] [CrossRef]
- Chen, Q.; Lin, H.; Wang, J.; Ge, L.; Li, Y.; Pei, T.; Sim, C. Single Ring Slot-Based Antennas for Metal-Rimmed 4G/5G Smartphones. IEEE Trans. Antennas Propag. 2019, 67, 1476–1487. [Google Scholar] [CrossRef]
- Chang, L.; Yu, Y.; Wei, K.; Wang, H. Polarization-Orthogonal Co-frequency Dual Antenna Pair Suitable for 5G MIMO Smartphone with Metallic Bezels. IEEE Trans. Antennas Propag. 2019, 67, 5212–5220. [Google Scholar] [CrossRef]
- Liu, Y.; Cui, W.; Jia, Y.; Ren, A. Hepta-Band Metal-Frame Antenna for LTE/WWAN Full-Screen Smartphone. IEEE Antennas Wirel. Propag. Lett. 2020, 19, 1241–1245. [Google Scholar] [CrossRef]
- Luomaniemi, R.; Ylä-Oijala, P.; Lehtovuori, A.; Viikari, V. Designing Hand-Immune Handset Antennas With Adaptive Excitation and Characteristic Modes. IEEE Trans. Antennas Propag. 2021, 69, 3829–3839. [Google Scholar] [CrossRef]
- Ylä-Oijala, P.; Wallén, H.; Järvenpää, S. Theory of characteristic modes for lossy structures: Formulation and interpretation of eigenvalues. Int. J. Numer. Model. Electron. Netw. Devices Fields 2020, 33, 2627. [Google Scholar] [CrossRef]
- Khan, R.; Al-Hadi, A.; Soh, P. Recent Advancements in User Effect Mitigation for Mobile Terminal Antennas: A Review. IEEE Trans. Electromagn. Compat. 2019, 61, 279–287. [Google Scholar] [CrossRef]
- Huang, J.; Dong, G.; Cai, J.; Li, H.; Liu, G. A Quad-Port Dual-Band MIMO Antenna Array for 5G Smartphone Applications. Electronics 2021, 10, 542. [Google Scholar] [CrossRef]
- Hu, W.; Qian, L.; Gao, S.; Wen, L.; Luo, Q.; Xu, H.; Liu, X.; Liu, Y.; Wang, W. Dual-Band Eight-Element MIMO Array Using Multi-Slot Decoupling Technique for 5G Terminals. IEEE Access 2019, 7, 153910–153920. [Google Scholar] [CrossRef]
- Li, Y.; Yang, G. Dual-mode and triple-band 10-antenna handset array and its multiple-input multiple-output performance evaluation in 5G. Int. J. RF Microw. Comput. Aided Eng. 2019, 29, 21538. [Google Scholar] [CrossRef]
















| Reference | Bandwidth (GHz) | Isolation (dB) | ECC | Total Efficiency (%) | MIMO Order | Metal Frame |
|---|---|---|---|---|---|---|
| [1] | 3.3–4.2, 4.4–5.0, 5.15–5.925 (−6 dB) | >11 | <0.1 | 40–71 | 8 | yes |
| [4] | 3.4–3.6, 4.8–5.1 (−6 dB) | >10 | <0.08 | 41–72, 40–85 | 8 | yes |
| [5] | 3.3–4.2, 4.8–5.0 (−6 dB) | >10 | <0.12 | 53.8–76.5, 40–85 | 8 | yes |
| [13] | 3.3–6 (−10 dB) | >18 | <0.08 | 69.85–90 | 8 | yes |
| [20] | 3.3–3.84, 4.61–4.91 (−10 dB) | >15 | <0.02 | 76–85, 66–82 | 4 | no |
| [21] | 3.4–3.8, 4.8–5.0 (−6 dB) | >15.5 | <0.07 | 42–83, 40–85 | 8 | no |
| [22] | 3.4–3.8, 5.15–5.925 (−6 dB) | >11 | <0.1 | 52.4–71.7, 48.9–75.4 | 10 | no |
| Proposed work | 3.4–3.6, 4.4–5.0, 5.15–5.85 (−6 dB) | >16.5 | <0.18 | 72–82.4, 41.5–75.6 | 8 | yes |
Disclaimer/Publisher’s Note: The statements, opinions and data contained in all publications are solely those of the individual author(s) and contributor(s) and not of MDPI and/or the editor(s). MDPI and/or the editor(s) disclaim responsibility for any injury to people or property resulting from any ideas, methods, instructions or products referred to in the content. |
© 2024 by the authors. Licensee MDPI, Basel, Switzerland. This article is an open access article distributed under the terms and conditions of the Creative Commons Attribution (CC BY) license (https://creativecommons.org/licenses/by/4.0/).
Share and Cite
Li, H.; Xiao, S.; He, L.; Cai, Q.; Liu, G. A Dual-Band 8-Antenna Array Design for 5G/WiFi 5 Metal-Frame Smartphone Applications. Micromachines 2024, 15, 584. https://doi.org/10.3390/mi15050584
Li H, Xiao S, He L, Cai Q, Liu G. A Dual-Band 8-Antenna Array Design for 5G/WiFi 5 Metal-Frame Smartphone Applications. Micromachines. 2024; 15(5):584. https://doi.org/10.3390/mi15050584
Chicago/Turabian StyleLi, Huiyang, Shanshan Xiao, Lefei He, Qibo Cai, and Gui Liu. 2024. "A Dual-Band 8-Antenna Array Design for 5G/WiFi 5 Metal-Frame Smartphone Applications" Micromachines 15, no. 5: 584. https://doi.org/10.3390/mi15050584
APA StyleLi, H., Xiao, S., He, L., Cai, Q., & Liu, G. (2024). A Dual-Band 8-Antenna Array Design for 5G/WiFi 5 Metal-Frame Smartphone Applications. Micromachines, 15(5), 584. https://doi.org/10.3390/mi15050584

