Abstract
The praseodymium-doped indium zinc oxide (PrIZO) thin-film transistor (TFT) is promising for applications in flat-panel displays, due to its high carrier mobility and stability. Nevertheless, there are few studies on the mechanism of annealing on PrIZO films and the fabrication of flexible devices. In this work, we first optimized the annealing-process parameters on the glass substrate. As the annealing temperature rises, the film tends to be denser and obtains a lower surface roughness, a narrower optical-band gap and less oxygen-vacancy content. However, the μ-PCD test shows the 250 °C-annealed film obtains the least defects. And the PrIZO TFT annealed at 250 °C exhibited a desired performance with a saturation mobility (μsat) of 14.26 cm2·V−1·s−1, a subthreshold swing (SS) of 0.14 V·dec−1, an interface trap density (Dit) of 3.17 × 1011, an Ion/Ioff ratio of 1.83 × 108 and a threshold voltage (Vth) of −1.15 V. The flexible devices were prepared using the optimized parameters on the Polyimide (PI) substrate and subjected to static bending tests. After bending at a radius of 5 mm, the mobility of devices decreases slightly from 12.48 to 10.87 cm2·V−1·s−1, demonstrating the great potential of PrIZO for flexible displays.
1. Introduction
The thin-film transistor (TFT) for active-matrix organic light-emitting diode (AMOLED) has been widely studied with the rapid development of high-resolution, high refresh rate, and flexible and transparent-display technology [1,2,3,4,5]. The amorphous oxide semiconductor (AOS) material, such as indium gallium zinc oxide (IGZO) and indium zinc oxide (IZO), has gradually replaced traditional hydrogenated amorphous silicon (a-Si: H) and low-temperature polycrystalline silicon (LTPS), to be considered as the channel of TFT, due to its good uniformity, high mobility, high optical transparency and low off-current [6,7,8,9,10,11]. Nevertheless, AOS TFT suffers the problem of being sensitive to external environmental factors such as light, water and oxygen [12,13]. In order to address the problem of instability, the method of adding various dopants which have strong binding energy with oxygen to AOS has attracted people’s attention [14,15,16]. For example, the praseodymium-doped indium zinc oxide (PrIZO) TFT, where Pr effectively suppress the formation of oxygen vacancies (VO), exhibit obvious stability under negative-bias illumination stress (NBIS) [17,18,19,20].
Furthermore, during the film preparation process, a significant number of defect states are often generated [21,22], which adversely impacts the quality of the film and subsequently diminishes device performance [23]. Therefore, it is essential to implement a certain degree of post-treatment on the film, to enhance its quality. The most prevalent method for post-treatment is annealing. Numerous studies have demonstrated that employing thermal annealing can improve device performance by allowing atoms within the film to gain energy for rearrangement and facilitating the formation of oxide lattices [24,25]. Also, annealing effectively eliminates weak bonds, reduces defects and decrease the density of subgap state, which affect the stability of devices [26,27,28,29,30]. In this work, the annealing process at different temperatures are applied to the films and TFTs of PrIZO to explore the internal mechanism. It is discovered that annealing at appropriate temperature can effectively diminish the deep-level defects and enhance the carrier concentration. Based on the analysis of mechanism, the optimized annealing process is acquired and then applied to the preparation of flexible TFTs, which exhibit great performance.
2. Materials and Methods
The PrIZO films were prepared on an alkali-free glass (1.0 × 1.0 cm2) by radio frequency (RF) magnetron sputtering using a PrIZO target (Pr:In:Zn = 0.2:5.2:1 at%). The sputtering power, chamber pressure and sputtering time were maintained at 80 W, 0.9 Pa and 6 min. The deposition process was executed with a gas mixing ratio of Ar:O2 = 9:1. Then, the films were annealed at 200 °C, 250 °C and 300 °C in air for 30 min, respectively.
The schematic diagram of the PrIZO TFT prepared on the glass substrate is shown in Figure 1a. A 300 nm thick Al film was deposited by direct current (DC) sputtering and then patterned by wet etching to form the gate electrode. Then, part of Al film was oxidized to AlOx as an insulating layer by anodic oxidation in an electrolyte consisting of ammonium tartrate (3.48 wt. %) and ethylene glycol (96.52 wt. %) at room temperature. The thickness of the insulating layer was about 200 nm and the unit-area capacitance of the insulating layer was about 38 nF/cm2. As mentioned above, after sputtering a patterned layer of PrIZO, the as-deposited samples were annealed at a different temperature in air for 30 min. Finally, a 150 nm thick Al layer was prepared by DC sputtering through a shadow mask (channel width/length = 530 μm/390 μm) as the source/drain electrodes.
Figure 1.
Schematic diagram of PrIZO TFT: (a) glass substrate, (b) PI substrate.
As shown in Figure 1b, the flexible PrIZO TFT device adopts a PI substrate (1.0 × 1.0 cm2). The PI substrate is coated with a PI film on the glass. In addition, the structure of the device above the substrate is identical.
All sputtering operations are performed by a magnetron sputtering machine. (JGP-560, Sky Technology Development Co., Ltd., Shenyang, Chinese Academy of Sciences). The phase, thickness and density of PrIZO films were gained from an X-ray diffraction (XRD) and X-ray reflection (XRR) analyzer (Empyrean Nano edition, PANalytical, Almelo, The Netherlands). The surface morphology was observed by atomic force microscopy (AFM). The optical properties of PrIZO thin films were characterized by a UV-VIS spectrophotometer (Shimadzu UV-3600, Kyoto, Japan). The relative carrier concentrations of the films were determined by microwave photoconductivity decay (μ-PCD, LTA-1620SP, Kobelco, Kobe, Japan). The chemical changes of the PrIZO films were detected by X-ray photoelectron spectroscopy (XPS) measurements. The electrical performance of the device was measured by using a semiconductor parameter analyzer (FS-Pro-Semiconductor parameter tester, Primarius Technologies Co., Ltd., Shanghai, China) in dark and air environment.
3. Results and Discussion
3.1. XRD Analysis
As shown in Figure 2, it is evident that all the XRD patterns of films have a broad peak between 20° and 35°, which is caused by the glass substrate, and there are no other characteristic peaks beyond that. This indicates that all films remain amorphous under the treatment process in this study, which is related to the lattice difference of cubic In2O3, hexagonal ZnO and hexagonal Pr2O3 [31].
Figure 2.
XRD patterns of PrIZO thin films annealed at different temperatures.
3.2. XRR Analysis
Figure 3a shows the XRR test results of PrIZO films annealed at different temperatures. The black curve is the data actually measured, and the red curve is the fitting curve. The two curves basically coincide, indicating that the fitting results are credible. Figure 3b shows the effect of annealing temperature on film thickness and density. From Figure 3b, the thickness and the density of untreated PrIZO thin films are about 16.1 nm and 6.25 g/cm3. With the rise of annealing temperature, the thickness of the film decreases markedly, and the density increases accordingly. The thickness of the film annealed at 300 °C drops to approximately 15.2 nm, and the density of that rises to 6.42 g/cm3. The rationale behind this phenomenon is that annealing supplies energy to the atoms or molecules of the film by means of heat transfer, allowing them to rearrange themselves.
Figure 3.
PrIZO thin films annealed at different temperature: (a) XRR, (b) thickness and density.
3.3. AFM Analysis
The 3D surface morphology of the films annealed at different temperature is shown in Figure 4a–d. As is apparent, the surface of the untreated film is uneven and contains numerous minor protuberances. As the annealing temperature increases, the protrusion gradually decreases, the surface tends to be smooth, and the surface roughness also reduces. It should be noticed that the surface morphology of the film did not change significantly until the temperature reached 250 °C. The morphology of film annealed at 300 °C is improved significantly, with a low roughness of 0.72 nm. This also implies that the molecular motion is relatively less intense at low temperatures, thereby causing only minor changes in roughness. Figure 4e,f show the surface morphology of the insulating layer on different substrates. It can be inferred that, because of an extra layer of PI film, the insulating layer on the PI substrate has a rougher interface. Moreover, it is worth mentioning that lower surface roughness could reduce carrier scattering and favorably increase the mobility of devices [32].
Figure 4.
AFM images of PrIZO thin films: (a) untreated, (b) 200 °C, (c) 250 °C, (d) 300 °C and AFM images of insulators: (e) on the PI substrate, (f) on the glass substrate.
3.4. Optical Characterization
Figure 5a shows the transmission spectra of PrIZO films annealed at different temperature. The average transmittance of PrIZO films in the visible band exceeds 94%, which fully demonstrates the great potential application of PrIZO in transparent display. In addition, the optical band gap (Eg) of PrIZO films can be fitted from the absorption spectra, as shown in Figure 5b, according to Equation (1):
where α represents the absorption coefficient, hν denotes the energy of the photon, and A constitutes a constant [33].
Figure 5.
PrIZO thin films: (a) transmission spectra, (b) optical band gap.
As can be seen from Figure 5b, with the annealing temperature increasing to 300 °C, the band gaps of PrIZO films are, respectively, 3.23 eV, 3.20 eV, 3.16 eV and 3.12 eV. This indicates that increasing the annealing temperature effectively reduces the Eg of the PrIZO film, so that electrons can be excited more conveniently from the valence band to the conduction band, which is conducive to charge transport.
3.5. XPS Analysis
In PrIZO thin films, the XPS test is employed to analyze the changes in the surface composition and the various chemical states of oxygen, to further explain the mechanism of annealing treatment on TFT performance. Figure 6 shows the O 1s peaks of XPS spectra of PrIZO films annealed at different temperature. The O 1s peak can be fitted by three Gaussian distributions, which are centered at 529.8 ± 0.2 eV, 531.1 ± 0.3 eV and 531.9 ± 0.2 eV [31,33,34]. The three peaks denote oxygen in the lattice (M-O), oxygen vacancies (VO), and chemisorbed oxygen (M-OH), respectively. The carriers in oxide semiconductors mainly originate from oxygen vacancies. From Figure 6, it can be seen that with increasing annealing temperature, the percentage of VO peak area decreases from 23.45% to 17.36%, while the percentage of M-O peak area increases from 71.15% to 80.47%. This indicates that thermal annealing provides energy for the film rearrangement, enhances the M-O bonding network of films and inhibits the formation of oxygen vacancies, which may lead to the decrease in the optical band gap [35,36]. Meanwhile, the percentage of M-OH peak area also drops to 2.18% when the temperature reaches 300 °C, due to high-temperature annealing reducing the suspension bonds and hydrophilic groups on the film surface.
Figure 6.
O 1s peak of XPS spectra of PrIZO thin films: (a) untreated, (b) 200 °C, (c) 250 °C, (d) 300 °C.
3.6. μ-PCD Analysis
The μ-PCD measurement system is a non-contact and non-destructive test technique, which uses pulsed laser to irradiate the surface of the sample to generate excess photo-generated carriers, resulting in a change of the microwave reflectivity [37]. By observing the temporal response of the microwave reflectivity, it enables the characterization of the capture, recombination, and relaxation of photo-generated carriers so that the shallow-level and deep-level defects in the film can be qualitatively detected [38,39]. From this test, we can obtain peak values and Tau2 values, which characterize deep-level and shallow-level defects, respectively. A higher peak value and a lower Tau2 value mean fewer defects and a better quality of the PrIZO film. Figure 7 shows the μ-PCD results of PrIZO films annealed at different temperature through a mapping scan of the peak level.
Figure 7.
The µ-PCD mapping scan result of PrIZO films: (a) untreated, (b) 200 °C, (c) 250 °C, (d) 300 °C.
As illustrated in Figure 7, it is observed that the peak value of annealed films is higher than that of the untreated film. Since the peak value is associated with deep-level defects, this suggest that annealing has a beneficial effect on the repair of deep-level defects. In addition, with the rise in temperature, the peak value of the film initially increases and subsequently decreases, reaching its maximum at 250 °C. This indicates that the 250 °C-annealed film has the least number of deep-level defects. Moreover, the extracted peak values and Tau2 values varying with annealing temperature are shown in Table 1.
Table 1.
The extracted Peak values and Tau2 values of PrIZO thin films.
The Tau2 value serves as an indicator of the density of shallow-level defects. As shown in Table 1, the Tau2 value for the untreated film is measured at 2.18 µs. And this value remains unchanged only while annealing at 250 °C. However, it significantly increases at both 200 °C and 300 °C, indicating a corresponding rise in shallow-level defects, which may be detrimental to the performance of the device. From the μ-PCD test, the 250 °C-annealed film obtains the best quality.
3.7. TFT Performance
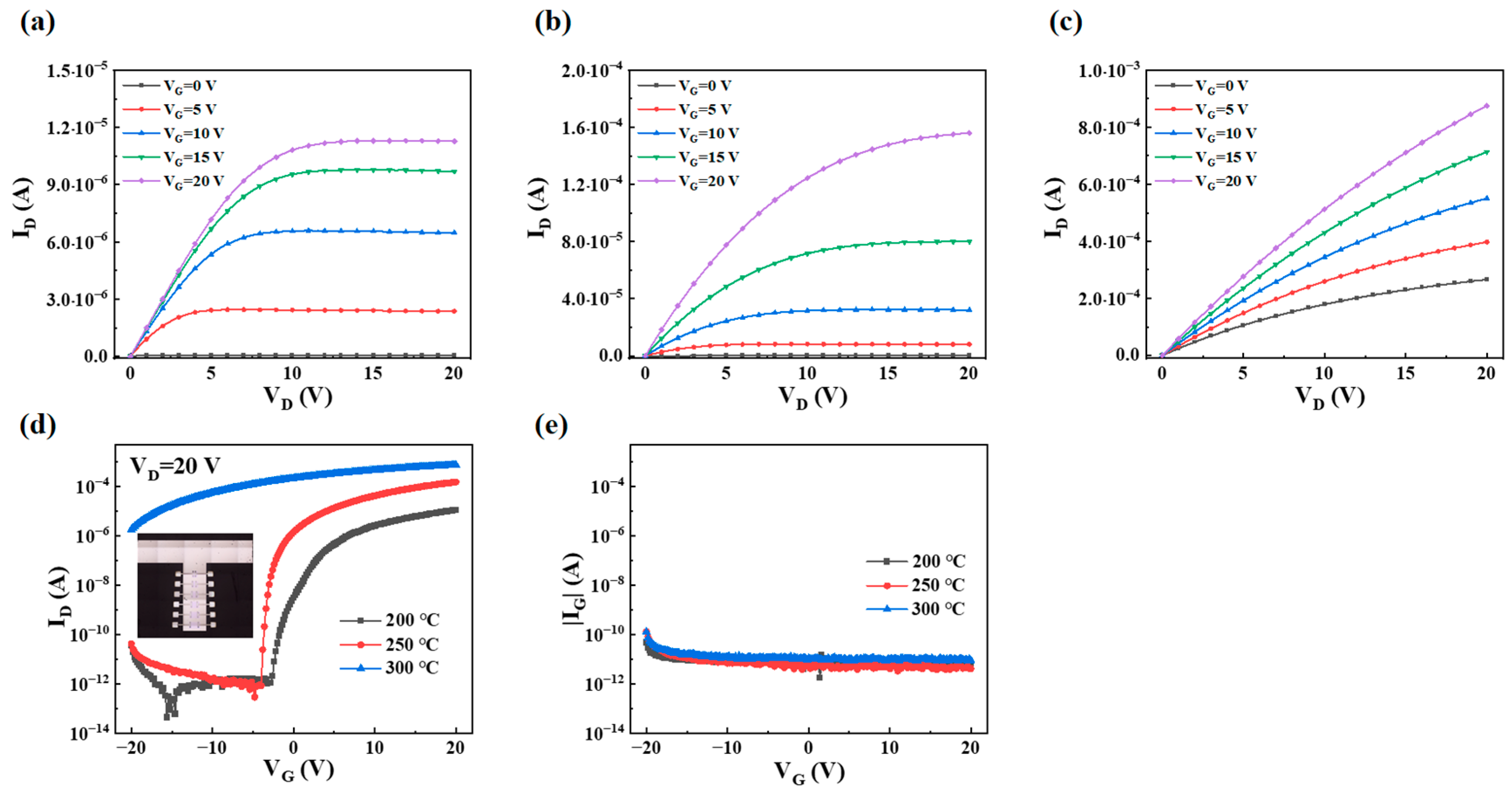
Figure 8a–c show the output characteristic of PrIZO TFTs. (The electrical characteristic of the device without annealing treatment cannot be measured.) The devices annealed at 200 °C and 250 °C exhibit a clear pinch-off and good current-saturation behaviors. However, the 300 °C-annealed device has a large drain current (ID) even if the gate voltage (VG) is not applied. Figure 8d,e show the transfer characteristic of PrIZO TFTs, as obtained through scanning VG from −20 V to 20 V and recording the corresponding alteration in ID (VD = 20 V) and the absolute value of the gate leakage current (|IG|). The saturation mobility (μsat) and threshold voltage (Vth) of devices can be extracted from Equation (2). And the subthreshold swing (SS) of devices can be extracted from Equation (3), so that the interface trap density (Dit) can be extracted from Equation (4). In addition, the on currents (Ion) and off currents (Ioff) can be obtained from the transfer curves to calculate the ratio. The extracted performance parameters of PrIZO TFTs are summarized in Table 2. (The Vth of the device annealed at 300 °C cannot be extracted in the scanning range.)
where W, L, and C are the channel width, length, and gate-insulator capacitance, respectively.
where k is the Boltzmann’s constant, e is the base of the natural logarithm, T is the temperature, q is the electron charge and C is the gate-insulator capacitance [40].
Figure 8.
The output curves of PrIZO TFTs: (a) 200 °C, (b) 250 °C, (c) 300 °C and transfer curves of PrIZO TFTs: (d) ID, (e) |IG|.
Table 2.
Performance parameters of PrIZO TFTs with different annealing temperature.
As illustrated in Figure 8d, the devices subjected to annealing at 300 °C demonstrate a loss of their switching characteristics, exhibiting instead the characteristics of conductors. On the one hand, high-temperature annealing significantly enhances the density of the semiconductor layer, which is conducive to electron transport, and the reduction in the roughness of the film also reduces the scattering of carriers. On the other hand, the film annealed at 300 °C exhibits the narrowest band gap, which facilitates electron transition from valence band to conduction band. Moreover excessively high temperature may lead to hydrogen diffusion from the dielectric layer into the channel layer, where it acts as a shallow donor, thereby resulting in high-density subgap states [41].
As can be observed in Table 2, as the annealing temperature increases from 200 °C to 250 °C, the mobility of the device increases significantly, and the threshold voltage drifts negatively, due to the changes in density, roughness and band gap of the PrIZO thin films mentioned above. Moreover, the film annealed at 250 °C has a larger peak value and a smaller Tau2 value in the μ-PCD test, which means fewer defects. The corresponding device shows better performance. As a result, the optimized 250 °C-annealed PrIZO TFT exhibits good electric characteristic, with a μsat of 14.26 cm2·V−1·s−1, an SS of 0.14 V·dec−1, a Dit of 3.17 × 1011, an Ion/Ioff ratio of 1.83 × 108 and a Vth of −1.15 V.
The electrical stabilities of PrIZO TFTs under negative-bias illumination stress (NBIS) were investigated. Figure 9a–c illustrate the changes in the transfer curves of PrIZO TFTs after 3600 s of NBIS under conditions of 250-lux-intensity illumination and −20 V bias voltage. The shift in threshold voltage (ΔVth) was measured at 0 s, 900 s, 1800 s, 2700 s and 3600 s, as shown in Figure 9d. (As mentioned above, the ΔVth of the 300 °C-annealed device cannot be extracted.) As can be seen, with the rise in temperature, the NBIS stability of devices becomes better. Under white-light illumination, the oxygen vacancy above the valence band maximum (VBM) can be ionized to VO2+, thereby releasing two electrons into the conduction band. At the same time, VO2+ ions are trapped at the insulator/semiconductor interface, which produces a shielding effect on gate voltage [13]. The semiconductor layer annealed at 250 °C exhibits a lower oxygen-vacancy content than that annealed at 200 °C, so the shielding effect is weaker and the ΔVth of the device is smaller during the NBIS test.
Figure 9.
NBIS stabilities of PrIZO TFTs: (a) 200 °C, (b) 250 °C, (c) 300 °C, (d) ΔVth.
The flexible PrIZO TFT was prepared on the PI substrate using the optimized annealing process, and its transfer characteristics under different bending radii were measured, as shown in Figure 10. The extracted performance parameters were summarized in Table 3. As illustrated in Table 3, the mobility of the device fabricated on the PI substrate exhibits a slight decrease, accompanied by a positive shift in the threshold voltage. This phenomenon may be attributed to the different surface roughness of insulating layers mentioned in the AFM test.
Figure 10.
The transfer curves of flexible PrIZO TFTs: (a) ID, (b) |IG|.
Table 3.
Performance parameters of flexible PrIZO TFTs.
When the device is mechanically bent, it is observed that there is a slight decrease in the performance of the device, which is attributed to the fact that when mechanical stress is applied, the source/drain electrode and active layer interface may act as the stress concentration points, and these points may create charge trapping or defects [42]. However, even measured at a bending radius of just 5 mm, the PrIZO flexible device continues to demonstrate excellent performance, with a μsat of 10.87 cm2·V−1·s−1, an SS of 0.21 V·dec−1, a Dit of 5.95 × 1011, an Ion/Ioff ratio of 5.29 × 107, and a Vth of 4.57 V. This is also proof of the great potential of PrIZO in the field of flexible electronics.
4. Conclusions
In summary, the characteristics of PrIZO films and TFTs under various annealing temperatures were investigated. From the μ-PCD measurement, the film with 250 °C-annealing treatment achieves the best quality among all the films. The high conductivity of the 300 °C annealed device may be caused by the high density, low roughness and narrow band gap of the channel layer. The optimized 250 °C -annealed PrIZO TFT demonstrates outstanding performance, with a mobility of up to 14.26 cm2·V−1·s−1 and a ΔVth of −3 V in the NBIS stability test. When the optimized annealing process is employed in the preparation of flexible TFT, the flexible device still maintains good performance, and the mobility of the device is only reduced by approximately 10% under the bending radius of 5mm. The excellent performance of the device indicates its considerable application potential in transparent and flexible displays.
Author Contributions
Conceptualization, Z.W. and H.N.; methodology, Z.W.; software, H.L.; validation, D.L., R.Y. and X.W.; formal analysis, Z.L.; investigation, G.S.; resources, H.N.; data curation, Z.W.; writing—original draft preparation, Z.W.; writing—review and editing, H.N.; visualization, D.Y.; supervision, R.Y.; project administration, J.P.; funding acquisition, D.L. All authors have read and agreed to the published version of the manuscript.
Funding
This research was funded by the National Key R&D Program of China (No. 2021YFB3600604), the National Natural Science Foundation of China (Grant No. 62174057, 62375057, 62074060 and 22090024), the Guangdong Natural Science Foundation (No. 2024A1515012216 and 2023A1515011026), the Educational Commission of Guangdong Province (Grant Nos. 2022ZDZX1002), the State Key Lab of Luminescent Materials and Devices (Skllmd-2024-05), the Southwest Institute of Technology and Engineering Cooperation Fund (HDHDW59A020301), the Science and Technology Program of Guangdong (Grant No. 2024A0505040026), the Guangdong Basic and Applied Basic Research Foundation (Grant No. 2022A1515140064, 2023B1515120046 and 2024A1515012019), the Science and Technology Program of Guangzhou (Grant No. 2023A03J0024), the Research Project of Guangzhou University (Grant No. ZH2023006), the CUI CAN Program of Guangdong Province (CC/XM-202401ZJ0201), the Guangdong Provincial Key Laboratory of Optical Information Materials and Technology (2023B1212060065), and the Key Laboratory of Optoelectronic Devices and Systems of the Ministry of Education and Guangdong Province.
Data Availability Statement
Data are contained within the article.
Conflicts of Interest
The authors declare no conflicts of interest.
References
- Kim, D.; Kim, Y.; Lee, S.; Kang, M.S.; Kim, D.H.; Lee, H. High Resolution a-IGZO TFT Pixel Circuit for Compensating Threshold Voltage Shifts and OLED Degradations. IEEE J. Electron Devices Soc. 2017, 5, 372–377. [Google Scholar] [CrossRef]
- Xu, W.Y.; Li, H.; Xu, J.B.; Wang, L. Recent Advances of Solution-Processed Metal Oxide Thin-Film Transistors. ACS Appl. Mater. Interfaces 2018, 10, 25878–25901. [Google Scholar] [CrossRef]
- Natu, K.; Laad, M.; Ghule, B.; Shalu, A. Transparent and flexible zinc oxide-based thin-film diodes and thin-film transistors: A review. J. Appl. Phys. 2023, 134, 27. [Google Scholar] [CrossRef]
- Zhang, G.M.; Xu, Y.C.; Haider, M.; Sun, J.; Zhang, D.K.; Yang, J.L. Printing flexible thin-film transistors. Appl. Phys. Rev. 2023, 10, 44. [Google Scholar] [CrossRef]
- Panca, A.; Panidi, J.; Faber, H.; Stathopoulos, S.; Anthopoulos, T.D.; Prodromakis, T. Flexible Oxide Thin Film Transistors, Memristors, and Their Integration. Adv. Funct. Mater. 2023, 33, 24. [Google Scholar] [CrossRef]
- Park, J.S.; Maeng, W.J.; Kim, H.S.; Park, J.S. Review of recent developments in amorphous oxide semiconductor thin-film transistor devices. Thin Solid Films 2012, 520, 1679–1693. [Google Scholar] [CrossRef]
- Yu, X.G.; Marks, T.J.; Facchetti, A. Metal oxides for optoelectronic applications. Nat. Mater. 2016, 15, 383–396. [Google Scholar] [CrossRef] [PubMed]
- Hu, K.; Guo, Z.; Wang, J.W.; Lu, C.Y.; Wang, M.L.; Wang, T.Y.; Liao, F.X.; Yang, G.H.; Lu, N.D.; Li, L. Tri-Layer Heterostructure Channel of a-IGZO/a-ITZO/a-IGZO Toward Enhancement of Transport and Reliability in Amorphous Oxide Semiconductor Thin Film Transistors. Adv. Electron. Mater. 2024, 9, 2400266. [Google Scholar] [CrossRef]
- Kim, J.; Bang, J.; Nakamura, N.; Hosono, H. Ultra-wide bandgap amorphous oxide semiconductors for NBIS-free thin-film transistors. APL Mater. 2019, 7, 4. [Google Scholar] [CrossRef]
- Wager, J.F.; Yeh, B.; Hoffman, R.L.; Keszler, D.A. An amorphous oxide semiconductor thin-film transistor route to oxide electronics. Curr. Opin. Solid State Mater. Sci. 2014, 18, 53–61. [Google Scholar] [CrossRef]
- Li, Y.; Zeng, X.; Ye, Q.; Yao, R.; Zhong, J.; Fu, X.; Yang, Y.; Li, M.; Ning, H.; Peng, J. Effect of oxygen defect on the performance of Nd: InZnO high mobility thin-film transistors. Surf. Interfaces 2022, 33, 102184. [Google Scholar] [CrossRef]
- Li, Y.; Yao, R.; Zhong, J.; Yang, Y.; Liang, Z.; Fu, Y.; Zeng, X.; Su, G.; Ning, H.; Peng, J. The Hump Phenomenon and Instability of Oxide TFT Were Eliminated by Interfacial Passivation and UV + Thermal Annealing Treatment. ACS Appl. Electron. Mater. 2023, 5, 4846–4862. [Google Scholar] [CrossRef]
- Han, Y.; Chen, Y.; Li, M.; Xu, H.; Xu, M.; Wang, L.; Peng, J. Abnormal Positive Shift of Threshold Voltage in Praseodymium-Doped InZnO-TFTs Under Negative Bias Illumination Temperature Stress. IEEE Trans. Electron Devices 2024, 71, 1951–1956. [Google Scholar] [CrossRef]
- He, P.; Xu, H.; Lan, L.; Deng, C.; Wu, Y.; Lin, Y.; Chen, S.; Ding, C.; Li, X.; Xu, M.; et al. The effect of charge transfer transition on the photostability of lanthanide-doped indium oxide thin-film transistors. Commun. Mater. 2021, 2, 86. [Google Scholar] [CrossRef]
- Kim, I.H.; Kim, S.J.; Kim, S.-J.; An, T.K.; Jeong, Y.J. The impact of nickel doping on metal-oxide network in solution-processed indium zinc oxide transistors. Mater. Today Commun. 2023, 35, 106221. [Google Scholar] [CrossRef]
- Tarsoly, G.; Lee, J.-Y.; Heo, K.-J.; Kim, S.-J. Doping of Indium Oxide Semiconductor Film Prepared Using an Environmentally Friendly Aqueous Solution Process with Sub-1% Molybdenum to Improve Device Performance and Stability. ACS Appl. Electron. Mater. 2023, 5, 4308–4315. [Google Scholar] [CrossRef]
- Xu, H.; Xu, M.; Li, M.; Chen, Z.; Zou, J.; Wu, W.; Qiao, X.; Tao, H.; Wang, L.; Ning, H.; et al. Trap-Assisted Enhanced Bias Illumination Stability of Oxide Thin Film Transistor by Praseodymium Doping. ACS Appl. Mater. Interfaces 2019, 11, 5232–5239. [Google Scholar] [CrossRef] [PubMed]
- Zhang, H.; Liang, L.; Wang, X.; Wu, Z.; Cao, H. Praseodymium-Doped In-Sn-Zn-O TFTs With Effective Improvement of Negative-Bias Illumination Stress Stability. IEEE Trans. Electron Devices 2022, 69, 152–155. [Google Scholar] [CrossRef]
- Zhang, K.; Yao, R.; Fu, X.; Cai, W.; Li, Y.; Xu, W.; Wu, Z.; Luo, C.; Ning, H.; Peng, J. UV irradiation assisted low-temperature process for thin film transistor performance improvement of praseodymium-doped indium zinc oxide. J. Phys. D Appl. Phys. 2023, 57, 7. [Google Scholar] [CrossRef]
- Zou, W.; Liang, Z.; Fu, X.; Ning, H.; Zeng, X.; Fu, Y.; Wang, H.; Luo, C.; Yao, R.; Peng, J. Improvement of PrIZO Thin Films by O2 Plasma Treatment Combined With Low-Temperature Annealing for Thin-Film Transistors. IEEE Trans. Electron Devices 2023, 70, 5672–5677. [Google Scholar] [CrossRef]
- Ide, K.; Nomura, K.; Hosono, H.; Kamiya, T. Electronic Defects in Amorphous Oxide Semiconductors: A Review. Phys. Status Solidi A-Appl. Mat. 2019, 216, 1800372. [Google Scholar] [CrossRef]
- Yuqing, Z.; Zhihe, X.; Jiapeng, L.; Yang, S.; Sisi, W.; Lei, L.; Shengdong, Z.; Hoi-Sing, K.; Man, W. Systematic Defect Manipulation in Metal Oxide Semiconductors towards High-Performance Thin-Film Transistors. In Proceedings of the 2020 4th IEEE Electron Devices Technology & Manufacturing Conference (EDTM), Penang, Malaysia, 6–21 April 2020. [Google Scholar] [CrossRef]
- Lee, H.; Jyothi, C.; Baang, S.; Kwon, J.H.; Bae, J.H. Influence of structural defects in solution-processed InZnO semiconductors on the electrical stability of thin-film transistors. J. Korean Phys. Soc. 2016, 69, 1688–1693. [Google Scholar] [CrossRef]
- Pi, T.T.; Xiao, D.Q.; Yang, H.; He, G.; Wu, X.H.; Liu, W.J.; Zhang, D.W.; Ding, S.J. High-Performance a-IGZO TFT Fabricated With Ultralow Thermal Budget via Microwave Annealing. IEEE Trans. Electron Devices 2022, 69, 156–159. [Google Scholar] [CrossRef]
- Kang, C.M.; Kim, H.; Oh, Y.W.; Baek, K.H.; Do, L.M. Pre-Annealing Effect for Low-Temperature, Solution-Processed Indium Oxide Thin-Film Transistors. J. Nanosci. Nanotechnol. 2017, 17, 3293–3297. [Google Scholar] [CrossRef]
- Tarsoly, G.; Lee, J.Y.; Kim, S.J. Improving the photoswitching performance of a transistor with amorphous metal oxide semiconductor thin film by a gradient annealing approach. Opt. Mater. 2024, 157, 6. [Google Scholar] [CrossRef]
- Rim, Y.S.; Jeong, W.; Ahn, B.D.; Kim, H.J. Defect reduction in photon-accelerated negative bias instability of InGaZnO thin-film transistors by high-pressure water vapor annealing. Appl. Phys. Lett. 2013, 102, 4. [Google Scholar] [CrossRef]
- Park, M.; Yoo, J.; Lee, H.; Song, H.; Kim, S.; Lim, S.; Park, S.; Jeong, J.H.; Kim, B.; Lee, K.; et al. Rapid Thermal Annealing under O2 Ambient to Recover the Deterioration by Gamma-Ray Irradiation in a-IGZO TFTs. Electron. Mater. Lett. 2024, 10, 1–8. [Google Scholar] [CrossRef]
- Xiao, R.B.; Cheng, J.; Lu, Z.Y.; Sun, Q.; Wang, X.; Fu, X.Y.; Gao, J.N. Impact of In-doping and post-annealing on the properties of SnO2 thin films deposited by magnetron sputtering. Phys. Scr. 2024, 99, 095937. [Google Scholar] [CrossRef]
- Li, M.; Lan, L.F.; Xu, M.; Xu, H.; Luo, D.X.; Xiao, P.; Peng, J.B. Performance improvement of oxide thin-film transistors with a two-step-annealing method. Solid-State Electron. 2014, 91, 9–12. [Google Scholar] [CrossRef]
- Lu, K.; Yao, R.; Wang, Y.; Ning, H.; Guo, D.; Liu, X.; Tao, R.; Xu, M.; Wang, L.; Peng, J. Effects of praseodymium doping on the electrical properties and aging effect of InZnO thin-film transistor. J. Mater. Sci. 2019, 54, 14778–14786. [Google Scholar] [CrossRef]
- Zhang, C.H.; Chen, Y.P.; Hou, C.Y.; Wang, G.; Zhang, Q.H.; Li, Y.G.; Wang, H.Z. Thermal-assisted brush printing of water-based In-Ga-Zn oxide transistors. J. Alloys Compd. 2021, 862, 158001. [Google Scholar] [CrossRef]
- Tang, H.; Lu, K.; Xu, Z.; Ning, H.; Yao, D.; Fu, X.; Yang, H.; Luo, D.; Yao, R.; Peng, J. Effect of Sputtering Oxygen Partial Pressure on the Praseodymium-Doped InZnO Thin Film Transistor Using Microwave Photoconductivity Decay Method. Micromachines 2021, 12, 1044. [Google Scholar] [CrossRef] [PubMed]
- Hu, M.Z.; Xu, L.; Zhang, X.N.; Hao, H.Y.; Zong, S.; Chen, H.M.; Song, Z.C.; Luo, S.J.; Zhu, Z.H. High mobility amorphous InSnO thin film transistors via low-temperature annealing. Appl. Phys. Lett. 2023, 122, 033503. [Google Scholar] [CrossRef]
- Peng, J.W.; Liu, P.C.; Lee, S. Reversible band gap tuning of metal oxide films using hydrogen and oxygen plasmas. Thin Solid Films 2013, 531, 81–87. [Google Scholar] [CrossRef]
- Ali, A.V.M.; Kekuda, D. Thickness and oxygen partial pressure dependence on optical band gap of indium oxide by reactive evaporation method. IOP Conf. Series: Mater. Sci. Eng. 2015, 73, 012027. [Google Scholar] [CrossRef]
- Yasuno, S.; Kita, T.; Morita, S.; Kugimiya, T.; Hayashi, K.; Sumie, S. Transient photoconductivity responses in amorphous In-Ga-Zn-O films. J. Appl. Phys. 2012, 112, 053715. [Google Scholar] [CrossRef]
- Chen, J.; Hu, S.; Ning, H.; Fang, Z.; Tao, R.; Zhou, Y.; Cai, W.; Liu, X.; Yao, R.; Peng, J. Evaluation of Nd–Al doped indium-zinc oxide thin-film transistors by a μ-PCD method. Semicond. Sci. Technol. 2019, 34, 055011. [Google Scholar] [CrossRef]
- Goto, H.; Tao, H.; Morita, S.; Takanashi, Y.; Hino, A.; Kishi, T.; Ochi, M.; Hayashi, K.; Kugimiya, T. In-line Process Monitoring for Amorphous Oxide Semiconductor TFT Fabrication using Microwave-detected Photoconductivity Decay Technique. IEICE Trans. Electron. 2014, E97.C, 1055–1062. [Google Scholar] [CrossRef]
- Cai, W.S.; Park, S.; Zhang, J.W.; Wilson, J.; Li, Y.P.; Xin, Q.; Majewski, L.; Song, A.M. One-Volt IGZO Thin-Film Transistors With Ultra-Thin, Solution-Processed AlxOy Gate Dielectric. IEEE Electron Device Lett. 2018, 39, 375–378. [Google Scholar] [CrossRef]
- Bang, J.; Matsuishi, S.; Hosono, H. Hydrogen anion and subgap states in amorphous In–Ga–Zn–O thin films for TFT applications. Appl. Phys. Lett. 2017, 110, 232105. [Google Scholar] [CrossRef]
- Sheng, J.; Jeong, H.-J.; Han, K.L.; Hong, T.H.; Park, J.S. Review of recent advances in flexible oxide semiconductor thin-film transistors. J. Inf. Disp. 2017, 18, 159–172. [Google Scholar] [CrossRef]
Disclaimer/Publisher’s Note: The statements, opinions and data contained in all publications are solely those of the individual author(s) and contributor(s) and not of MDPI and/or the editor(s). MDPI and/or the editor(s) disclaim responsibility for any injury to people or property resulting from any ideas, methods, instructions or products referred to in the content. |
© 2024 by the authors. Licensee MDPI, Basel, Switzerland. This article is an open access article distributed under the terms and conditions of the Creative Commons Attribution (CC BY) license (https://creativecommons.org/licenses/by/4.0/).









