Dual-Criteria Decision Analysis by Multiphotonic Effects in Nanostructured ZnO
Abstract
1. Introduction
2. Materials and Methods
2.1. Synthesis and Characterization of ZnO and AZO Thin Films
2.2. Electrical and Photoconductivity Studies
2.3. Third-Order Z-Scan NLO Characterization
2.4. Dual-Criteria Decision Analysis by a TWM Method
3. Results
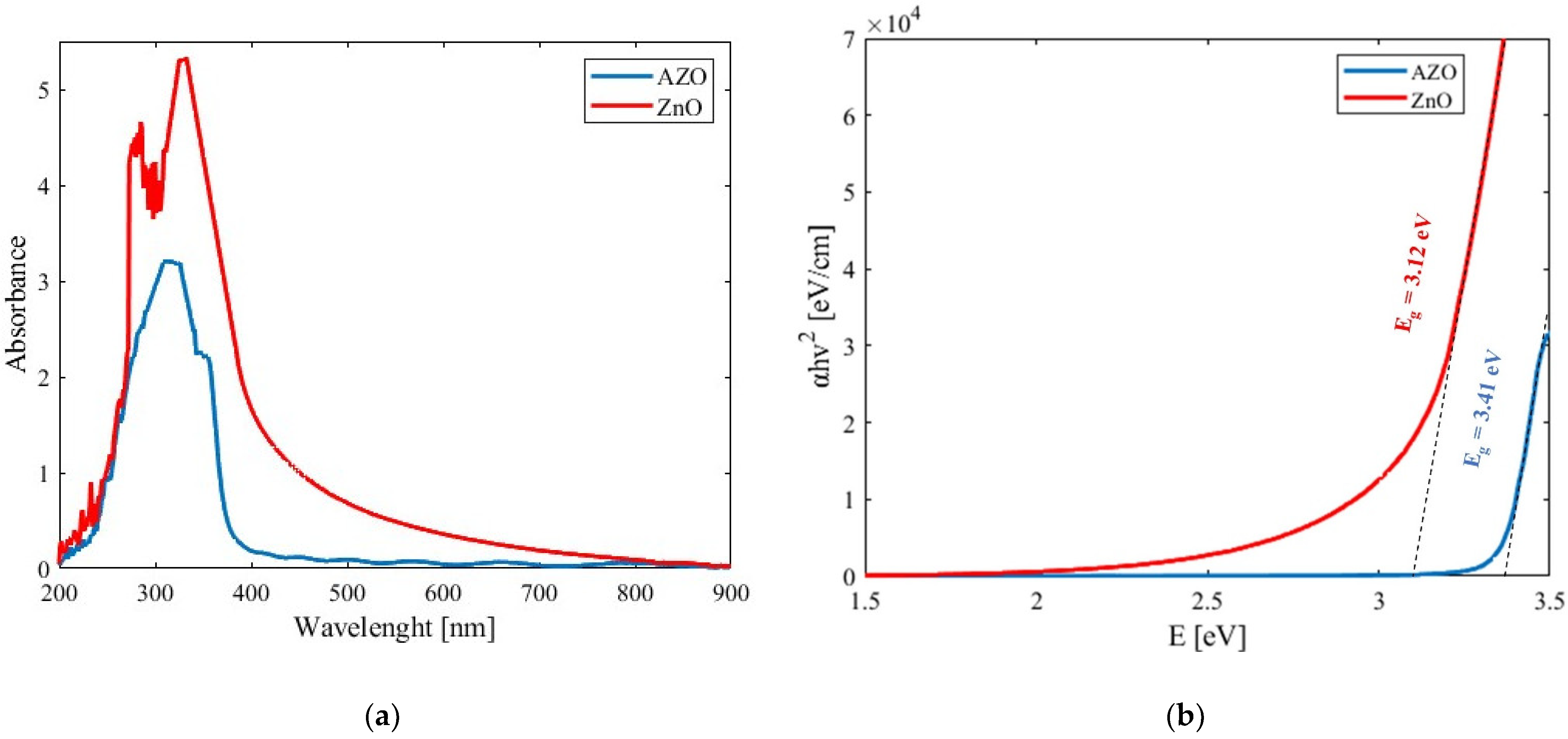
3.1. Morphological Characterization and UV–Vis Evaluation
3.2. Electrical and Photoconductive Studies
3.3. Nonlinear Z-Scan Measurements Results
3.4. Dual-Criteria Decision Analysis by a TWM Method
4. Conclusions
Author Contributions
Funding
Data Availability Statement
Acknowledgments
Conflicts of Interest
References
- Boyd, R.W.; Gaeta, A.L.; Giese, E. Nonlinear optics 4th edition. In Springer Handbook of Atomic, Molecular, and Optical Physics; Springer International Publishing: Cham, Switzerland, 2020; pp. 1097–1110. [Google Scholar]
- Combes, G.F.; Vučković, A.M.; Perić Bakulić, M.; Antoine, R.; Bonačić-Koutecky, V.; Trajković, K. Nanotechnology in tumor biomarker detection: The potential of liganded nanoclusters as nonlinear optical contrast agents for molecular diagnostics of cancer. Cancers 2021, 13, 4206. [Google Scholar] [CrossRef] [PubMed]
- McMahon, P.L. The physics of optical computing. Nat. Rev. Phys. 2023, 5, 717–734. [Google Scholar] [CrossRef]
- Shohany, B.G.; Zak, A.K. Doped ZnO nanostructures with selected elements-Structural, morphology and optical properties: A review. Ceram. Int. 2020, 46, 5507–5520. [Google Scholar] [CrossRef]
- Alsaad, A.M.; Ahmad, A.A.; Qattan, I.A.; Al-Bataineh, Q.M.; Albataineh, Z. Structural, optoelectrical, linear, and nonlinear optical characterizations of dip-synthesized undoped ZnO and group III elements (B, Al, Ga, and In)-doped ZnO thin films. Crystals 2020, 10, 252. [Google Scholar] [CrossRef]
- Dejam, L.; Kulesza, S.; Sabbaghzadeh, J.; Ghaderi, A.; Solaymani, S.; Țălu, Ș.; Miroslaw Bramowicz Amouamouha, M.; Hossein Salehi, A. ZnO, Cu-doped ZnO, Al-doped ZnO and Cu-Al doped ZnO thin films: Advanced micro-morphology, crystalline structures and optical properties. Results Phys. 2023, 44, 106209. [Google Scholar] [CrossRef]
- Zhang, D.; Yu, W.; Zhang, L.; Hao, X. Progress in the Synthesis and Application of Transparent Conducting Film of AZO (ZnO: Al). Materials 2023, 16, 5537. [Google Scholar] [CrossRef] [PubMed]
- Dalouji, V.; Ebrahimi, P.; Binaei, N.; Tanhaee, E.; Nezafat, N.B.; Dejam, L.; Solaymani, S. The optical properties of aluminum-doped zinc oxide thin films (AZO): New methods for estimating gap states. J. Supercond. Nov. Magn. 2019, 32, 1319–1326. [Google Scholar] [CrossRef]
- Swatowska, B.; Powroźnik, W.; Czternastek, H.; Lewińska, G.; Stapiński, T.; Pietruszka, R.; Witkowski, B.S.; Godlewski, M. Application properties of ZnO and AZO thin films obtained by the ALD method. Energies 2021, 14, 6271. [Google Scholar] [CrossRef]
- Abrinaei, F.; Shirazi, M. Nonlinear optical investigations on Al doping ratio in ZnO thin film under pulsed Nd: YAG laser irradiation. J. Mater. Sci. Mater. Electron. 2017, 28, 17541–17550. [Google Scholar] [CrossRef]
- Antony, A.; Pramodini, S.; Poornesh, P.; Kityk, I.V.; Fedorchuk, A.O.; Sanjeev, G. Influence of electron beam irradiation on nonlinear optical properties of Al doped ZnO thin films for optoelectronic device applications in the cw laser regime. Opt. Mater. 2016, 62, 64–71. [Google Scholar] [CrossRef]
- Jellal, I.; Nouneh, K.; Jedryka, J.; Chaumont, D.; Naja, J. Non-linear optical study of hierarchical 3D Al doped ZnO nanosheet arrays deposited by successive ionic adsorption and reaction method. Opt. Laser Technol. 2020, 130, 106348. [Google Scholar] [CrossRef]
- Wen, L.; Sahu, B.B.; Kim, H.R.; Han, J.G. Study on the electrical, optical, structural, and morphological properties of highly transparent and conductive AZO thin films prepared near room temperature. Appl. Surf. Sci. 2019, 473, 649–656. [Google Scholar] [CrossRef]
- Speaks, D.T. Effect of concentration, aging, and annealing on sol gel ZnO and Al-doped ZnO thin films. Int. J. Mech. Mater. Eng. 2020, 15, 2. [Google Scholar] [CrossRef]
- Layoul, H.; Meriche, F.; Bouznit, Y.; Boukerika, A. Structural and optical characterization of sol–gel processed Al-doped ZnO waveguide films for integrated optical devices. Appl. Phys. A 2021, 127, 625. [Google Scholar] [CrossRef]
- Patel, N.P.; Chauhan, K.V. Structural, optical and electrical study of ZnO: Al thin films: A review. Mater. Today Proc. 2022, 62, 3386–3396. [Google Scholar] [CrossRef]
- Petrov, V.V.; Ignatieva, I.O.; Volkova, M.G.; Gulyaeva, I.A.; Pankov, I.V.; Bayan, E.M. Polycrystalline transparent Al-doped ZnO thin films for photosensitivity and optoelectronic applications. Nanomaterials 2023, 13, 2348. [Google Scholar] [CrossRef] [PubMed]
- Ledezma, L.; Sekine, R.; Guo, Q.; Nehra, R.; Jahani, S.; Marandi, A. Intense optical parametric amplification in dispersion-engineered nanophotonic lithium niobate waveguides. Optica 2022, 9, 303–308. [Google Scholar] [CrossRef]
- Ali, D.; Muneer, I.; Butt, M.Z. Influence of aluminum precursor nature on the properties of AZO thin films and its potential application as oxygen sensor. Opt. Mater. 2021, 120, 111406. [Google Scholar] [CrossRef]
- Jubu, P.R.; Obaseki, O.S.; Yam, F.K.; Stephen, S.M.; Avaa, A.A.; McAsule, A.A.; Yusof, Y.; Otor, D.A. Influence of the secondary absorption and the vertical axis scale of the Tauc’s plot on optical bandgap energy. J. Opt. 2023, 52, 1426–1435. [Google Scholar] [CrossRef]
- Böer, K.W.; Pohl, U.W. Photoconductivity. In Semiconductor Physics; Springer International Publishing: Berlin/Heidelberg, Germany, 2023; pp. 1299–1324. [Google Scholar] [CrossRef]
- Walden, S.L.; Fernando, J.F.; Shortell, M.P.; Jaatinen, E.A. Accurate determination of nonlinear refraction in ZnO and Au composite nanostructures. Opt. Mater. Express 2020, 10, 653–661. [Google Scholar] [CrossRef]
- Krishna, V.G.; Mahesha, M.G. ZnS, an excellent material in photonics-A review based on Z-scan study. Phys. B Condens. Matter 2022, 628, 413628. [Google Scholar] [CrossRef]
- Schneider, T. Four-Wave-Mixing (FWM). In Nonlinear Optics in Telecommunications. Advanced Texts in Physics; Springer: Berlin/Heidelberg, Germany, 2004; pp. 167–200. [Google Scholar] [CrossRef]
- Hecht, E. Optics, 3rd ed.; Addision Wesley Iberoamericana: Madrid, Spain, 2000. [Google Scholar]
- Boyd, R.W. Nonlinear Optics, 3rd ed.; Elsevier Academic Press: San Diego, CA, USA, 2009. [Google Scholar]
- Castro-Chacón, J.H.; Khomenko, A.V.; Rangel-Rojo, R. Phase matched vectorial three-wave mixing in isotropic Kerr media. Opt. Commun. 2009, 282, 1422–1426. [Google Scholar] [CrossRef]
- Caglar, M.; Ilican, S.; Caglar, Y.; Yakuphanoglu, F. The effects of Al doping on the optical constants of ZnO thin films prepared by spray pyrolysis method. J. Mater. Sci. Mater. Electron. 2008, 19, 704–708. [Google Scholar] [CrossRef]
- Ghosh, A.; Kumari, N.; Tewari, S.; Bhattacharjee, A. Structural and optical properties of pure and Al doped ZnO nanocrystals. Indian J. Phys. 2013, 87, 1099–1104. [Google Scholar] [CrossRef]
- Azizah, N.M.; Muhammady, S.; Purbayanto, M.A.K.; Nurfani, E.; Winata, T.; Sustini, E.; Widita, R.; Darma, Y. Influence of Al doping on the crystal structure, optical properties, and photodetecting performance of ZnO film. Prog. Nat. Sci. Mater. Int. 2020, 30, 28–34. [Google Scholar] [CrossRef]
- Theuerkauf, D.; Swan, L. Characteristics of open circuit voltage relaxation in lithium-ion batteries for the purpose of state of charge and state of health analysis. Batteries 2022, 8, 77. [Google Scholar] [CrossRef]
- Uhlenbruck, S. A Physical Derivation of the Capacitive Brick Layer Model in Polycrystalline Ceramics from Fundamental Electrodynamic Equations. J. Electrochem. Soc. 2022, 169, 106509. [Google Scholar] [CrossRef]
- Abdallah, B.; Zidan, M.D.; Allahham, A. Syntheses, structural and nonlinear optical characteristics of ZnO films using Z-scan technique. Silicon 2021, 13, 4139–4146. [Google Scholar] [CrossRef]
- Sony, T.; Zaker, T.A.; Zakar, A.T.; Mohammed, H.N. Nonlinear Optical Properties of ZnO Thin Film at Low Laser Intensity Using Z-Scan Technique. Rafidain J. Sci. 2021, 30, 32–38. [Google Scholar] [CrossRef]
- Al-Asady, Z.M.; Al-Hamdani, A.H. Diffraction Rings Pattern and Nonlinear Optical Properties of Hybrid ZnO-NPs/Epoxy Resin. Eng. Technol. J. 2020, 38, 440–445. [Google Scholar] [CrossRef]
- Antony, A.; Poornesh, P.; Jedryka, J.; Ozga, K.; Hegde, G.; Kulkarni, S.D.; Petwal, V.C.; Verma, V.P.; Dwivedi, J. Enhancement of defects induced optical nonlinearity in Al: ZnO thin films by electron beam. Mater. Sci. Semicond. Process. 2021, 128, 105747. [Google Scholar] [CrossRef]
- Xu, Y.; Lu, Y.; Zuo, Y.; Xu, F.; Zuo, D. Z-scan measurements of nonlinear refraction and absorption for aluminum-doped zinc oxide thin film. Appl. Opt. 2019, 58, 6112–6117. [Google Scholar] [CrossRef] [PubMed]
- Kumar, P.; Dharmaprakash, S.M.; Patil, P.S.; Neelamma, B.G. Ellipsometric and third-order nonlinear optical studies of pulsed laser deposited aluminium doped zinc oxide thin films. Mater. Today Proc. 2021, 42, 541–547. [Google Scholar] [CrossRef]
- Kumar, P.; Dharmaprakash, S.M. A comparative analysis of structural, optical, and electrical characteristics of c-plane and a-plane ZnO: Al thin films fabricated by a pulsed laser ablation technique. Appl. Surf. Sci. 2022, 593, 153423. [Google Scholar] [CrossRef]
- Sarma, B.K.; Rajkumar, P. Al-doped ZnO transparent conducting oxide with appealing electro-optical properties–Realization of indium free transparent conductors from sputtering targets with varying dopant concentrations. Mater. Today Commun. 2020, 23, 100870. [Google Scholar] [CrossRef]
- Khojier, K. Preparation and investigation of Al-doped ZnO thin films as a formaldehyde sensor with extremely low detection limit and considering the effect of RH. Mater. Sci. Semicond. Process. 2021, 121, 105283. [Google Scholar] [CrossRef]
- Agrawal, G.P. Fiber-optic communications. In Application of Nonlinear Fiber Optics; Elsevier: Amsterdam, The Netherlands, 2021; pp. 309–368. [Google Scholar] [CrossRef]
- Sreeja, V.G.; Hajara, P.; Reshmi, R.; Anila, E.I. Effects of reduced graphene oxide on nonlinear absorption and optical limiting properties of spin coated aluminium doped zinc oxide thin films. Thin Solid Film. 2021, 722, 138580. [Google Scholar] [CrossRef]
- Kumar, P.; Dharmaprakash, S.M.; Ananya Kote, M.; Sandeep, K.M.; Patil, P.S.; Bhajantri, R.F. Target-to-substrate distance influenced linear and nonlinear optical properties of a-plane oriented ZnO: Al thin films. J. Mater. Sci. Mater. Electron. 2021, 32, 22214–22231. [Google Scholar] [CrossRef]
- Khashan, K.S.; Hadi, A.A.; Mahdi, R.O.; Jubair, D.S. Aluminum-doped zinc oxide nanoparticles prepared via nanosecond Nd: YAG laser ablation in water: Optoelectronic properties. Opt. Quantum Electron. 2023, 56, 125. [Google Scholar] [CrossRef]
- Li, B.J.; Li, Z.X.; Wang, L.; Huang, L.J. Nanosecond pulsed laser annealing of Cu/Ag/AZO multilayer thin films for performance improvement and transparent heater application. Mater. Sci. Eng. B 2023, 294, 116539. [Google Scholar] [CrossRef]
- Nizamani, B.; Jafry, A.A.A.; Salam, S.; Fizza, G.; Soboh, R.S.M.; Khudus, M.A.; Hanafi, E.; Yasin, M.; Harun, S.W. Aluminium zinc oxide as a saturable absorber for passively Q-switched and mode-locked erbium-doped fiber laser. Laser Phys. 2021, 31, 055101. [Google Scholar] [CrossRef]
- Abdulzahra, N.Z. Non-Distractive Testing and Alloying by Nanosecond Nd: Yag Laser Technique as Alternative Method to Find Nano-ZnO/Al Different Properties. Lasers Manuf. Mater. Process. 2023, 10, 522–547. [Google Scholar] [CrossRef]
- Canteli, D.; Torres, I.; Fernández, S.; Santos, J.D.; Morales, M.; Molpeceres, C. Photon-collection improvement from laser-textured AZO front-contact in thin-film solar cells. Appl. Surf. Sci. 2019, 463, 775–780. [Google Scholar] [CrossRef]
- Tian, P. The nonlinear optical absorption and optical limiting properties of noble metal-doped ZnO films. AIP Adv. 2021, 11, 115315. [Google Scholar] [CrossRef]
- Khan, M.N.; Farooq, W.A. Effect of picosecond-laser irradiation on the properties of nanostructured aluminium-doped zinc oxide thin films. Ukr. J. Phys. Opt. 2020, 21, 126–140. [Google Scholar] [CrossRef] [PubMed]
- Chen, C.; Yu, J.; Lv, Z.; Zhang, F.; Wang, K.; Li, R.; Chen, J. Interband carrier recombination mechanism in Al-doped ZnO. J. Phys. D Appl. Phys. 2023, 56, 405107. [Google Scholar] [CrossRef]
- Khan, M.N.; Almohammedi, A.; Khan, M.M. Effect of Pico Second Laser on Structural and Photoluminescence Properties of Aluminum Doped Zno Film Prepared by Sol Gel Method. Islam. Univ. J. Appl. Sci. (JESC) 2020, 2020, 156–194. [Google Scholar]
- Solibet, E.J.C.D.; Veloz, R.C.; Empizo, M.J.F.; Husay, H.A.F.; Kawano, K.; Yamanoi, K.; Toshihiko Shimizu, T.; Sarukura, N.; Estacio, E.S.; Salvador, A.A.; et al. Spray Pyrolysis Deposition of Al-Doped ZnO Thin Films for Potential Picosecond Extreme Ultraviolet Scintillator Applications. Phys. Status Solidi B 2020, 257, 1900481. [Google Scholar] [CrossRef]







| Input Digital Signal | Angle of Polarization between the Pump and Probe Beam [DEG] | Normalized Transmitted Pump Beam | Normalized Transmitted Probe Beam | Transmitted Pump Beam [GW/cm2] | Transmitted Probe Beam [W/cm2] |
|---|---|---|---|---|---|
| 0 | 45 | 0 | 1 | 2.89 | 550 |
| 1 | 90 | 1 | 0 | 3.01 | 5 |
Disclaimer/Publisher’s Note: The statements, opinions and data contained in all publications are solely those of the individual author(s) and contributor(s) and not of MDPI and/or the editor(s). MDPI and/or the editor(s) disclaim responsibility for any injury to people or property resulting from any ideas, methods, instructions or products referred to in the content. |
© 2024 by the authors. Licensee MDPI, Basel, Switzerland. This article is an open access article distributed under the terms and conditions of the Creative Commons Attribution (CC BY) license (https://creativecommons.org/licenses/by/4.0/).
Share and Cite
Garcia-de-los-Rios, V.M.; Arano-Martinez, J.A.; Trejo-Valdez, M.; Vidales-Hurtado, M.A.; Gallegos-García, G.; Torres-Torres, C. Dual-Criteria Decision Analysis by Multiphotonic Effects in Nanostructured ZnO. Micromachines 2024, 15, 579. https://doi.org/10.3390/mi15050579
Garcia-de-los-Rios VM, Arano-Martinez JA, Trejo-Valdez M, Vidales-Hurtado MA, Gallegos-García G, Torres-Torres C. Dual-Criteria Decision Analysis by Multiphotonic Effects in Nanostructured ZnO. Micromachines. 2024; 15(5):579. https://doi.org/10.3390/mi15050579
Chicago/Turabian StyleGarcia-de-los-Rios, Victor Manuel, Jose Alberto Arano-Martinez, Martin Trejo-Valdez, Mónica Araceli Vidales-Hurtado, Gina Gallegos-García, and Carlos Torres-Torres. 2024. "Dual-Criteria Decision Analysis by Multiphotonic Effects in Nanostructured ZnO" Micromachines 15, no. 5: 579. https://doi.org/10.3390/mi15050579
APA StyleGarcia-de-los-Rios, V. M., Arano-Martinez, J. A., Trejo-Valdez, M., Vidales-Hurtado, M. A., Gallegos-García, G., & Torres-Torres, C. (2024). Dual-Criteria Decision Analysis by Multiphotonic Effects in Nanostructured ZnO. Micromachines, 15(5), 579. https://doi.org/10.3390/mi15050579

