A Review on Machining SiCp/Al Composite Materials
Abstract
1. Introduction
2. Machining Mechanism of SiCp/Al
3. Turning Machining of SiCp/Al
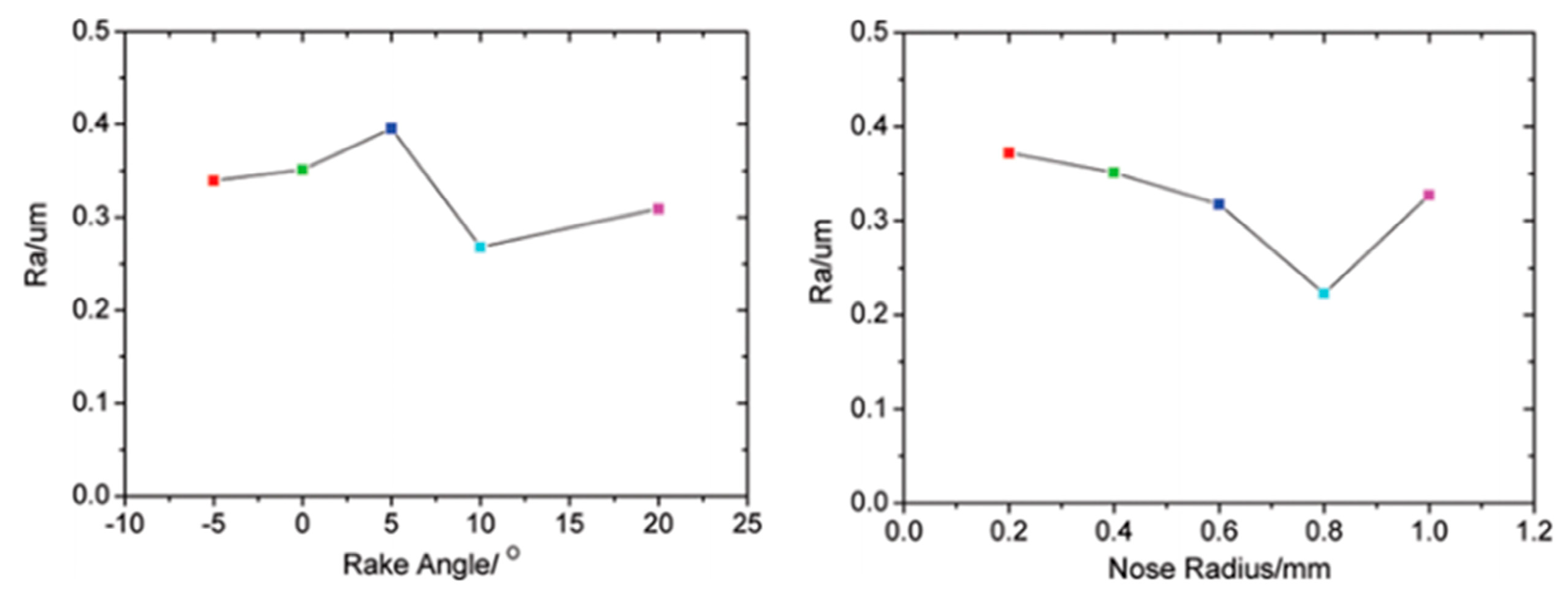
4. Milling Machining of SiCp/Al
5. Drilling Machining of SiCp/Al
6. Grinding Machining of SiCp/Al
7. Special Machining of SiCp/Al
8. Hybrid Machining of SiCp/Al
9. Conclusions
Author Contributions
Funding
Data Availability Statement
Conflicts of Interest
References
- Sahin, Y. Preparation and some properties of SiC particle reinforced aluminium alloy composites. Mater. Des. 2003, 24, 671–679. [Google Scholar] [CrossRef]
- Teti, R. Machining of composite materials. CIRP Ann. 2002, 51, 611–634. [Google Scholar] [CrossRef]
- Dandekar, C.R.; Shin, Y.C. Modeling of machining of composite materials: A review. Int. J. Mach. Tools Manuf. 2012, 57, 102–121. [Google Scholar] [CrossRef]
- Jiao, K.; Huang, S.; Xu, L.; Zhou, D. Feature classification of high-volume SiCp/Al composites under the condition of two-dimensional cutting based on cluster analysis theory. Int. J. Adv. Manuf. Technol. 2015, 78, 677–686. [Google Scholar] [CrossRef]
- Chen, J.; Gu, L.; He, G. A review on conventional and nonconventional machining of SiC particle-reinforced aluminium matrix composites. Adv. Manuf. 2020, 8, 279–315. [Google Scholar] [CrossRef]
- Chen, Y.; Zhang, X. Study on the cutting mechanism of SiCp/Al considering particle size and distribution. Int. J. Adv. Manuf. Technol. 2021, 115, 1211–1225. [Google Scholar] [CrossRef]
- Chen, X.; Xie, L.; Xue, X. Research on 3D milling simulation of SiCp/Al composite based on a phenomenological model. Int. J. Adv. Manuf. Technol. 2017, 92, 2715–2723. [Google Scholar] [CrossRef]
- Fan, Y.; Xu, Y.; Hao, Z.; Lin, J. Cutting deformation mechanism of SiCp/Al composites based on strain gradient theory. J. Mater. Process. Technol. 2022, 299, 117345. [Google Scholar] [CrossRef]
- Wang, Y.; Liao, W.; Yang, K.; Teng, X.; Chen, W. Simulation and experimental investigation on the cutting mechanism and surface generation in machining SiCp/Al MMCs. Int. J. Adv. Manuf. Technol. 2019, 100, 1393–1404. [Google Scholar] [CrossRef]
- Du, J.; Zhang, H.; He, W.; Ma, J.; Ming, W.; Cao, Y. Simulation and experimental study on surface formation mechanism in machining of SiCp/Al composites. Appl. Compos. Mater. 2019, 26, 29–40. [Google Scholar] [CrossRef]
- Zhou, J.; Lu, M.; Lin, J.; Zhou, X.; Du, Y.; Wang, C.; Diao, Y. Investigation and simulation based on mesoscopic model of SiCp/Al composites during precision machining: Deformation mechanism and surface quality. Int. J. Adv. Manuf. Technol. 2022, 119, 2173–2186. [Google Scholar] [CrossRef]
- Wang, B.; Xie, L.; Chen, X.; Wang, X. The milling simulation and experimental research on high volume fraction of SiCp/Al. Int. J. Adv. Manuf. Technol. 2016, 82, 809–816. [Google Scholar] [CrossRef]
- Zhang, H.J.; Li, J.G.; Du, J.G. Milling-Related Brittle Fracture Mechanisms of a SiCp/Al Composite. Strength Mater. 2020, 52, 81–89. [Google Scholar] [CrossRef]
- Song, M.; Huang, B. Effects of particle size on the fracture toughness of SiCp/Al alloy metal matrix composites. Mater. Sci. Eng. A 2008, 488, 601–607. [Google Scholar] [CrossRef]
- Song, M.; Xiao, D. Modeling the fracture toughness and tensile ductility of SiCp/Al metal matrix composites. Mater. Sci. Eng. A 2008, 474, 371–375. [Google Scholar] [CrossRef]
- Gao, X.; Zhang, X.; Geng, L. Strengthening and fracture behaviors in SiCp/Al composites with network particle distribution architecture. Mater. Sci. Eng. A 2019, 740, 353–362. [Google Scholar] [CrossRef]
- Shui, X.J.; Zhang, Y.D.; Wu, Q. Mesoscopic Model for SiCP/Al Composites and Simulation on the Cutting Process: Applied Mechanics and Materials; Trans Tech Publications Ltd.: Wollerau, Switzerland, 2014. [Google Scholar]
- Wang, T.; Xie, L.; Wang, X. Simulation study on defect formation mechanism of the machined surface in milling of high volume fraction SiCp/Al composite. Int. J. Adv. Manuf. Technol. 2015, 79, 1185–1194. [Google Scholar] [CrossRef]
- Yin, W.; Duan, C.; Li, Y.; Miao, K. Modelling of tool flank−workpiece interface friction considering temperature gradient and particle property for cutting SiCp/Al composites. J. Mater. Process. Technol. 2019, 298, 117302. [Google Scholar] [CrossRef]
- Jiao, K.R.; Huang, S.T.; Xu, L.F.; Zhou, L. Simulation of High Speed Milling of SiCp/Al Metal Matrix Composites Based on Deform: Key Engineering Materials; Trans Tech Publications Ltd.: Wollerau, Switzerland, 2014. [Google Scholar]
- Liu, J.; Cheng, K.; Ding, H.; Chen, S.; Zhao, L. An investigation of surface defect formation in micro milling the 45% SiCp/Al composite. Procedia CIRP 2016, 45, 211–214. [Google Scholar] [CrossRef]
- Liu, J.; Cheng, K.; Ding, H.; Chen, S.; Zhao, L. Simulation study of the influence of cutting speed and tool–particle interaction location on surface formation mechanism in micromachining SiCp/Al composites. Proc. Inst. Mech. Eng. Part C J. Mech. Eng. Sci. 2018, 232, 2044–2056. [Google Scholar] [CrossRef]
- Lu, S.; Li, Z.; Zhang, J.; Zhang, J.; Wang, X.; Yan, Y.; Sun, T. Finite element investigation of the influence of SiC particle distribution on diamond cutting of SiCp/Al composites. Nanomanufacturing Metrol. 2020, 3, 251–259. [Google Scholar] [CrossRef]
- Lu, S.; Li, Z.; Zhang, J.; Zhang, C.; Li, G.; Zhang, H.; Sun, T. Coupled effect of tool geometry and tool-particle position on diamond cutting of SiCp/Al. J. Mater. Process. Technol. 2022, 303, 117510. [Google Scholar] [CrossRef]
- Laghari, R.A.; Li, J.; Wu, Y. Study of machining process of sicp/al particle reinforced metal matrix composite using finite element analysis and experimental verification. Materials 2020, 13, 5524. [Google Scholar] [CrossRef] [PubMed]
- Zhao, X.; Gong, Y.; Cai, M.; Han, B. Comparative multiscale investigations of material removal behaviors of SiCp/5083Al, SiC ceramic and 5083Al alloy by single scratch tests. Mater. Res. Express 2020, 7, 106514. [Google Scholar] [CrossRef]
- Yan, C.; Zhang, L. Single-point scratching of 6061 Al alloy reinforced by different ceramic particles. Appl. Compos. Mater. 1994, 1, 431–447. [Google Scholar] [CrossRef]
- Zhao, X.; Gong, Y.; Cai, M.; Han, B. Numerical and experimental analysis of material removal and surface defect mechanism in scratch tests of high volume fraction SiCp/Al composites. Materials 2020, 13, 796. [Google Scholar] [CrossRef]
- Xiang, D.; Liu, G.; Peng, P.; Zhang, Z. Micro-removal characteristics of SiCp/Al by ultrasonic vibration-assisted scratch. Mater. Manuf. Process. 2022, 37, 1829–1836. [Google Scholar] [CrossRef]
- Feng, P.; Liang, G.; Zhang, J. Ultrasonic vibration-assisted scratch characteristics of silicon carbide-reinforced aluminum matrix composites. Ceram. Int. 2014, 40, 10817–10823. [Google Scholar] [CrossRef]
- Zheng, W.; Wang, Y.; Zhou, M.; Wang, Q.; Ling, L. Material deformation and removal mechanism of SiCp/Al composites in ultrasonic vibration assisted scratch test. Ceram. Int. 2018, 44, 15133–15144. [Google Scholar] [CrossRef]
- Zhou, J.; Lu, M.; Lin, J.; Wei, W. On understanding the cutting mechanism of SiCp/Al composites during ultrasonic elliptical vibration-assisted machining. J. Mater. Res. Technol. 2023, 27, 4116–4129. [Google Scholar] [CrossRef]
- Li, Q.; Yuan, S.; Gao, X.; Zhang, Z.; Chen, B.; Li, Z.; Andre, D.L. Batako. Surface and subsurface formation mechanism of SiCp/Al composites under ultrasonic scratching. Ceram. Int. 2023, 49, 817–833. [Google Scholar] [CrossRef]
- Qiao, G.; Yi, S.; Zheng, W.; Zhou, M. Material removal behavior and crack-inhibiting effect in ultrasonic vibration-assisted scratching of silicon nitride ceramics. Ceram. Int. 2022, 48, 4341–4351. [Google Scholar] [CrossRef]
- Li, Z.; Yuan, S.; Ma, J.; Shen, J.; Andre, D.L. Batako. Study on the surface formation mechanism in scratching test with different ultrasonic vibration forms. J. Mater. Process. Technol. 2021, 294, 117108. [Google Scholar] [CrossRef]
- Muthukrishnan, N.; Murugan, M.; Rao, K.P. An investigation on the machinability of Al-SiC metal matrix composites using pcd inserts. Int. J. Adv. Manuf. Technol. 2008, 38, 447–454. [Google Scholar] [CrossRef]
- Liu, X.; Wang, W.; Jiang, R.; Xiong, Y.; Lin, K. Tool wear mechanisms in axial ultrasonic vibration assisted milling in-situ TiB 2/7050Al metal matrix composites. Adv. Manuf. 2020, 8, 252–264. [Google Scholar] [CrossRef]
- Hooper, R.M.; Henshall, J.L.; Klopfer, A. The wear of polycrystalline diamond tools used in the cutting of metal matrix composites. Int. J. Refract. Met. Hard Mater. 1999, 17, 103–109. [Google Scholar] [CrossRef]
- Chou, Y.K.; Liu, J. CVD diamond tool performance in metal matrix composite machining. Surf. Coat. Technol. 2005, 200, 1872–1878. [Google Scholar] [CrossRef]
- Das, D.; Chaubey, A.K.; Nayak, B.B.; Mishra, P.C.; Samal, C. Investigation on cutting tool wear in turning Al 7075/SiCp metal matrix composite. In IOP Conference Series: Materials Science and Engineering; IOP Publishing: Bristol, UK, 2018. [Google Scholar]
- Sahin, Y. The effects of various multilayer ceramic coatings on the wear of carbide cutting tools when machining metal matrix composites. Surf. Coat. Technol. 2005, 199, 112–117. [Google Scholar] [CrossRef]
- Ciftci, I.; Turker, M.; Seker, U. CBN cutting tool wear during machining of particulate reinforced MMCs. Wear 2004, 257, 1041–1046. [Google Scholar] [CrossRef]
- Durante, S.; Rutelli, G.; Rabezzana, F. Aluminum-based MMC machining with diamond-coated cutting tools. Surf. Coat. Technol. 1997, 94, 632–640. [Google Scholar] [CrossRef]
- KILIÇKAP, E.; Cakir, O.; AKSOY, M.; iNAN, A. Study of tool wear and surface roughness in machining of homogenised SiC-p reinforced aluminium metal matrix composite. J. Mater. Process. Technol. 2005, 164, 862–867. [Google Scholar] [CrossRef]
- Yousefi, R.; Kouchakzadeh, M.A.; Rahiminasab, J.; Kadivar, M.A. The Influence of SiC Particles on Tool Wear in Machining of Al/Sic Metal Matrix Composites Produced by Powder Extrusion: Advanced Materials Research; Trans Tech Publications Ltd.: Wollerau, Switzerland, 2011. [Google Scholar]
- Laghari, R.A.; Li, J.; Laghari, A.A.; Mia, M.; Wang, S.; Alibo, W.; Poonam, K.K. Carbide tool life prediction and modeling in SiCp/Al turning process via artificial neural network approach. In IOP Conference Series: Materials Science and Engineering; IOP Publishing: Bristol, UK, 2019. [Google Scholar]
- Das, D.; Pradhan, S.K.; Sahoo, A.K.; Panda, A.; Satpathy, M.P.; Samal, C. Tool wear and cutting force investigations during turning 15 wt% SiCp-Al 7075 metal matrix composite. Mater. Today Proc. 2020, 26, 854–859. [Google Scholar] [CrossRef]
- Zare Chavoshi, S. Tool flank wear prediction in CNC turning of 7075 AL alloy SiC composite. Prod. Eng. 2011, 5, 37–47. [Google Scholar] [CrossRef]
- Laghari, R.A.; Li, J.; Mia, M. Effects of turning parameters and parametric optimization of the cutting forces in machining SiCp/Al 45 wt% composite. Metals 2020, 10, 840. [Google Scholar] [CrossRef]
- Laghari, R.A.; Li, J. Modeling and optimization of cutting forces and effect of turning parameters on SiCp/Al 45% vs SiCp/Al 50% metal matrix composites: A comparative study. SN Appl. Sci. 2021, 3, 1–22. [Google Scholar] [CrossRef]
- Bhushan, R.K. Multiresponse optimization of Al alloy-SiC composite machining parameters for minimum tool wear and maximum metal removal rate. J. Manuf. Sci. Eng. 2013, 135, 021013. [Google Scholar] [CrossRef]
- Wang, Y.; Liao, W.; Yang, K.; Chen, W.; Liu, T. Investigation on cutting mechanism of SiCp/Al composites in precision turning. Int. J. Adv. Manuf. Technol. 2019, 100, 963–972. [Google Scholar] [CrossRef]
- Dong, G.; Zhang, H.; Zhou, M.; Zhang, Y. Experimental investigation on ultrasonic vibration-assisted turning of SiCp/Al composites. Mater. Manuf. Process. 2013, 28, 999–1002. [Google Scholar] [CrossRef]
- Liu, C.; Gao, L.; Jiang, X.; Xu, W.; Liu, S.; Yang, T. Analytical modeling of subsurface damage depth in machining of SiCp/Al composites. Int. J. Mech. Sci. 2020, 185, 105874. [Google Scholar] [CrossRef]
- Wang, J.; Zuo, J.; Shang, Z.; Fan, X. Modeling of cutting force prediction in machining high-volume SiCp/Al composites. Appl. Math. Model. 2019, 70, 1–17. [Google Scholar] [CrossRef]
- Ge, Y.F.; Xu, J.H.; Fu, Y.C. Surface Generation and Chip Formation When Ultra-Precision Turning of SiCp/Al Composites: Advanced Materials Research; Trans Tech Publications Ltd.: Wollerau, Switzerland, 2010. [Google Scholar]
- Ge, Y.F.; Xu, J.H.; Yang, H.; Luo, S.B.; Fu, Y.C. Workpiece surface quality when ultra-precision turning of SiCp/Al composites. J. Mater. Process. Technol. 2008, 203, 166–175. [Google Scholar] [CrossRef]
- Ge, Y.F.; Xu, J.H.; Yang, H.; Luo, S.B.; Fu, Y.C. Machining Induced Defects and the Influence Factors When Diamond Turning of SiCp/Al Composites: Applied Mechanics and Materials; Trans Tech Publications Ltd.: Wollerau, Switzerland, 2008. [Google Scholar]
- Ge, Y.F.; Xu, J.H. Diamond Tool Wear Mechanism in Ultra-Precision Turning of SiCp/Al Composites: Key Engineering Materials; Trans Tech Publications Ltd.: Wollerau, Switzerland, 2010. [Google Scholar]
- Lu, S.; Zhang, J.; Li, Z.; Zhang, J.; Wang, X.; Hartmaier, A.; Xu, J.; Yan, Y.; Sun, T. Cutting path-dependent machinability of SiCp/Al composite under multi-step ultra-precision diamond cutting. Chin. J. Aeronaut. 2021, 34, 241–252. [Google Scholar] [CrossRef]
- Huo, D. Micro-Cutting: Fundamentals and Applications; John Wiley & Sons: Hoboken, NJ, USA, 2013. [Google Scholar]
- Dornfeld, D.; Min, S.; Takeuchi, Y. Recent advances in mechanical micromachining. CIRP Ann. 2006, 55, 745–768. [Google Scholar] [CrossRef]
- Miao, J.C.; Chen, G.L.; Lai, X.M.; Li, H.T.; Li, C.F. Review of dynamic issues in micro-end-milling. Int. J. Adv. Manuf. Technol. 2007, 31, 897–904. [Google Scholar] [CrossRef]
- Cheng, K. Machining Dynamics: Fundamentals, Applications and Practices; Springer Science & Business Media: Berlin/Heidelberg, Germany, 2008. [Google Scholar]
- Huang, S.T.; Zhou, L. Evaluation of Tool Wear When Milling SiCp/Al Composites: Key Engineering Materials; Trans Tech Publications Ltd.: Wollerau, Switzerland, 2011. [Google Scholar]
- Huang, S.T.; Zhou, L.; Yu, X.L.; Cui, Y. Experimental study of high-speed milling of SiCp/Al composites with PCD tools. Int. J. Adv. Manuf. Technol. 2012, 62, 487–493. [Google Scholar] [CrossRef]
- Yang, Y.; Wu, Q.; Zhan, Z.; Li, L.; He, N.; Shrestha, R. An experimental study on milling of high-volume fraction SiCP/Al composites with PCD tools of different grain size. Int. J. Adv. Manuf. Technol. 2015, 79, 1699–1705. [Google Scholar] [CrossRef]
- Huang, S.; Guo, L.; He, H.; Yang, H.; Su, Y.; Xu, L. Experimental study on SiCp/Al composites with different volume fractions in high-speed milling with PCD tools. Int. J. Adv. Manuf. Technol. 2018, 97, 2731–2739. [Google Scholar] [CrossRef]
- Huang, S.; Guo, L.; He, H.; Xu, L. Study on characteristics of SiCp/Al composites during high-speed milling with different particle size of PCD tools. Int. J. Adv. Manuf. Technol. 2018, 95, 2269–2279. [Google Scholar] [CrossRef]
- Huang, S.; Guo, L.; Yang, H.; Su, Y.; Xu, L. Study on characteristics in high-speed milling SiCp/Al composites with small particles and high volume fraction by adopting PCD cutters with different grain sizes. Int. J. Adv. Manuf. Technol. 2019, 102, 3563–3571. [Google Scholar] [CrossRef]
- Wang, T.; Xie, L.; Wang, X.; Ding, Z. PCD tool performance in high-speed milling of high volume fraction SiCp/Al composites. Int. J. Adv. Manuf. Technol. 2015, 78, 1445–1453. [Google Scholar] [CrossRef]
- Wu, Q.; Li, L.; Bian, R.; Shi, Z.; He, N. Experimental Study on Precision Milling of High Volume Fraction SiCP/Al Composites with PCD End Mills: Materials Science Forum; Trans Tech Publications Ltd.: Wollerau, Switzerland, 2014. [Google Scholar]
- Deng, B.; Peng, F.; Zhou, L.; Wang, H.; Yang, M.; Yan, R. A comprehensive study on flank wear progression of polycrystalline diamond micro-tool during micro end-milling of SiCp/Al composites. Wear 2020, 456, 203291. [Google Scholar] [CrossRef]
- Han, J.; Hao, X.; Li, L.; Wu, Q.; He, N. Milling of high volume fraction SiCp/Al composites using PCD tools with different structures of tool edges and grain sizes. Int. J. Adv. Manuf. Technol. 2017, 92, 1875–1882. [Google Scholar] [CrossRef]
- Peng, S.; Xie, L.J.; Wang, X.B.; Fu, N.X.; Shi, X.K. Investigation on the Cutting Force of High-Speed Milling of High Volume Fraction of SiCp/Al Composites with PCD Tools: Advanced Materials Research; Trans Tech Publications Ltd.: Wollerau, Switzerland, 2014. [Google Scholar]
- Ge, Y.F.; Xu, J.H.; Fu, Y.C. Cutting Forces When High-Speed Milling of SiCP/Al Composites: Advanced Materials Research; Trans Tech Publications Ltd.: Wollerau, Switzerland, 2011. [Google Scholar]
- Ge, Y.F.; Xu, J.H.; Fu, Y.C. Cutting Temperature Investigation When High-Speed Milling of SiCP/Al Composites: Materials Science Forum; Trans Tech Publications Ltd.: Wollerau, Switzerland, 2012. [Google Scholar]
- Ge, Y.F.; Xu, J.H.; Fu, Y.C. Experimental Study on High-Speed Milling of SiCp/Al Composites: Advanced Materials Research; Trans Tech Publications Ltd.: Wollerau, Switzerland, 2011. [Google Scholar]
- Dong, G.J.; Zhang, Y.J.; Zhou, M.; Wang, Y.J. The Research of Effect of Cutting Parameters on Machined Surface Defects in High-Speed Milling of SiCp/Al Composites: Key Engineering Materials; Trans Tech Publications Ltd.: Wollerau, Switzerland, 2014. [Google Scholar]
- Li, M.; Wang, Z.; Li, W.; Yang, X. Modeling and experimental study on tool-particle interaction and surface integrity in milling SiCp/Al metal matrix composites. Proc. Inst. Mech. Eng. Part B J. Eng. Manuf. 2022, 236, 1535–1550. [Google Scholar] [CrossRef]
- Bian, R.; He, N.; Li, L.; Zhan, Z.B.; Wu, Q.; Shi, Z.Y. Precision milling of high volume fraction SiCp/Al composites with monocrystalline diamond end mill. Int. J. Adv. Manuf. Technol. 2014, 71, 411–419. [Google Scholar] [CrossRef]
- Niu, Q.; Jing, L.; Li, C.; Yu, Z.; Li, S.; Li, P.; Qiu, X.; Ko, T.; Yue, W. Study on effects of tool nose radius on the formation mechanism of edge defects during milling SiCp/Al composites. Int. J. Adv. Manuf. Technol. 2021, 114, 2261–2269. [Google Scholar] [CrossRef]
- Jiao, K.R.; Huang, S.T.; Xu, L.F. Experimental Study on Surface Quality at Different Milling Speed of High Volume Fraction SiCp/Al Thin Walled Test-Piece: Materials Science Forum; Trans Tech Publications Ltd.: Wollerau, Switzerland, 2014. [Google Scholar]
- Liu, Y.; Huang, S.; Jiao, K.; Xu, L. Experimental study on cutting parameters and machining paths of SiCp/Al composite thin-walled workpieces. Adv. Compos. Lett. 2020, 29, 2633366X20942529. [Google Scholar] [CrossRef]
- Liu, Y.N.; Huang, S.T.; Zhou, L.; Xu, L.F. Three-Dimensional Finite Element Simulation Analysis of Cutting Force of SiCp/Al Composite Thin-Walled Parts: Key Engineering Materials; Trans Tech Publications Ltd.: Wollerau, Switzerland, 2014. [Google Scholar]
- Tomadi, S.H.; Ghani, J.A.; Haron, C.C.; Ayu, H.M.; Daud, R. Effect of cutting parameters on surface roughness in end milling of AlSi/AlN metal matrix composite. Procedia Eng. 2017, 184, 58–69. [Google Scholar] [CrossRef]
- Karabulut, Ş. Optimization of surface roughness and cutting force during AA7039/Al2O3 metal matrix composites milling using neural networks and Taguchi method. Measurement 2015, 66, 139–149. [Google Scholar] [CrossRef]
- Bhushan, R.K.; Kumar, S.; Das, S. GA approach for optimization of surface roughness parameters in machining of Al alloy SiC particle composite. J. Mater. Eng. Perform. 2012, 21, 1676–1686. [Google Scholar] [CrossRef]
- Karabulut, S.; Karakoç, H. Investigation of surface roughness in the milling of Al7075 and open-cell SiC foam composite and optimization of machining parameters. Neural Comput. Appl. 2017, 28, 313–327. [Google Scholar] [CrossRef]
- Zhang, K.; Gao, Q.; Wang, Q.; Chen, Y.; Cui, T.; Yin, X. Study on the milling surface quality of 20% volume fraction SiCp/Al composites. Int. J. Adv. Manuf. Technol. 2022, 122, 1555–1566. [Google Scholar] [CrossRef]
- Liu, J.; Cheng, K.; Ding, H.; Chen, S. Realization of ductile regime machining in micro-milling SiCp/Al composites and selection of cutting parameters. Proc. Inst. Mech.Eng. Part C J. Mech. Eng. Sci. 2019, 233, 4336–4347. [Google Scholar] [CrossRef]
- Liu, J.; Cheng, K.; Ding, H.; Chen, S.; Zhao, L. An investigation of the influence of phases’ removal ways on surface quality in micro milling SiCp/Al composites. Procedia CIRP 2018, 71, 59–64. [Google Scholar] [CrossRef]
- Jayakumar, K.; Mathew, J.; Joseph, M.A.; Kumar, R.S.; Chakravarthy, P. Processing and End Milling Behavioural Study of A356-SiCp Composite: Materials Science Forum; Trans Tech Publications Ltd.: Wollerau, Switzerland, 2012. [Google Scholar]
- Vargas, A.; Nguyen, T.; Liu, J. Machinability Study on SiC Particle Reinforced Aluminum Alloy Composite (SiCp/Al) Material with CVD Diamond Coated End Mills: ASME International Mechanical Engineering Congress and Exposition; American Society of Mechanical Engineers: New York, NY, USA, 2017. [Google Scholar]
- Cui, Y.; Gao, S.; Wang, F.; Hu, Q.; Xu, C.; Xu, F. Study on the High-Speed Milling Performance of High-Volume Fraction SiCp/Al Composites. Materials 2021, 14, 4143. [Google Scholar] [CrossRef]
- Ekici, E.; Samtaş, G.; Gülesin, M. Experimental and statistical investigation of the machinability of Al-10% SiC MMC produced by hot pressing method. Arab. J. Sci. Eng. 2014, 39, 3289–3298. [Google Scholar] [CrossRef]
- Jin, P.; Gao, Q.; Wang, Q.; Li, W. Micro-milling mechanism and surface roughness of high volume fraction SiCp/Al composites. Int. J. Adv. Manuf. Technol. 2021, 115, 91–104. [Google Scholar] [CrossRef]
- Wang, T.; Xie, L.; Wang, X.; Shang, T. 2D and 3D milled surface roughness of high volume fraction SiCp/Al composites. Def. Technol. 2015, 11, 104–109. [Google Scholar] [CrossRef]
- Wang, Y.J.; Zhou, M.; Zhao, Y.H. The Study on Three-Dimensional Roughness of Machined Surface in High Speed Milling of SiCp/Al Composites: Advanced Materials Research; Trans Tech Publications Ltd.: Wollerau, Switzerland, 2011. [Google Scholar]
- Wang, Y.; Zhou, M.; Zhao, Y. Characterisation of surface micro-topography by power spectral density in high speed precision planar milling of SiCp/Al composite. Int. J. Nanomanufacturing 2011, 7, 436–447. [Google Scholar] [CrossRef]
- Wang, Y.; Huang, H.; Chen, L.; Sun, L. Choice of reference surfaces for machined surface roughness in milling of SiCp/Al composites. J. Cent. South. Univ. 2014, 21, 4150–4156. [Google Scholar] [CrossRef]
- Liu, J.; Cheng, K.; Ding, H.; Chen, S. An investigation of influence of cutting parameters on three-dimensional surface topography in micromilling SiCp/Al composites. Proc. Inst. Mech. Eng. Part B J. Eng. Manuf. 2021, 235, 829–838. [Google Scholar] [CrossRef]
- Huang, S.T.; Zhou, L.; Chen, J.; Xu, L.F. Drilling of SiCp/Al metal matrix composites with polycrystalline diamond (PCD) tools. Mater. Manuf. Process. 2012, 27, 1090–1094. [Google Scholar] [CrossRef]
- Chang, L.; Weiwei, X.; Yan, J.; Xiaogeng, J.; Tao, Y. Mechanistic force modeling in drilling of SiCp/Al matrix composites considering a comprehensive abrasive particle model. Int. J. Adv. Manuf. Technol. 2020, 109, 421–442. [Google Scholar] [CrossRef]
- Zhu, C.; Wu, Y.; Gu, P.; Tao, Z.; Yu, Y. Prediction of drilling force for high volume fraction SiCp/Al composite based on neural network. Procedia CIRP 2021, 99, 414–419. [Google Scholar] [CrossRef]
- Rajmohan, T.; Palanikumar, K. Optimization of machining parameters for multi-performance characteristics in drilling hybrid metal matrix composites. J. Compos. Mater. 2012, 46, 869–878. [Google Scholar] [CrossRef]
- Davim, J.P.; Antonio, C.C. Optimal drilling of particulate metal matrix composites based on experimental and numerical procedures. Int. J. Mach. Tools Manuf. 2001, 41, 21–31. [Google Scholar] [CrossRef]
- Basavarajappa, S.; Chandramohan, G.; Davim, J.P. Some studies on drilling of hybrid metal matrix composites based on Taguchi techniques. J. Mater. Process. Technol. 2008, 196, 332–338. [Google Scholar] [CrossRef]
- Taşkesen, A.; Kütükde, K. Experimental investigation and multi-objective analysis on drilling of boron carbide reinforced metal matrix composites using grey relational analysis. Measurement 2014, 47, 321–330. [Google Scholar] [CrossRef]
- Huang, S.; Li, C.; Xu, L.; Guo, L.; Yu, X. Variation characteristic of drilling force and influence of cutting parameter of SiCp/Al composite thin-walled workpiece. Adv. Manuf. 2019, 7, 288–302. [Google Scholar] [CrossRef]
- Ramulu, M.; Rao, P.N.; Kao, H. Drilling of (Al2O3) p/6061 metal matrix composites. J. Mater. Process. Technol. 2002, 124, 244–254. [Google Scholar] [CrossRef]
- Chen, X.; Xie, L.; Nan, X.; Tian, J.; Zhao, W. Experimental study on small-hole drilling characteristics of SiCp/Al composites. Procedia CIRP 2016, 46, 319–322. [Google Scholar] [CrossRef]
- Xiang, J.; Pang, S.; Xie, L.; Gao, F.; Hu, X.; Yi, J.; Hu, F. Mechanism-based FE simulation of tool wear in diamond drilling of SiCp/Al composites. Materials 2018, 11, 252. [Google Scholar] [CrossRef]
- Tosun, G.; Muratoglu, M. The drilling of an Al/SiCp metal-matrix composites. Part I: Microstructure. Compos. Sci. Technol. 2004, 64, 299–308. [Google Scholar] [CrossRef]
- Ficici, F. Evaluation of surface roughness in drilling particle-reinforced composites. Adv. Compos. Lett. 2020, 29, 2633366X20937711. [Google Scholar] [CrossRef]
- Tosun, G.; Muratoglu, M. The drilling of Al/SiCp metal–matrix composites. Part II: Workpiece surface integrity. Compos. Sci. Technol. 2004, 64, 1413–1418. [Google Scholar] [CrossRef]
- Liu, C.; Li, C.; Xu, W.; Gao, L. Variation characteristics of machinability in drilling of SiC particle reinforced aluminum matrix (SiCp/Al) composite with a wide range of particle volume fractions. Int. J. Adv. Manuf. Technol. 2022, 121, 6285–6302. [Google Scholar] [CrossRef]
- Zhou, L.; Huang, S.T.; Bai, D.S.; Xu, L.F. Drilling of SiCp/Al Composites with Electroplating Diamond Drills: Materials Science Forum; Trans Tech Publications Ltd.: Wollerau, Switzerland, 2012. [Google Scholar]
- Ronald, B.A.; Vijayaraghavan, L.; Krishnamurthy, R. Studies on the influence of grinding wheel bond material on the grindability of metal matrix composites. Mater. Des. 2009, 30, 679–686. [Google Scholar] [CrossRef]
- Kwak, J.S.; Kim, Y.S. Mechanical properties and grinding performance on aluminum-based metal matrix composites. J. Mater. Process. Technol. 2008, 201, 596–600. [Google Scholar] [CrossRef]
- Zhong, Z.; Hung, N.P. Grinding of alumina/aluminum composites. J. Mater. Process. Technol. 2002, 123, 13–17. [Google Scholar] [CrossRef]
- Sahin, Y.; Kilicli, V. Abrasive wear behaviour of SiCp/Al alloy composite in comparison with ausferritic ductile iron. Wear 2011, 271, 2766–2774. [Google Scholar] [CrossRef]
- Yin, G.; Gong, Y.; Li, Y.; Song, J.; Zhou, Y. Modeling and evaluation in grinding of SiCp/Al composites with single diamond grain. Int. J. Mech. Sci. 2019, 163, 105137. [Google Scholar] [CrossRef]
- Zhou, L.; Huang, S.T.; Yu, X.L. Experimental study of grinding characteristics on SiCp/Al composites. In Key Engineering Materials; Trans Tech Publications Ltd.: Wollerau, Switzerland, 2011. [Google Scholar]
- Du, J.; Zhou, L.; Li, J.; Yao, Y. Analysis of chip formation mechanism in mill-grinding of SiCp/Al composites. Mater. Manuf. Process. 2014, 29, 1353–1360. [Google Scholar] [CrossRef]
- Du, J.; Li, J.; Yao, Y.; Hao, Z. Prediction of cutting forces in mill-grinding SiCp/Al composites. Mater. Manuf. Process. 2014, 29, 314–320. [Google Scholar] [CrossRef]
- Bao, Y.; Zhang, X.; Lu, S.; Zhang, H. Investigation on the removal characteristics of single-point cutting high-volume fraction SiCp/Al composites. Int. J. Adv. Manuf. Technol. 2022, 118, 881–894. [Google Scholar] [CrossRef]
- Du, J.; Ming, W.; Cao, Y.; Ma, J.; He, W.; Li, X. Particle removal mechanism of high volume fraction SiCp/Al composites by single diamond grit tool. Journal of Wuhan University of Technology-Mater. Sci. Ed. 2019, 34, 324–331. [Google Scholar]
- Di Ilio, A.; Paoletti, A. A comparison between conventional abrasives and superabrasives in grinding of SiC-aluminium composites. Int. J. Mach. Tools Manuf. 2000, 40, 173–184. [Google Scholar] [CrossRef]
- Lim, H.S.; Fathima, K.; Kumar, A.S.; Rahman, M. A fundamental study on the mechanism of electrolytic in-process dressing (ELID) grinding. Int. J. Mach. Tools Manuf. 2002, 42, 935–943. [Google Scholar] [CrossRef]
- Fathima, K.; Kumar, A.S.; Rahman, M.; Lim, H.S. A study on wear mechanism and wear reduction strategies in grinding wheels used for ELID grinding. Wear 2003, 254, 1247–1255. [Google Scholar] [CrossRef]
- Fathima, K.; Rahman, M.; Senthil Kumar, A.; Lim, H.S. Modeling of ultra-precision ELID grinding. J. Manuf. Sci. Eng. 2007, 129, 296–302. [Google Scholar] [CrossRef]
- Ohmori, H.; Nakagawa, T. Analysis of mirror surface generation of hard and brittle materials by ELID (electronic in-process dressing) grinding with superfine grain metallic bond wheels. CIRP Ann. 1995, 44, 287–290. [Google Scholar] [CrossRef]
- Yu, X.; Huang, S.; Xu, L. ELID grinding characteristics of SiCp/Al composites. Int. J. Adv. Manuf. Technol. 2016, 86, 1165–1171. [Google Scholar] [CrossRef]
- Shanawaz, A.M.; Sundaram, S.; Pillai, U.; Aurtherson, P.B. Grinding of aluminium silicon carbide metal matrix composite materials by electrolytic in-process dressing grinding. Int. J. Adv. Manuf. Technol. 2011, 57, 143–150. [Google Scholar] [CrossRef]
- Guan, J.L.; Zhu, L.; Chen, L.; Ma, X.Q.; Zhang, X. H. Research on ELID Grinding Efficient Surface Forming Mechanism of SiCp/Al Composites: Advanced Materials Research; Trans Tech Publications Ltd.: Wollerau, Switzerland, 2014. [Google Scholar]
- Huang, S.; Yu, X. A study of grinding forces of SiCp/Al composites. Int. J. Adv. Manuf. Technol. 2018, 94, 3633–3639. [Google Scholar] [CrossRef]
- Zhou, L.; Huang, S.; Yu, X. Machining characteristics in cryogenic grinding of SiCp/Al composites. Acta Metall. Sin. (Engl. Lett.) 2014, 27, 869–874. [Google Scholar] [CrossRef]
- Gao, Q.; Guo, G.; Wang, Q. Study on micro-grinding mechanism and surface quality of high-volume fraction SiCp/Al composites. J. Mech. Sci. Technol. 2021, 35, 2885–2894. [Google Scholar] [CrossRef]
- Gu, P.; Zhu, C.; Tao, Z.; Yu, Y. A grinding force prediction model for SiCp/Al composite based on single-abrasive-grain grinding. Int. J. Adv. Manuf. Technol. 2020, 109, 1563–1581. [Google Scholar] [CrossRef]
- Li, J.; Du, J.; Yao, Y.; Hao, Z.; Liu, X. Experimental study of machinability in mill-grinding of SiCp/Al composites. Journal of Wuhan University of Technology-Mater. Sci. Ed. 2014, 29, 1104–1110. [Google Scholar]
- Yao, Y.X.; Du, J.G.; Li, J.G.; Zhao, H. Surface Quality Analysis in Mill-Grinding of SiCp/Al: Advanced Materials Research; Trans Tech Publications Ltd.: Wollerau, Switzerland, 2011. [Google Scholar]
- Zhao, X.; Gong, Y.; Liang, G.; Cai, M.; Han, B. Face grinding surface quality of high volume fraction SiCp/Al composite materials. Chin. J. Mech. Eng. 2021, 34, 3. [Google Scholar] [CrossRef]
- Xu, L.F.; Zhou, L.; Yu, X.L.; Huang, S.T. An Experimental Study on Grinding of SiC/Al Composites: Advanced Materials Research; Trans Tech Publications Ltd.: Wollerau, Switzerland, 2011. [Google Scholar]
- Zhang, C.Y.; Zhou, L.; Huang, S.T. Finite Element Simulation of Temperature Field during Grinding of SiCp/Al Composites: Key Engineering Materials; Trans Tech Publications Ltd.: Wollerau, Switzerland, 2011. [Google Scholar]
- Zhou, L.; Huang, S.T.; Zhang, C.Y. Numerical and experimental studies on the temperature field in precision grinding of SiCp/Al composites. Int. J. Adv. Manuf. Technol. 2013, 67, 1007–1014. [Google Scholar] [CrossRef]
- Zhu, C.; Gu, P.; Wu, Y.; Tao, Z. Grinding temperature prediction model of high-volume fraction SiCp/Al composite. Int. J. Adv. Manuf. Technol. 2020, 111, 1201–1220. [Google Scholar] [CrossRef]
- Lu, S.; Gao, H.; Bao, Y.; Xu, Q. A model for force prediction in grinding holes of SiCp/Al composites. Int. J. Mech. Sci. 2019, 160, 1–14. [Google Scholar] [CrossRef]
- Yin, G.; Wang, D.; Cheng, J. Experimental investigation on micro-grinding of SiCp/Al metal matrix composites. Int. J. Adv. Manuf. Technol. 2019, 102, 3503–3517. [Google Scholar] [CrossRef]
- Kwak, J.S.; Chi, L.Z.; Koo, Y.; Jeong, Y.D.; Ha, M.K. Process Parameter Optimization for Machining SiCp/Al-MMC Using RSM and GA: Key Engineering Materials; Trans Tech Publications Ltd.: Wollerau, Switzerland, 2006. [Google Scholar]
- Wang, M.; Zhou, M. Modeling and Stability Analysis of SiCp/Al Composites Thin-Walled Workpiece in Rotary Ultrasonic Machining: Advanced Materials Research; Trans Tech Publications Ltd.: Wollerau, Switzerland, 2012. [Google Scholar]
- Wang, M.; Dong, G.J.; Zhou, M. Dynamic Modeling and Simulation Analysis for Rotary Ultrasonic Machining of SiCp/Al Thin-Walled Structure: Key Engineering Materials; Trans Tech Publications Ltd.: Wollerau, Switzerland, 2013. [Google Scholar]
- Zhu, C.; Gu, P.; Wu, Y.; Liu, D.; Wang, X. Surface roughness prediction model of SiCp/Al composite in grinding. Int. J. Mech. Sci. 2019, 155, 98–109. [Google Scholar] [CrossRef]
- Zhu, C.; Gu, P.; Liu, D.; Hu, X.; Wu, Y. Evaluation of surface topography of SiCp/Al composite in grinding. Int. J. Adv. Manuf. Technol. 2019, 102, 2807–2821. [Google Scholar] [CrossRef]
- Müller, F.; Monaghan, J. Non-conventional machining of particle reinforced metal matrix composite. Int. J. Mach. Tools Manuf. 2000, 40, 1351–1366. [Google Scholar] [CrossRef]
- Pramanik, A. Developments in the non-traditional machining of particle reinforced metal matrix composites. Int. J. Mach. Tools Manuf. 2014, 86, 44–61. [Google Scholar] [CrossRef]
- Chen, Z.; Yan, Z.; Yan, H.; Han, F. Improvement of the machining characteristics in WEDM based on specific discharge energy and magnetic field–assisted method. Int. J. Adv. Manuf. Technol. 2019, 103, 3033–3044. [Google Scholar] [CrossRef]
- Chen, Z.; Zhang, Y.; Zhang, G.; Li, W. Investigation on a novel surface microstructure wire electrode for improving machining efficiency and surface quality in WEDM. Int. J. Adv. Manuf. Technol. 2019, 102, 2409–2421. [Google Scholar] [CrossRef]
- Chen, Z. Study on the white layer in wire electrical discharge trim cutting of bearing steel GCr15. Int. J. Adv. Manuf. Technol. 2019, 102, 2375–2386. [Google Scholar] [CrossRef]
- Yan, H.; Kabongo, D.B.; Yan, Z.; Han, F.; Chen, Z. Sustainable production of high-uniformity workpiece surface quality in wire electrical discharge machining by fabricating surface microstructure on wire electrode. J. Clean. Prod. 2020, 259, 120881. [Google Scholar] [CrossRef]
- Yan, H.; Bakadiasa, K.D.; Chen, Z.; Yan, Z.; Zhou, H.; Han, F. Attainment of high corner accuracy for thin-walled sharp-corner part by WEDM based on magnetic field-assisted method and parameter optimization. Int. J. Adv. Manuf. Technol. 2020, 106, 4845–4857. [Google Scholar] [CrossRef]
- Pachaury, Y.; Tandon, P. An overview of electric discharge machining of ceramics and ceramic based composites. J. Manuf. Process. 2017, 25, 369–390. [Google Scholar] [CrossRef]
- Ming, W.; Ma, J.; Zhang, Z.; Huang, H.; Shen, D.; Zhang, G.; Huang, Y. Soft computing models and intelligent optimization system in electro-discharge machining of SiC/Al composites. Int. J. Adv. Manuf. Technol. 2016, 87, 201–217. [Google Scholar] [CrossRef]
- Kumar, S.V.; Kumar, M.P. Machining process parameter and surface integrity in conventional EDM and cryogenic EDM of Al–SiCp MMC. J. Manuf. Process. 2015, 20, 70–78. [Google Scholar] [CrossRef]
- Hu, F.Q.; Cao, F.Y.; Song, B.Y.; Hou, P.J.; Zhang, Y.; Chen, K.; Wei, J.Q. Surface properties of SiCp/Al composite by powder-mixed EDM. Procedia CIRP 2013, 6, 101–106. [Google Scholar] [CrossRef]
- Chen, Z.; Zhou, H.; Yan, Z.; Han, F.; Yan, H. Machining characteristics of 65 vol.% SiCp/Al composite in micro-WEDM. Ceram. Int. 2021, 47, 13533–13543. [Google Scholar] [CrossRef]
- Geng, X.S.; Wang, Y.K.; Song, B.Y.; Wang, Z.L. Optimization and Analysis for Surface Roughness of SiCp/Al Metal Matrix Composite by Micro-WEDM: Advanced Materials Research; Trans Tech Publications Ltd.: Wollerau, Switzerland, 2013. [Google Scholar]
- Dev, A.; Patel, K.M.; Pandey, P.M.; Aravindan, S. Machining characteristics and optimisation of process parameters in micro-EDM of SiCp–Al composites. Int. J. Manuf. Res. 2009, 4, 458–480. [Google Scholar] [CrossRef]
- Ramulu, M.; Paul, G.; Patel, J. EDM surface effects on the fatigue strength of a 15 vol% SiCp/Al metal matrix composite material. Compos. Struct. 2001, 54, 79–86. [Google Scholar] [CrossRef]
- Seo, Y.W.; Kim, D.; Ramulu, M. Electrical discharge machining of functionally graded 15–35 vol% SiCp/Al composites. Mater. Manuf. Process. 2006, 21, 479–487. [Google Scholar] [CrossRef]
- Liu, Y.; Wang, B.; Zhang, W.; Zhang, S.; Ma, F.; Yang, D.; Sha, Z. Study on Thermal Erosion Process of SiCp/Al Composite Material in EDM: IOP Conference Series: Materials Science and Engineering; IOP Publishing: Bristol, UK, 2019. [Google Scholar]
- Lehnert, N.; Hackert-Oschätzchen, M.; Martin, A.; Schubert, A. Derivation of guidelines for reliable finishing of aluminium matrix composites by jet electrochemical machining. Procedia CIRP 2018, 68, 471–476. [Google Scholar] [CrossRef]
- Hackert-Oschätzchen, M.; Lehnert, N.; Martin, A.; Schubert, A. Jet Electrochemical Machining of Particle Reinforced Aluminum Matrix Composites with Different Neutral Electrolytes: IOP Conference Series: Materials Science and Engineering; IOP Publishing: Bristol, UK, 2016. [Google Scholar]
- Liu, Z.; Guo, C.; Qiu, Y.; Gao, C. Electrochemical Jet Machining of High Volume Fraction SiCp/Al Composite Using Electrolyte of Sodium Chloride: IOP Conference Series: Earth and Environmental Science; IOP Publishing: Bristol, UK, 2020. [Google Scholar]
- Liu, Z.; Gao, C.; Qiu, Y.; Guo, C. Investigation on electrochemical jet machining of high volume fraction SiCp/Al Composite. Int. J. Electrochem. Sc. 2020, 15, 3164–3179. [Google Scholar] [CrossRef]
- Rahim, K.; Mian, A. A review on laser processing in electronic and MEMS packaging. J. Electron. Packag. 2017, 139, 30801. [Google Scholar] [CrossRef]
- Senthilkumar, V. Laser cutting process—A Review. Int. J. Darshan Inst. Eng. Res. Emerg. Technol. 2014, 3, 44. [Google Scholar]
- Jia, X.; Chen, Y.; Liu, L.; Wang, C.; Duan, J. Advances in laser drilling of structural ceramics. Nanomaterials 2022, 12, 230. [Google Scholar] [CrossRef] [PubMed]
- Padhee, S.; Pani, S.; Mahapatra, S.S. A parametric study on laser drilling of Al/SiCp metal-matrix composite. Proc. Inst. Mech.Eng. Part B J. Eng. Manuf. 2012, 226, 76–91. [Google Scholar] [CrossRef]
- Li, M.; Han, H.; Jiang, X.; Jiang, X. A feasibility study on high-efficient laser cutting of SiC particles reinforced aluminum matrix composite using single-pass strategy. Optik 2022, 265, 169485. [Google Scholar] [CrossRef]
- Zhang, X.; Zhou, H.; Zhou, B.; Wang, R.; Han, H.; Jiang, X.; Li, M. Surface morphology and kerf quality during fiber laser cutting of high volume fraction SiC particles-reinforced aluminum matrix composites. J. Mater. Eng. Perform. 2022, 32, 5906–5918. [Google Scholar] [CrossRef]
- Saravanan, S.; Vijayan, V.; Suthahar, S.T.J.; Balan, A.V.; Sankar, S.; Ravichandran, M. A review on recent progresses in machining methods based on abrasive water jet machining. Mater. Today Proc. 2020, 21, 116–122. [Google Scholar] [CrossRef]
- Mohankumar, V.; Kanthababu, M.; Raveendran, R. Review on machining aspects in metal matrix and ceramic matrix composites using abrasive waterjet. Appl. Mech. Mater. 2015, 766–767, 643–648. [Google Scholar] [CrossRef]
- Putz, M.; Dix, M.; Morczinek, F.; Dittrich, M. Suspension technology for abrasive waterjet (AWJ) cutting of ceramics. Procedia CRIP 2018, 77, 367–370. [Google Scholar] [CrossRef]
- Srinivas, S.; Babu, N.R. Role of garnet and silicon carbide abrasives in abrasive waterjet cutting of aluminum-silicon carbide particulate metal matrix composites. Int. J. Appl. Res. Mech. 2011, 1, 109–122. [Google Scholar] [CrossRef]
- Srinivas, S.; Babu, N.R. Penetration ability of abrasive waterjets in cutting of aluminum-silicon carbide particulate metal matrix composites. Mach. Sci. Technol. 2012, 16, 337–354. [Google Scholar] [CrossRef]
- Arul Kumar, B.; Kumaresan, G. Abrasive water jet machining of aluminum-silicon carbide particulate metal matrix composites. Mater. Sci. Forum 2015, 830–831, 83–86. [Google Scholar] [CrossRef]
- Garikipati, P.; Balamurugan, K. Abrasive Water Jet Machining Studies on AlSi7 + 63%SiC Hybrid Composite. In Advances in Industrial Automation and Smart Manufacturing: Select Proceedings of ICAIASM 2019; Springer: Singapore, 2021. [Google Scholar]
- Ding, W.F.; Xi, X.X.; Zhan, J.H.; Xu, J.H.; Fu, Y.C.; Su, H.H. Research status and future development of grinding technology of titanium materials for aero-engines. Acta Aeronaut Astronaut. Sin 2019, 40, 22763. [Google Scholar]
- Feng, P.F.; Wang, J.J.; Zhang, J.F.; Wu, Z.J. Research status and future prospects of rotary ultrasonic machining of hard and brittle materials. J. Mech. Eng. 2017, 53, 3–21. [Google Scholar] [CrossRef]
- Xiang, D.; Li, B.; Peng, P.; Shi, Z.; Li, Y.; Gao, G.; Zhao, B. Study on formation mechanism of edge defects of high-volume fraction SiCp/Al composites by longitudinal-torsional ultrasonic vibration-assisted milling. Proc. Inst. Mech. Eng. Part C J. Mech. Eng. Sci. 2022, 236, 6219–6231. [Google Scholar] [CrossRef]
- Xiang, D.; Shi, Z.; Feng, H.; Wu, B.; Zhang, Z.; Chen, Y.; Niu, X.; Zhao, B. Finite element analysis of ultrasonic assisted milling of SiCp/Al composites. Int. J. Adv. Manuf. Technol. 2019, 105, 3477–3488. [Google Scholar] [CrossRef]
- Xiang, D.H.; Yue, G.X.; Zhi, X.T.; Liu, H.T.; Zhao, B. Studies on Cutting Forces of High Volume Fraction SiCp/Al Composites with Ultrasonic Vibration High Speed Milling: Advanced Materials Research; Trans Tech Publications Ltd.: Wollerau, Switzerland, 2011. [Google Scholar]
- Xiang, D.H.; Zhang, Y.L.; Yang, G.B.; Liang, S.; Wang, Y.F.; Qin, Q.; Ma, G.F. Study on Grinding Force of High Volume Fraction SiCp/Al Composites with Rotary Ultrasonic Vibration Grinding: Advanced Materials Research; Trans Tech Publications Ltd.: Wollerau, Switzerland, 2014. [Google Scholar]
- Wang, M.; Zhou, M. Study on Processing Optimization in Ultrasonic-Assisted Grinding of SiCp/Al Thin-Walled Workpiece: Applied Mechanics and Materials; Trans Tech Publications Ltd.: Wollerau, Switzerland, 2013. [Google Scholar]
- Hakami, F.; Pramanik, A.; Basak, A.K. Tool wear and surface quality of metal matrix composites due to machining: A review. Proc. Inst. Mech. Eng. Part B J. Eng. Manuf. 2017, 231, 739–752. [Google Scholar] [CrossRef]
- O’Toole, L.; Kang, C.; Fang, F. Advances in rotary ultrasonic-assisted machining. Nanomanufacturing Metrol. 2020, 3, 1–25. [Google Scholar]
- Dong, Z.; Zheng, F.; Zhu, X.; Kang, R.; Zhang, B.; Liu, Z. Characterization of material removal in ultrasonically assisted grinding of SiCp/Al with high volume fraction. Int. J. Adv. Manuf. Technol. 2017, 93, 2827–2839. [Google Scholar] [CrossRef]
- Zha, H.; Feng, P.; Zhang, J.; Yu, D.; Wu, Z. Material removal mechanism in rotary ultrasonic machining of high-volume fraction SiCp/Al composites. Int. J. Adv. Manuf. Technol. 2018, 97, 2099–2109. [Google Scholar] [CrossRef]
- Cheng, X.; Ma, X. Microstructure analysis of SiCp/Al composites with ultrasonic vibration turning. In Proceedings of the 2010 3rd International Conference on Biomedical Engineering and Informatics, Yantai, China, 16–18 October 2010. [Google Scholar]
- Kim, J.; Zani, L.; Abdul-Kadir, A.; Ribeiro, M.; Roy, A.; Baxevanakis, K.P.; Jones, L.C.R.; Silberschmidt, V.V. Ultrasonically assisted turning of micro-SiCp/Al 2124 composite. Procedia Struct. Integr. 2022, 37, 282–291. [Google Scholar] [CrossRef]
- Gao, G.F.; Zhao, B.; Xiang, D.H.; Zhao, M.L. Experimental Research on Ultrasonic Vibration Milling Metal Matrix Composites SiCp/Al. In Proceedings of the AIP Conference Proceedings, Paris, France, 24–27 October 2010; American Institute of Physics: College Park, MD, USA, 2011. [Google Scholar]
- Zhou, L.; Zhou, M.; Han, X.; Zhou, J. 3D surface roughness evaluation of surface topography in ultrasonic vibration assisted end grinding of SiCp/Al composites. Int. J. Nanomanufacturing 2019, 15, 290–303. [Google Scholar] [CrossRef]
- Zhou, M.; Wang, M.; Dong, G. Experimental investigation on rotary ultrasonic face grinding of SiCp/Al composites. Mater. Manuf. Process. 2016, 31, 673–678. [Google Scholar] [CrossRef]
- Wang, M.; Zhou, M.; Dong, G.J. Investigation on surface roughness in rotary ultrasonic side grinding of SiCp/Al composites. Mater. Res. Innov. 2015, 19 (Suppl. S8), S8–S784. [Google Scholar] [CrossRef]
- Geng, D.; Zhang, D.; Xu, Y.; Jiang, X.; Lu, Z.; Lu, D. Effect of speed ratio in edge routing of carbon fiber-reinforced plastics by rotary ultrasonic elliptical machining. J. Reinf. Plast. Compos. 2015, 34, 1779–1790. [Google Scholar] [CrossRef]
- Zhou, M.; Zheng, W. A model for grinding forces prediction in ultrasonic vibration assisted grinding of SiCp/Al composites. Int. J. Adv. Manuf. Technol. 2016, 87, 3211–3224. [Google Scholar] [CrossRef]
- Xiang, D.H.; Liu, H.T.; Jiang, X.; Liang, S.; Yang, G.B. Study on Tool Wear of High Volume Fraction SiCp/Al Composites with Ultrasonic Vibration High Speed Milling. In Applied Mechanics and Materials; Trans Tech Publications Ltd.: Wollerau, Switzerland, 2013. [Google Scholar]
- Xiang, D.H.; Yue, G.X.; Liu, H.T.; Zhao, B. Study on surface roughness in ultrasonic high-speed milling of SiCp/Al composites. In Materials Science Forum; Trans Tech Publications Ltd.: Wollerau, Switzerland, 2012. [Google Scholar]
- Niu, Q.; Jing, L.; Wang, C.; Li, S.; Qiu, X.; Li, C.; Xiang, D. Study on effect of vibration amplitude on cutting performance of SiCp/Al composites during ultrasonic vibration–assisted milling. Int. J. Adv. Manuf. Technol. 2020, 106, 2219–2225. [Google Scholar] [CrossRef]
- Zheng, W.; Zhou, M.; Zhou, L. Influence of process parameters on surface topography in ultrasonic vibration-assisted end grinding of SiCp/Al composites. Int. J. Adv. Manuf. Technol. 2017, 91, 2347–2358. [Google Scholar] [CrossRef]
- Peng, P.; Xiang, D.; Li, Y.; Yuan, Z.; Lei, X.; Li, B.; Liu, G.; Zhao, B.; Gao, G. Experimental study on laser assisted ultrasonic elliptical vibration turning (LA-UEVT) of 70% SiCp/Al composites. Ceram. Int. 2022, 48, 33538–33552. [Google Scholar] [CrossRef]
- Abdo, B.M.; Mian, S.H.; El-Tamimi, A.; Alkhalefah, H.; Moiduddin, K. Micromachining of biolox forte ceramic utilizing combined laser/ultrasonic processes. Materials 2020, 13, 3505. [Google Scholar] [CrossRef] [PubMed]
- Deswal, N.; Kant, R. Comparative Study of Surface Integrity for AZ31B Magnesium Alloy during the Application of Ultrasonic Vibration and Laser Energies in the Turning Process. J. Mater. Eng. Perform. 2023. [Google Scholar] [CrossRef]
- Jiao, F.; Niu, Y.; Zhang, M.; Zhang, C. Research on characteristics of tool wear in laser heating and ultrasonic vibration cutting of tungsten carbide. Adv. Mech. Eng. 2016, 8, 1687814016679786. [Google Scholar] [CrossRef]
- Zhang, C.; Jiao, F. Tool wear in laser ultrasonically combined turning of tungsten carbide with PCD tools. Int. J. Adv. Manuf. Technol. 2020, 111, 2201–2213. [Google Scholar] [CrossRef]
- Deswal, N.; Kant, R. Synergistic effect of ultrasonic vibration and laser energy during hybrid turning operation in magnesium alloy. Int. J. Adv. Manuf. Technol. 2022, 121, 857–876. [Google Scholar] [CrossRef]
- Dominguez-Caballero, J.; Ayvar-Soberanis, S.; Kim, J.; Roy, A.; Li, L.; Curtis, D. Hybrid simultaneous laser-and ultrasonic-assisted machining of Ti-6Al-4V alloy. Int. J. Adv. Manuf. Technol. 2023, 125, 1903–1916. [Google Scholar] [CrossRef]
- Khajehzadeh, M.; Ahmadpoor, S.S.; Rohani Raftar, O.; Sarveolia, M.B.; Razfar, M.R. Process parameters influence on cutting force and surface roughness during hybrid laser-and ultrasonic elliptical vibration-assisted machining. J. Braz. Soc. Mech. Sci. Eng. 2021, 43, 1–17. [Google Scholar] [CrossRef]
- Deswal, N.; Kant, R. A Study on Ultrasonic Vibration and Laser-Assisted Turning of Aluminum Alloy. In Advances in Forming, Machining and Automation: Select Proceedings of AIMTDR 2021; Springer Nature: Singapore, 2022; pp. 165–172. [Google Scholar]
- Li, B.; Xiang, D.; Peng, P.; Li, Y.; Liu, G.; Gao, G.; Zhao, B. Experimental and FEM study of surface formation and deformation mechanism of SiCp/Al composites in laser-ultrasonic vibration assisted turning. Ceram. Int. 2023, 49, 13510–13519. [Google Scholar] [CrossRef]
- Kong, X.; Wang, J.; Wang, M.; Wang, B.; Zheng, Y.; Yang, L. Mechanisms involved in the tool life improvement of laser assisted machining 45% SiCp/Al composites. Opt. Laser Technol. 2021, 139, 106919. [Google Scholar] [CrossRef]
- Zhao, G.; Mao, P.; Li, L.; Lqbal, A.; He, N. Micro-milling of 65 vol% SiCp/Al composites with a novel laser-assisted hybrid process. Ceram. Int. 2020, 46, 26121–26128. [Google Scholar] [CrossRef]
- Li, Y.; Xiang, D.; Feng, H.; Gao, G.; Shi, Z. Surface characteristics investigation of ultrasonic longitudinal-torsional milling of high–volume fraction SiCp/Al. Int. J. Adv. Manuf. Technol. 2020, 110, 2119–2130. [Google Scholar] [CrossRef]
- Dong, Z.; Sun, W.; Cai, X.; Ding, K.; Bao, Y.; Ma, G.; Wu, D.; Kang, R.; Niu, F. A new method for machining RB-SiC with high efficiency and quality: Laser assisted ultrasonic grinding. J. Manuf. Process. 2023, 108, 820–833. [Google Scholar] [CrossRef]
- Lau, W.S.; Yue, T.M.; Wang, M. Ultrasonic-aided laser drilling of aluminium-based metal matrix composites. CIRP Ann. 1994, 43, 177–180. [Google Scholar] [CrossRef]
- Wang, H.; Li, L.; Zhu, S.; Xu, Y.; Ren, N. Effect of water-based ultrasonic vibration on the quality of laser trepanned microholes in nickel super-alloy workpieces. J. Mater. Process. Technol. 2019, 272, 170–183. [Google Scholar] [CrossRef]
- Zheng, H.Y.; Huang, H. Ultrasonic vibration-assisted femtosecond laser machining of microholes. J. Micromechanics Microengineering 2007, 17, N58. [Google Scholar] [CrossRef]
- Deswal, N.; Kant, R. Radial direction ultrasonic-vibration and laser assisted turning of Al3003 alloy. Mater. Res. Express 2023, 10, 044004. [Google Scholar] [CrossRef]















| Material | Volume Fraction (%) | Density (g/cm3) | Elastic Modulus (GPa) | Strength (MPa) | Specific Stiffness E/p | Coefficient of Expansion (10−6/K) | Thermal Conductivity (W/m·K) |
|---|---|---|---|---|---|---|---|
| SiCp/Al | 15 | 2.82 | 100 ± 5 | 560 | 35.5 | 17.0 ± 1 | 150 ± 5 |
| 20 | 2.85 | 110 ± 5 | 580 | 38.6 | 16.0 ± 1 | 160 ± 5 | |
| 25 | 2.86 | 115 ± 5 | 600 | 40.2 | 14.3 ± 1 | 170 ± 5 | |
| 30 | 2.89 | 125 ± 5 | 560 | 43.3 | 13.0 ± 1 | 175 ± 5 | |
| 45 | 2.92 | 160 ± 5 | 500 | 54.9 | 11.5 ± 1 | 190 ± 5 | |
| 55 | 2.95 | 195 ± 5 | 450 | 66.1 | 9.5 ± 1 | 200 ± 5 | |
| 60 | 2.98 | 200 ± 5 | 420 | 67.1 | 8.3 ± 1 | 205 ± 5 | |
| 65 | 3.01 | 215 ± 5 | 400 | 71.4 | 7.5 ± 1 | 210 ± 10 | |
| 70 | 3.02 | 220 ± 5 | 380 | 72.8 | 7.0 ± 1 | 215 ± 10 |
| Tool | Matrix | SiC (Volume Fraction) | Parameter | Remark |
|---|---|---|---|---|
| Carbide insert with a 0.8 mm uncoated tool nose radius [89] | Al7075 alloy | 40% | Cutting speed 170 m/min, depth of cut 0.8 mm and a feed per tooth 0.08 mm/tooth. | Best surface quality |
| PCD tools a front angle of 0°, a back angle of 20°, and an edge radius of 0.01 mm [90] | Al2009 | 20% | Cutting speed of 47.10 m/min, feed rate of 10 mm/min, and depth of cut of 80 μm, | better surface roughness Ra0.029 μm. |
| A single flute Φ1 mm PCD end mill [91,92] | Al2024 | 45% | The suitable value of the feed rate is 30 mm/min. | best surface quality |
| End mill cutter (Φ16 mm) with 2 uncoated cemented carbide inserts [93] | A356 aluminum alloy | 10% | Cutting speed 200 m/min, feed rate 0.1 mm/min, depth of cut 0.2 mm | The minimal surface roughness and cutting forces |
| CVD diamond-coated end mills [94] | Al7075 | 30% | Tool rotation speed of 6500 r/min, feed rate of 762 mm/min and depth of cut of 3 mm. | A high material removal rate (MRR) to tool wear and surface roughness ratio |
| PCD [95] | Al | 65% | Tool rake angle 5, tool clearance angle 5, corner radius 0.4 mm, milling depth 50 mm, and milling speed 300 m/min. | Reduce surface machining defects |
| Three different cutting tools (uncoated, multi-layered, and nano TiAlN coated) [96] | 123 L aluminum alloy | 10% SiC under 32 μm | Uncoated tool: cutting speed 60 m/min, feed rate 0.04 mm/r; multi-layered tool: cutting speed 78 m/min, feed rate 0.12 mm/r | Multi-layered tool 0.302 μm |
| PCD end mill [97] | Al2024 | 60% | Spindle speed 14,000 r/ min, feed rate 6 mm/min, and milling depth 40 μm. | surface roughness 0.238 μm. |
| Author | Material | Parameters | Remarks |
|---|---|---|---|
| Shu-Tao Huang [103] | Al- SiCp (65% vol) | Cutting speed and feed rate | Abrasive wear and adhesive wear of the flank face. |
| Gul Tosun & Mehtap Muratoglu [114] | Al 2124- SiCp (17% vol) | Types of drills, Point angle, Aging | As the point angles of HSS and TiN-coated HSS drills increase, the damage zone increased. But for solid carbide drills, the damage zone decreased. Peak-aged materials give the best performance |
| Ferit Ficici [115] | Al 7075-SiCp (5%, 10%, 15% vol) | Types of the drill, materials parameters | The surface roughness values increased with increasing the feed rate and decreased with increasing the cutting velocity |
| Gul Tosun & Mehtap Muratoglu [116] | Al 2124- SiCp (17% vol) | Dry drilling tests, spindle-speed, feed rates, drills, point angles, heat treatment | Surface roughness decrease with the increasing feed rate Hard-carbide tools produce a better surface finish Increasing the point angles the surface roughness decreased. |
| Chang Liu [117] | Al6061-SiCp (15%, 30%, 45% vol) | Dry drilling tests, experimental parameters | Pvf contributes 44.1%, 74.1%, and 74.2% on cutting force, burr height, and surface roughness |
| Li Zhou [118] | Al-SiCp (56%) | Electroplating diamond drills, cutting speed | The average surface roughness increased with the increasing drilling speed, and the surface roughness in dry conditions is higher than that in wet conditions. |
Disclaimer/Publisher’s Note: The statements, opinions and data contained in all publications are solely those of the individual author(s) and contributor(s) and not of MDPI and/or the editor(s). MDPI and/or the editor(s) disclaim responsibility for any injury to people or property resulting from any ideas, methods, instructions or products referred to in the content. |
© 2024 by the authors. Licensee MDPI, Basel, Switzerland. This article is an open access article distributed under the terms and conditions of the Creative Commons Attribution (CC BY) license (https://creativecommons.org/licenses/by/4.0/).
Share and Cite
Chen, Z.; Ding, F.; Zhang, Z.; Liao, Q.; Qiao, Z.; Jin, Y.; Chen, M.; Wang, B. A Review on Machining SiCp/Al Composite Materials. Micromachines 2024, 15, 107. https://doi.org/10.3390/mi15010107
Chen Z, Ding F, Zhang Z, Liao Q, Qiao Z, Jin Y, Chen M, Wang B. A Review on Machining SiCp/Al Composite Materials. Micromachines. 2024; 15(1):107. https://doi.org/10.3390/mi15010107
Chicago/Turabian StyleChen, Zhigao, Fei Ding, Zhichao Zhang, Qiuyan Liao, Zheng Qiao, Yuan Jin, Mingjun Chen, and Bo Wang. 2024. "A Review on Machining SiCp/Al Composite Materials" Micromachines 15, no. 1: 107. https://doi.org/10.3390/mi15010107
APA StyleChen, Z., Ding, F., Zhang, Z., Liao, Q., Qiao, Z., Jin, Y., Chen, M., & Wang, B. (2024). A Review on Machining SiCp/Al Composite Materials. Micromachines, 15(1), 107. https://doi.org/10.3390/mi15010107

