Simulation Study on the Charge Collection Mechanism of FinFET Devices in Single-Event Upset
Abstract
1. Introduction
2. TCAD Simulation Model
3. Simulation Results and Analysis
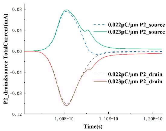
3.1. Charge Collection in NMOS Transistor
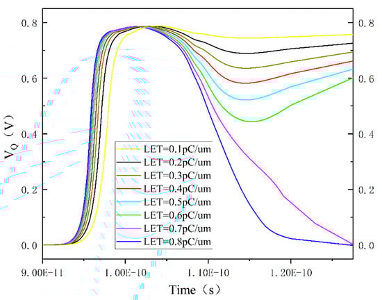
3.2. Charge Collection in PMOS Transistor
4. Conclusions
Author Contributions
Funding
Data Availability Statement
Conflicts of Interest
References
- Dodd, P.E.; Massengill, L.W. Basic mechanisms and modeling of single-event upset in digital microelectronics. IEEE Trans. Nucl. Sci. 2003, 50, 583–602. [Google Scholar] [CrossRef]
- Ibe, E.; Chung, S.S.; Wen, S.; Yamaguchi, H.; Yahagi, Y.; Kameyama, H.; Yamamoto, S.; Akioka, T. Spreading diversity in multi-cell neutron-induced upsets with device scaling. In Proceedings of the IEEE Custom Integrated Circuits Conference 2006, San Jose, CA, USA, 10–13 September 2006; pp. 437–444. [Google Scholar]
- Black, J.D. Pattern Identification of Multiple Cell Upsets in Static Random Access Memories to Relate Experimental Test Results to Single Event Upset Mechanisms. Ph.D. Thesis, Vanderbilt University, Nashville, TN, USA, 2008. [Google Scholar]
- Black, J.D.; Ball Ii, D.R.; Robinson, W.H.; Fleetwood, D.M.; Schrimpf, R.D.; Reed, R.A.; Black, D.A.; Warren, K.M.; Tipton, A.D.; Dodd, P.E.; et al. Characterizing SRAM single event upset in terms of single and multiple node charge collection. IEEE Trans. Nucl. Sci. 2008, 55, 2943–2947. [Google Scholar] [CrossRef]
- Saha, S.K. FinFET Devices for VLSI Circuits and Systems; CRC Press: Boca Raton, FL, USA, 2020. [Google Scholar]
- Markoff, J. Intel increases transistor speed by building upward. The New York Times, 5 May 2011; 4. [Google Scholar]
- Wu, S.Y.; Chang, C.H.; Chiang, M.C.; Lin, C.Y.; Liaw, J.J.; Cheng, J.Y.; Yeh, J.Y.; Chen, H.F.; Chang, S.Y.; Lai, K.T.; et al. A 3nm CMOS FinFlex™ Platform Technology with Enhanced Power Efficiency and Performance for Mobile SoC and High Performance Computing Applications. In Proceedings of the 2022 International Electron Devices Meeting (IEDM), San Francisco, CA, USA, 3–7 December 2022. [Google Scholar]
- Seifert, N.; Jahinuzzaman, S.; Velamala, J.; Ascazubi, R.; Patel, N.; Gill, B.; Basile, J.; Hicks, J. Soft error rate improvements in 14-nm technology featuring second-generation 3D tri-gate transistors. IEEE Trans. Nucl. Sci. 2015, 62, 2570–2577. [Google Scholar] [CrossRef]
- Yu, J.T.; Chen, S.M.; Chen, J.J.; Huang, P.C. Fin width and height dependence of bipolar amplification in bulk FinFETs submitted to heavy ion irradiation. Chin. Phys. B 2015, 24, 119401. [Google Scholar] [CrossRef]
- Petrosyants, K.O.; Silkin, D.S.; Popov, D.A.; Ismail-Zade, M.R. Analysis of SEU effects in MOSFET and FinFET based 6T SRAM Cells. In Proceedings of the 2022 Moscow Workshop on Electronic and Networking Technologies (MWENT), Moscow, Russia, 9–11 June 2022. [Google Scholar]
- Qin, J.; Chen, S.; Chen, J. 3-D TCAD simulation study of the single event effect on 25 nm raised source-drain FinFET. Sci. China Technol. Sci. 2012, 55, 1576–1580. [Google Scholar] [CrossRef]
- Li, G.; An, X.; Ren, Z.; Wang, J.; Huang, R. Investigation on impact of fin width on single-event-transient in bulk and SOI FinFETs. In Proceedings of the 2018 14th IEEE International Conference on Solid-State and Integrated Circuit Technology (ICSICT), Qingdao, China, 31 October–3 November 2018. [Google Scholar]
- Diehl, S.E.; Ochoa, A.; Dressendorfer, P.V.; Koga, R.; Kolasinski, W.A. Error analysis and prevention of cosmic ion-induced soft errors in static CMOS RAMs. IEEE Trans. Nucl. Sci. 1982, 29, 2032–2039. [Google Scholar] [CrossRef]
- Black, J.D.; Dodd, P.E.; Warren, K.M. Physics of multiple-node charge collection and impacts on single-event characterization and soft error rate prediction. IEEE Trans. Nucl. Sci. 2013, 60, 1836–1851. [Google Scholar] [CrossRef]
- Kolasinski, W.A.; Blake, J.B.; Anthony, J.K.; Price, W.E.; Smith, E.C. Simulation of cosmic-ray induced soft errors and latchup in integrated-circuit computer memories. IEEE Trans. Nucl. Sci. 1979, 26, 5087–5091. [Google Scholar] [CrossRef]
- Sivo, L.L.; Peden, J.C.; Brettschneider, M.; Price, W.; Pentecost, P. Cosmic ray-induced soft errors in static MOS memory cells. IEEE Trans. Nucl. Sci. 1979, 26, 5041–5047. [Google Scholar] [CrossRef]
- Pieper, N.J.; Xiong, Y.; Feeley, A.; Pasternak, J.; Dodds, N.; Ball, D.R.; Bhuva, B.L. Study of Multicell Upsets in SRAM at a 5-nm Bulk FinFET Node. IEEE Trans. Nucl. Sci. 2023, 70, 401–409. [Google Scholar] [CrossRef]
- Kato, T.; Hashimoto, M.; Matsuyama, H. Angular sensitivity of neutron-induced single-event upsets in 12-nm FinFET SRAMs with comparison to 20-nm planar SRAMs. IEEE Trans. Nucl. Sci. 2020, 67, 1485–1493. [Google Scholar] [CrossRef]
- Yaqing, C.; Pengcheng, H.; Qian, S.; Bin, L.; Zhenyu, Z. Characterization of Single-Event Upsets Induced by High-LET Heavy Ions in 16-nm Bulk FinFET SRAMs. IEEE Trans. Nucl. Sci. 2021, 69, 1176–1181. [Google Scholar] [CrossRef]
- MODEL A S U P T. Available online: https://ptm.asu.edu (accessed on 25 February 2023).
- Wu, Y.-C.; Jhan, Y.-R. 3D TCAD Simulation for CMOS Nanoeletronic Devices; Springer: New York, NY, USA, 2018. [Google Scholar]
- Synopsys. Sentaurus TCAD Ver. H-2017.09, Mountain View; Synopsys: Sunnyvale, CA, USA, 2017. [Google Scholar]
- Synopsys. Sentaurus Structure Editor User Guide Version H-2017.09; Synopsys: Sunnyvale, CA, USA, 2017. [Google Scholar]
- Synopsys. Sentaurus Device User Guide Version H-2017.09; Synopsys: Sunnyvale, CA, USA, 2017. [Google Scholar]
- Fang, Y.-P.; Oates, A.S. Neutron-induced charge collection simulation of bulk FinFET SRAMs compared with conventional planar SRAMs. IEEE Trans. Device Mater. Reliab. 2011, 11, 551–554. [Google Scholar] [CrossRef]
- Munteanu, D.; Autran, J.-L. Modeling and simulation of single-event effects in digital devices and ICs. IEEE Trans. Nucl. Sci. 2008, 55, 1854–1878. [Google Scholar] [CrossRef]
- Liu, E.; Zhu, B.; Luo, J. Semiconductor Physics; Publishing House of Electronics Industry: Beijing, China, 2008. [Google Scholar]













| Main Parameters | Value | Main Parameters | Value |
|---|---|---|---|
| Supply voltage | 0.8 V | Substrate Doping Concentration | 1.0 × 1015 cm−3 |
| Fin Height | 42 nm | Channel Doping Concentration | 1.0 × 1017 cm−3 |
| Fin Width | 10 nm | S and D Doping Concentration (P type) | 1.35 × 1020 cm−3 |
| Lgate | 24 nm | S and D Doping Concentration (N type) | 7.5 × 1019 cm−3 |
| STI | 60 nm | Gate Oxide Thickness | 2 nm |
Disclaimer/Publisher’s Note: The statements, opinions and data contained in all publications are solely those of the individual author(s) and contributor(s) and not of MDPI and/or the editor(s). MDPI and/or the editor(s) disclaim responsibility for any injury to people or property resulting from any ideas, methods, instructions or products referred to in the content. |
© 2024 by the authors. Licensee MDPI, Basel, Switzerland. This article is an open access article distributed under the terms and conditions of the Creative Commons Attribution (CC BY) license (https://creativecommons.org/licenses/by/4.0/).
Share and Cite
Zhang, H.; Guo, Y.; Wang, S.; Sun, Y.; Mei, B.; Tang, M.; Liu, J. Simulation Study on the Charge Collection Mechanism of FinFET Devices in Single-Event Upset. Micromachines 2024, 15, 201. https://doi.org/10.3390/mi15020201
Zhang H, Guo Y, Wang S, Sun Y, Mei B, Tang M, Liu J. Simulation Study on the Charge Collection Mechanism of FinFET Devices in Single-Event Upset. Micromachines. 2024; 15(2):201. https://doi.org/10.3390/mi15020201
Chicago/Turabian StyleZhang, Hongwei, Yang Guo, Shida Wang, Yi Sun, Bo Mei, Min Tang, and Jingyi Liu. 2024. "Simulation Study on the Charge Collection Mechanism of FinFET Devices in Single-Event Upset" Micromachines 15, no. 2: 201. https://doi.org/10.3390/mi15020201
APA StyleZhang, H., Guo, Y., Wang, S., Sun, Y., Mei, B., Tang, M., & Liu, J. (2024). Simulation Study on the Charge Collection Mechanism of FinFET Devices in Single-Event Upset. Micromachines, 15(2), 201. https://doi.org/10.3390/mi15020201
