Application of Solution-Processed High-Entropy Metal Oxide Dielectric Layers with High Dielectric Constant and Wide Bandgap in Thin-Film Transistors
Abstract
1. Introduction
2. Materials and Methods
2.1. Precursor Solution Preparation and Characterization
2.2. Film Fabrication and Characterization
2.3. Metal-Insulator-Metal Device Fabrication and Characterization
2.4. Thin-Film Transistor Applications and Characterization
2.5. The Critical Parameter of Thin-Film Transistor
3. Results and Discussion
3.1. Solution Properties
3.1.1. Rheological Properties
3.1.2. Chemical Properties
3.2. Films Properties
3.2.1. Physical Properties
3.2.2. Optical Properties
3.2.3. Components Analysis
3.3. Devices Properties
3.3.1. MIM Properties
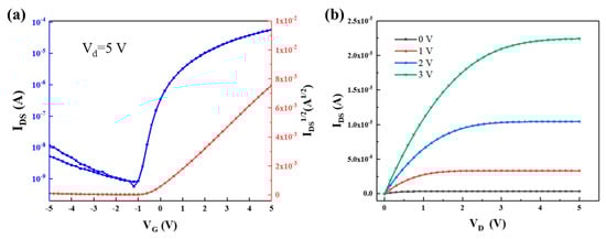
3.3.2. TFT Properties
4. Conclusions
Author Contributions
Funding
Data Availability Statement
Conflicts of Interest
References
- Ning, H.L.; Liang, Z.H.; Fu, X.; Yao, R.H.; Xu, Z.H.; Qiu, T.; Yang, Z.; Hu, C.Y.; Xu, W.; Peng, J.B. Environmentally friendly, flexible and high performance PVA dielectric layer fabricated by solution method and its application in IGZO-TFT. Org. Electron. 2022, 100, 106383. [Google Scholar] [CrossRef]
- Kol, S.; Oral, A.Y. Hf-Based High-κ Dielectrics: A Review. Acta Phys. Pol. A 2019, 136, 873–881. [Google Scholar] [CrossRef]
- Zhou, S.X.; Zhang, J.H.; Guo, X.P.; Ning, H.L.; Guo, D.; Yao, R.H.; Zhu, Z.N.; Liang, Z.H.; Fang, Z.Q.; Peng, J.B. Inkjet printing of homogeneous and green cellulose nanofibril dielectrics for high performance IGZO TFTs. J. Mater. Chem. C 2020, 8, 12578–12586. [Google Scholar] [CrossRef]
- Robertson, J. High dielectric constant gate oxides for metal oxide Si transistors. Rep. Prog. Phys. 2006, 69, 327–396. [Google Scholar] [CrossRef]
- Newsom, T.L.; Allemang, C.R.; Cho, T.H.; Dasgupta, N.P.; Peterson, R.L. 59.9 mV·dec−1 Subthreshold Swing Achieved in Zinc Tin Oxide TFTs With In Situ Atomic Layer Deposited Al2O3 Gate Insulator. IEEE Electron Device Lett. 2023, 44, 72–75. [Google Scholar] [CrossRef]
- Xu, W.Y.; Cao, H.T.; Liang, L.Y.; Xu, J.B. Aqueous Solution-Deposited Gallium Oxide Dielectric for Low-Temperature, Low-Operating-Voltage Indium Oxide Thin-Film Transistors: A Facile Route to Green Oxide Electronics. ACS Appl. Mater. Interfaces 2015, 7, 14720–14725. [Google Scholar] [CrossRef]
- Zhang, Z.H.; Su, G.P.; Ning, H.L.; Jiang, B.C.; Liu, Y.X.; Xiong, X.; Jiang, Y.S.; Liu, D.R.; Yao, R.H.; Peng, J.B. Solution-processed transparent PVP:HfO2 hybrid dielectric films with low leakage current density and high k. Surf. Interfaces 2023, 42, 10. [Google Scholar] [CrossRef]
- Li, Y.; Zhu, L.; Chen, C.S.; Zhu, Y.; Wan, C.J.; Wan, Q. High-Performance Indium-Gallium-Zinc-Oxide Thin-Film Transistors with Stacked Al2O3/HfO2 Dielectrics. Chin. Phys. Lett. 2022, 39, 118501. [Google Scholar] [CrossRef]
- Yang, Y.; Xu, Z.; Qiu, T.; Ning, H.; Zhong, J.; Li, M.; Luo, D.; Liu, X.; Yao, R.; Peng, J. High k PVP titanium dioxide composite dielectric with low leakage current for thin film transistor. Org. Electron. 2022, 101, 106413. [Google Scholar] [CrossRef]
- Nirosha, R.; Agarwal, R. Gate dielectric based steady state & transient analysis of channel characteristics for organic thin-film transistors. J. Mater. Sci.-Mater. Electron. 2023, 34, 2120. [Google Scholar] [CrossRef]
- Pan, T.M.; Chang, C.J. High-performance poly-silicon TFTs with high-k Y2O3 gate dielectrics. Semicond. Sci. Technol. 2011, 26, 075004. [Google Scholar] [CrossRef]
- Wang, Y.W.; Wang, S.; Ye, H.D.; Zhang, W.H.; Xiang, L. Negative Bias Temperature Instability in Top-Gated Carbon Nanotube Thin Film Transistors With Y2O3 Gate Dielectric. IEEE Trans. Device Mater. Reliab. 2023, 23, 571–576. [Google Scholar] [CrossRef]
- Hasan, M.M.; Roy, S.; Tokumitsu, E.; Chu, H.Y.; Kim, S.C.; Jang, J. High performance, amorphous InGaZnO thin-film transistors with ferroelectric ZrO2 gate insulator by one step annealing. Appl. Surf. Sci. 2023, 611, 155533. [Google Scholar] [CrossRef]
- Salunkhe, P.; Kekuda, D. p-channel NiO thin film transistors grown with high k ZrO2 gate oxide for low voltage operation. Phys. Scr. 2023, 98, 065913. [Google Scholar] [CrossRef]
- Zhu, C.D.; Liu, A.; Liu, G.X.; Jiang, G.X.; Meng, Y.; Fortunato, E.; Martins, R.; Shan, F.K. Low-temperature, nontoxic water-induced high-k zirconium oxide dielectrics for low-voltage, high-performance oxide thin-film transistors. J. Mater. Chem. C 2016, 4, 10715–10721. [Google Scholar] [CrossRef]
- Verma, A.; Mishra, V.N.; Prakash, R. Self-Assembled Au/P3HT, High-k Bilayer Dielectric-Based Solution Processed Low Voltage OTFT for Multiparametric Ammonia Sensor at Room Temperature. IEEE Trans. Electron Devices 2023, 70, 281–287. [Google Scholar] [CrossRef]
- Jakschik, S.; Schroeder, U.; Hecht, T.; Gutsche, M.; Seidl, H.; Bartha, J.W. Crystallization behavior of thin ALD-Al2O3 films. Thin Solid Film. 2003, 425, 216–220. [Google Scholar] [CrossRef]
- Lee, S.H.; Bak, S.Y.; Park, C.Y.; Baek, D.; Yi, M.S. Enhancement of electrical performance in indium-zinc oxide thin-film transistors with HfO2/Al2O3 gate insulator deposited via low-temperature ALD. Displays 2023, 80, 102566. [Google Scholar] [CrossRef]
- Song, X.J.; Xu, J.P.; Liu, L.; Deng, Y.H.; Lai, P.T.; Tang, W.M. Optimizing Al-doped ZrO2 as the gate dielectric for MoS2 field-effect transistors. Nanotechnology 2020, 31, 135206. [Google Scholar] [CrossRef] [PubMed]
- Zhou, Y.; Liang, Z.H.; Yao, R.H.; Zuo, W.C.; Zhou, S.X.; Zhu, Z.N.; Wang, Y.P.; Qiu, T.; Ning, H.L.; Peng, J.B. Effect of Zirconium Doping on Electrical Properties of Aluminum Oxide Dielectric Layer by Spin Coating Method with Low Temperature Preparation. Coatings 2020, 10, 620. [Google Scholar] [CrossRef]
- Peng, J.B.; Wei, J.L.; Zhu, Z.N.; Ning, H.L.; Cai, W.; Lu, K.K.; Yao, R.H.; Tao, H.; Zheng, Y.Q.; Lu, X.B. Properties-Adjustable Alumina-Zirconia Nanolaminate Dielectric Fabricated by Spin-Coating. Nanomaterials 2017, 7, 419. [Google Scholar] [CrossRef] [PubMed]
- Ma, P.F.; Sun, J.M.; Zhang, G.Q.; Liang, G.D.; Xin, Q.; Li, Y.X.; Song, A.M. Low-temperature fabrication of HfAlO alloy dielectric using atomic-layer deposition and its application in a low-power device. J. Alloy. Compd. 2019, 792, 543–549. [Google Scholar] [CrossRef]
- Yang, H.Y.; Liang, Z.H.; Fu, X.; Xu, Z.H.; Ning, H.L.; Liu, X.Z.; Lin, J.J.; Pan, Y.R.; Yao, R.H.; Peng, J.B. Application of Amorphous Zirconium-Yttrium-Aluminum-Magnesium-Oxide Thin Film with a High Relative Dielectric Constant Prepared by Spin-Coating. Membranes 2021, 11, 608. [Google Scholar] [CrossRef] [PubMed]
- Li, H.Y.; Zhou, Y.; Liang, Z.H.; Ning, H.L.; Fu, X.; Xu, Z.H.; Qiu, T.; Xu, W.; Yao, R.H.; Peng, J.B. High-Entropy Oxides: Advanced Research on Electrical Properties. Coatings 2021, 11, 628. [Google Scholar] [CrossRef]
- Zhang, Y.; Zuo, T.T.; Tang, Z.; Gao, M.C.; Dahmen, K.A.; Liaw, P.K.; Lu, Z.P. Microstructures and properties of high-entropy alloys. Prog. Mater. Sci. 2014, 61, 1–93. [Google Scholar] [CrossRef]
- Salian, A.; Pujar, P.; Vardhan, R.V.; Cho, H.W.; Kim, S.; Mandal, S. Evolution of High Dielectric Permittivity in Low-Temperature Solution Combustion-Processed Phase-Pure High Entropy Oxide (CoMnNiFeCr)O for Thin Film Transistors. ACS Appl. Electron. Mater. 2023, 5, 2608–2623. [Google Scholar] [CrossRef]
- Liang, Z.H.; Wu, W.J.; Fu, X.; Ning, H.L.; Xu, W.; Xiong, X.; Qiu, T.; Luo, C.; Yao, R.H.; Peng, J.B. Flexible High-Entropy Poly(vinyl alcohol) Dielectric Films Were Prepared at a Low Temperature and Applied to an Indium Gallium Zinc Oxide Thin-Film Transistor. J. Phys. Chem. Lett. 2023, 14, 9245–9249. [Google Scholar] [CrossRef]
- Acharya, V.; Agarwal, K.; Mondal, S. Electronic materials for solution-processed TFTs. Mater. Res. Express 2023, 10, 082002. [Google Scholar] [CrossRef]
- Vukmirovic, J.; Tripkovic, D.; Bajac, B.; Kojic, S.; Stojanovic, G.M.; Srdic, V.V. Comparison of barium titanate thin films prepared by inkjet printing and spin coating. Process. Appl. Ceram. 2015, 9, 151–156. [Google Scholar] [CrossRef]
- Sahoo, S.; Arora, A.; Doshi, P. Two-layer spin coating flow of Newtonian liquids: A computational study. Comput. Fluids 2016, 131, 180–189. [Google Scholar] [CrossRef]
- Liang, Z.; Zhou, S.; Cai, W.; Fu, X.; Ning, H.; Chen, J.; Yuan, W.; Zhu, Z.; Yao, R.; Peng, J. Zirconium-aluminum-oxide dielectric layer with high dielectric and relatively low leakage prepared by spin-coating and the application in thin-film transistor. Coatings 2020, 10, 282. [Google Scholar] [CrossRef]
- Boratto, M.H.; Congiu, M.; dos Santos, S.B.; Scalvi, L.V. Annealing temperature influence on sol-gel processed zirconium oxide thin films for electronic applications. Ceram. Int. 2018, 44, 10790–10796. [Google Scholar] [CrossRef]
- Zhou, S.; Zhang, J.; Fang, Z.; Ning, H.; Cai, W.; Zhu, Z.; Liang, Z.; Yao, R.; Guo, D.; Peng, J. Thermal effect of annealing-temperature on solution-processed high-k ZrO 2 dielectrics. RSC Adv. 2019, 9, 42415–42422. [Google Scholar] [CrossRef] [PubMed]
- Hu, B.; Yao, M.; Yang, P.; Chen, J.; Yao, X. Preparation of Al2O3 dense films using sol derived from Al(NO3)3·9H2O. Mater. Technol. 2014, 29, 47–51. [Google Scholar] [CrossRef]
- Hu, B.; Jia, E.; Du, B.; Yin, Y. A new sol-gel route to prepare dense Al2O3 thin films. Ceram. Int. 2016, 42, 16867–16871. [Google Scholar] [CrossRef]
- Koslowski, N.; Hoffmann, R.C.; Trouillet, V.; Bruns, M.; Foro, S.; Schneider, J.J. Synthesis, oxide formation, properties and thin film transistor properties of yttrium and aluminium oxide thin films employing a molecular-based precursor route. Rsc Adv. 2019, 9, 31386–31397. [Google Scholar] [CrossRef] [PubMed]
- Li, Y.J.; Xu, W.Y.; Liu, W.J.; Han, S.; Cao, P.J.; Fang, M.; Zhu, D.L.; Lu, Y.M. High-Performance Thin-Film Transistors with Aqueous Solution-Processed NiInO Channel Layer. ACS Appl. Electron. Mater. 2019, 1, 1842–1851. [Google Scholar] [CrossRef]
- Liang, Z.H.; Wu, W.J.; Fu, X.; Ning, H.L.; Su, G.P.; Wang, H.C.; Qiu, T.; Yang, Z.; Yao, R.H.; Peng, J.B. Solution-processed high entropy metal oxides as dielectric layers with high transmittance and performance and application in thin film transistors. Surf. Interfaces 2023, 40, 103147. [Google Scholar] [CrossRef]
- Gobrecht, D.; Plane, J.M.C.; Bromley, S.T.; Decin, L.; Cristallo, S.; Sekaran, S. Bottom-up dust nucleation theory in oxygen-rich evolved stars. Astron. Astrophys. 2022, 658, A167. [Google Scholar] [CrossRef]
- Gowtham, S.; Costales, A.; Pandey, R. Theoretical study of neutral and ionic states of small clusters of GamOn (m, n = 1, 2). J. Phys. Chem. B 2004, 108, 17295–17300. [Google Scholar] [CrossRef]
- Ariyarathna, I.R.; Duan, C.R.; Kulik, H.J. Understanding the chemical bonding of ground and excited states of HfO and HfB with correlated wavefunction theory and density functional approximations. J. Chem. Phys. 2022, 156, 184113. [Google Scholar] [CrossRef] [PubMed]
- Kushawaha, V.S. Potential energy curves and dissociation energy of titanium monoxide. J. Phys. Chem. 1973, 77, 2885–2888. [Google Scholar] [CrossRef]
- Sievers, M.R.; Armentrout, P.B. Oxidation of CO and reduction of CO2 by gas phase Zr+, ZrO+, and ZrO2+. Int. J. Mass Spectrom. 1999, 185, 117–129. [Google Scholar] [CrossRef]
- Jing-Feng, L.; Watanabe, R.; Bo-Ping, Z.; Asami, K.; Hashimoto, K. X-ray photoelectron spectroscopy investigation on the low-temperature degradation of 2 mol% Y2O3-ZrO2 ceramics. J. Am. Ceram. Soc. 1996, 79, 3109–3112. [Google Scholar] [CrossRef]
- Zhao, Y.; Kita, K.; Toriumi, A. Thermodynamic analysis of moisture absorption phenomena in high-permittivity oxides as gate dielectrics of advanced complementary-metal-oxide-semiconductor devices. Appl. Phys. Lett. 2010, 96, 242901. [Google Scholar] [CrossRef]
- Wang, S.; Yang, C.; Li, X.M.; Jia, H.Y.; Liu, S.R.; Liu, X.Y.; Minari, T.; Sun, Q.Q. Polymer-based dielectrics with high permittivity and low dielectric loss for flexible electronics. J. Mater. Chem. C 2022, 10, 6196–6221. [Google Scholar] [CrossRef]
- Qiu, J.; Gu, Q.; Sha, Y.; Huang, Y.; Zhang, M.; Luo, Z.Y. Preparation and application of dielectric polymers with high permittivity and low energy loss: A mini review. J. Appl. Polym. Sci. 2022, 139, e52367. [Google Scholar] [CrossRef]
- Chang, Y.; Bukke, R.N.; Bae, J.; Jang, J. Low-Temperature Solution-Processed HfZrO Gate Insulator for High-Performance of Flexible LaZnO Thin-Film Transistor. Nanomaterials 2023, 13, 2410. [Google Scholar] [CrossRef]
- Xia, D.; Xu, J. High mobility and low operating voltage ZnGaO and ZnGaLiO transistors with spin-coated Al2O3 as gate dielectric. J. Phys. D Appl. Phys. 2010, 43, 442001. [Google Scholar] [CrossRef]
- Chen, L.; Xu, W.; Liu, W.; Han, S.; Cao, P.; Fang, M.; Zhu, D.; Lu, Y. Polymer-assisted deposition of gallium oxide for thin-film transistor applications. ACS Appl. Mater. Interfaces 2019, 11, 29078–29085. [Google Scholar] [CrossRef] [PubMed]
- Cai, Q.J.; Gan, Y.; Chan-Park, M.B.; Yang, H.B.; Lu, Z.S.; Song, Q.L.; Li, C.M.; Li Dong, Z. Solution-processable organic-capped titanium oxide nanoparticle dielectrics for organic thin-film transistors. Appl. Phys. Lett. 2008, 93, 113304. [Google Scholar] [CrossRef]
- Adamopoulos, G.; Thomas, S.; Bradley, D.D.; McLachlan, M.A.; Anthopoulos, T.D. Low-voltage ZnO thin-film transistors based on Y2O3 and Al2O3 high-k dielectrics deposited by spray pyrolysis in air. Appl. Phys. Lett. 2011, 98, 123503. [Google Scholar] [CrossRef]
- Zhou, S.; Fang, Z.; Ning, H.; Cai, W.; Zhu, Z.; Wei, J.; Lu, X.; Yuan, W.; Yao, R.; Peng, J. Bias stability enhancement in thin-film transistor with a solution-processed ZrO2 dielectric as gate insulator. Appl. Sci. 2018, 8, 806. [Google Scholar] [CrossRef]












| Sample Names | (GaHfTiYZr)Ox | (AlHfTiYZr)Ox | (AlGaTiYZr)Ox | (AlGaHfYZr)Ox | (AlGaHfTiZr)Ox | (AlGaHfTiY)Ox |
|---|---|---|---|---|---|---|
| Abbreviation | GHTYZ | AHTYZ | AGTYZ | AGHYZ | AGHTZ | AGHTY |
| Elemental Components | The Concentration of Ti (M) | The Concentration of Remaining Elements (M) | Total Concentration (M) |
|---|---|---|---|
| AGTYZ | 0 | 0.25 | 1.0 |
| 0.12 | 0.22 | ||
| 0.20 | 0.20 | ||
| 0.28 | 0.18 |
Disclaimer/Publisher’s Note: The statements, opinions and data contained in all publications are solely those of the individual author(s) and contributor(s) and not of MDPI and/or the editor(s). MDPI and/or the editor(s) disclaim responsibility for any injury to people or property resulting from any ideas, methods, instructions or products referred to in the content. |
© 2024 by the authors. Licensee MDPI, Basel, Switzerland. This article is an open access article distributed under the terms and conditions of the Creative Commons Attribution (CC BY) license (https://creativecommons.org/licenses/by/4.0/).
Share and Cite
Liu, J.; Xiong, X.; Li, H.; Huang, X.; Wang, Y.; Sheng, Y.; Liang, Z.; Yao, R.; Ning, H.; Wei, X. Application of Solution-Processed High-Entropy Metal Oxide Dielectric Layers with High Dielectric Constant and Wide Bandgap in Thin-Film Transistors. Micromachines 2024, 15, 1465. https://doi.org/10.3390/mi15121465
Liu J, Xiong X, Li H, Huang X, Wang Y, Sheng Y, Liang Z, Yao R, Ning H, Wei X. Application of Solution-Processed High-Entropy Metal Oxide Dielectric Layers with High Dielectric Constant and Wide Bandgap in Thin-Film Transistors. Micromachines. 2024; 15(12):1465. https://doi.org/10.3390/mi15121465
Chicago/Turabian StyleLiu, Jun, Xin Xiong, Han Li, Xiangchen Huang, Yajun Wang, Yifa Sheng, Zhihao Liang, Rihui Yao, Honglong Ning, and Xiaoqin Wei. 2024. "Application of Solution-Processed High-Entropy Metal Oxide Dielectric Layers with High Dielectric Constant and Wide Bandgap in Thin-Film Transistors" Micromachines 15, no. 12: 1465. https://doi.org/10.3390/mi15121465
APA StyleLiu, J., Xiong, X., Li, H., Huang, X., Wang, Y., Sheng, Y., Liang, Z., Yao, R., Ning, H., & Wei, X. (2024). Application of Solution-Processed High-Entropy Metal Oxide Dielectric Layers with High Dielectric Constant and Wide Bandgap in Thin-Film Transistors. Micromachines, 15(12), 1465. https://doi.org/10.3390/mi15121465

