Raman Lasing in a Tellurite Microsphere with Thermo-Optical on/off Switching by an Auxiliary Laser Diode
Abstract
:1. Introduction
2. Materials and Methods
2.1. Manufacturing Tellurite Glass Microspheres
2.2. Experimental Methods
2.3. Calculation of Microsphere Parameters and Thermo-Optical Simulations
2.4. Simulation of Raman Lasing
3. Results
3.1. Experimental Results
3.2. Numerical Simulation of Thermo-Optical Processes
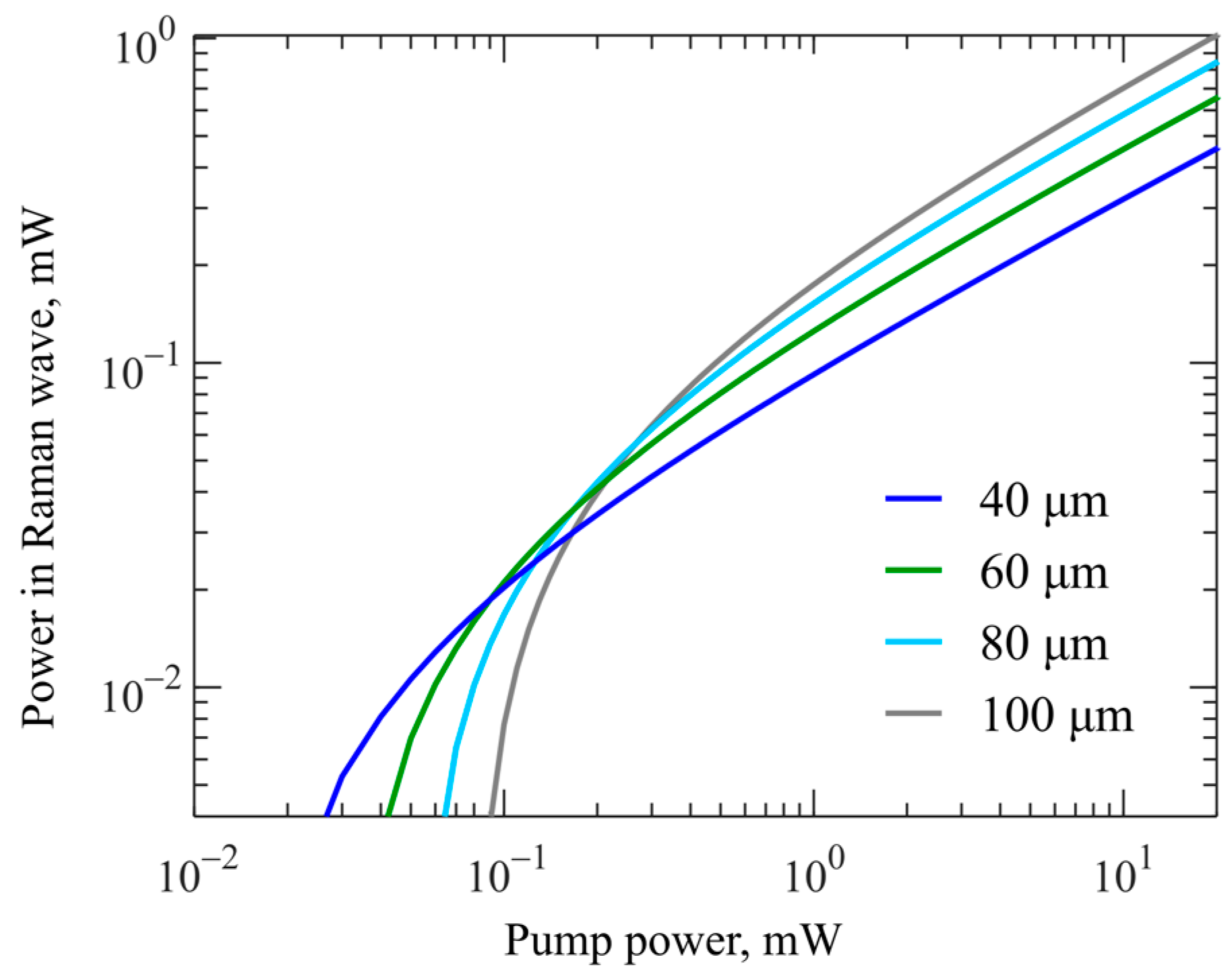
3.3. Theoretical Study of Raman Lasing
4. Discussion and Conclusions
Author Contributions
Funding
Data Availability Statement
Conflicts of Interest
References
- Reynolds, T.; Riesen, N.; Meldrum, A.; Fan, X.; Hall, J.M.M.; Monro, T.M.; François, A. Fluorescent and Lasing Whispering Gallery Mode Microresonators for Sensing Applications. Laser Photon. Rev. 2017, 11, 1600265. [Google Scholar] [CrossRef]
- Özdemir, Ş.K.; Zhu, J.; Yang, X.; Peng, B.; Yilmaz, H.; He, L.; Monifi, F.; Huang, S.H.; Long, G.L.; Yang, L. Highly Sensitive Detection of Nanoparticles with a Self-Referenced and Self-Heterodyned Whispering-Gallery Raman Microlaser. Proc. Natl. Acad. Sci. USA 2014, 111, E3836–E3844. [Google Scholar] [CrossRef]
- Sirleto, L. Micro and Nano Raman Lasers. Micromachines 2021, 12, 15. [Google Scholar] [CrossRef] [PubMed]
- Shen, X.; Choi, H.; Chen, D.; Zhao, W.; Armani, A. Raman laser from an optical resonator with a grafted single-molecule monolayer. Nat. Photon. 2020, 14, 95–101. [Google Scholar] [CrossRef]
- Zhang, P.-J.; Ji, Q.-X.; Cao, Q.-T.; Wang, H.; Liu, W.; Gong, Q.; Xiao, Y.-F. Single-Mode Characteristic of a Supermode Microcavity Raman Laser. Proc. Natl. Acad. Sci. USA 2021, 118, e2101605118. [Google Scholar] [CrossRef] [PubMed]
- Tao, G.; Ebendorff-Heidepriem, H.; Stolyarov, A.M.; Danto, S.; Badding, J.V.; Fink, Y.; Ballato, J.; Abouraddy, A.F. Infrared Fibers. Adv. Opt. Photon. 2015, 7, 379. [Google Scholar] [CrossRef]
- Domachuk, P.; Wolchover, N.A.; Cronin-Golomb, M.; Wang, A.; George, A.K.; Cordeiro, C.M.B.; Knight, J.C.; Omenetto, F.G. Over 4000 nm Bandwidth of Mid-IR Supercontinuum Generation in Sub-Centimeter Segments of Highly Nonlinear Tellurite PCFs. Opt. Express 2008, 16, 7161–7168. [Google Scholar] [CrossRef]
- Kibler, B.; Lemière, A.; Gomes, J.-T.; Gaponov, D.; Lavoute, L.; Désévédavy, F.; Smektala, F. Octave-spanning coherent supercontinuum generation in a step-index tellurite fiber and towards few-cycle pulse compression at 2 µm. Opt. Commun. 2021, 488, 126853. [Google Scholar] [CrossRef]
- Okhrimchuk, A.G.; Pryamikov, A.D.; Gladyshev, A.V.; Alagashev, G.K.; Smayev, M.P.; Likhov, V.V.; Dorofeev, V.V.; Motorin, S.E.; Yatsenko, Y.P. Direct Laser Written Waveguide in Tellurite Glass for Supercontinuum Generation in 2 μm Spectral Range. J. Light. Technol. 2020, 38, 1492–1500. [Google Scholar] [CrossRef]
- Thekke Thalakkal, S.; Ristić, D.; Nunzi Conti, G.; Pelli, S.; Frigenti, G.; Gebavi, H.; Chiasera, A.; Ivanda, M. Er3+ Doped Tellurite Whispering Gallery Mode Microlasers in 1.5 µm–1.61 µm Wavelength Region Generated by 0.98 µm and 1.48 µm Pump Lasers. Opt. Mater. X 2023, 19, 100248. [Google Scholar] [CrossRef]
- Yu, J.; Zhang, J.; Wang, R.; Li, A.; Zhang, M.; Wang, S.; Wang, P.; Ward, J.M.; Nic Chormaic, S. A Tellurite Glass Optical Microbubble Resonator. Opt. Express 2020, 28, 32858–32868. [Google Scholar] [CrossRef] [PubMed]
- Miarabbas Kiani, K.; Frankis, H.C.; Mateman, R.; Leinse, A.; Knights, A.P.; Bradley, J.D.B. Thulium-Doped Tellurium Oxide Microring Lasers Integrated on a Low-Loss Silicon Nitride Platform. Opt. Mater. Express 2021, 11, 3656–3665. [Google Scholar] [CrossRef]
- Anashkina, E.A. Laser Sources Based on Rare-Earth Ion Doped Tellurite Glass Fibers and Microspheres. Fibers 2020, 8, 30. [Google Scholar] [CrossRef]
- Frigenti, G.; Berneschi, S.; Farnesi, D.; Pelli, S.; Righini, G.C.; Soria, S.; Dumeige, Y.; Féron, P.; Ristić, D.; Prudenzano, F.; et al. Rare Earth-Doped Glass Whispering Gallery Mode Micro-Lasers. Eur. Phys. J. Plus 2023, 138, 679. [Google Scholar] [CrossRef]
- Anashkina, E.A.; Andrianov, A.V. Switchable cascade Raman lasing in a tellurite glass microresonator. ACS Photon. 2023, 10, 1485–1494. [Google Scholar] [CrossRef]
- Andrianov, A.V.; Anashkina, E.A. Experimental Demonstration of Kerr Optical Frequency Comb Generation in a Tellurite Microsphere. Opt. Lett. 2023, 48, 1862–1865. [Google Scholar] [CrossRef]
- Plotnichenko, V.G.; Sokolov, V.O.; Koltashev, V.V.; Dianov, E.M.; Grishin, I.A.; Churbanov, M.F. Raman Band Intensities of Tellurite Glasses. Opt. Lett. 2005, 30, 1156–1158. [Google Scholar] [CrossRef]
- Jiang, X.; Yang, L. Optothermal dynamics in whispering-gallery microresonators. Light. Sci. Appl. 2020, 9, 24. [Google Scholar] [CrossRef]
- Kondratiev, N.M.; Lobanov, V.E.; Shitikov, A.E.; Galiev, R.R.; Chermoshentsev, D.A.; Dmitriev, N.Y.; Danilin, A.N.; Lonshakov, E.A.; Min’kov, K.N.; Sokol, D.M.; et al. Recent Advances in Laser Self-Injection Locking to High-Q Microresonators. Front. Phys. 2023, 18, 21305. [Google Scholar] [CrossRef]
- Pasquazi, A.; Peccianti, M.; Razzari, L.; Moss, D.J.; Coen, S.; Erkintalo, M.; Chembo, Y.K.; Hansson, T.; Wabnitz, S.; Del’Haye, P.; et al. Micro-combs: A novel generation of optical sources. Phys. Rep. 2018, 729, 1–81. [Google Scholar] [CrossRef]
- Liu, S.; Sun, W.; Wang, Y.; Yu, X.; Xu, K.; Huang, Y.; Xiao, S.; Song, Q. End-Fire Injection of Light into High-Q Silicon Microdisks. Optica 2018, 5, 612–616. [Google Scholar] [CrossRef]
- Zhang, S.; Zhai, T.; Cui, L.; Shi, X.; Ge, K.; Liang, N.; Hayat, A. Tunable WGM Laser Based on the Polymer Thermo-Optic Effect. Polymers 2021, 13, 205. [Google Scholar] [CrossRef] [PubMed]
- Humar, M.; Muševič, I. 3D Microlasers from Self-Assembled Cholesteric Liquid-Crystal Microdroplets. Opt. Express 2010, 18, 26995–27003. [Google Scholar] [CrossRef] [PubMed]
- Niu, B.; Shi, X.; Ge, K.; Ruan, J.; Xu, Z.; Zhang, S.; Guo, D.; Zhai, T. An All-Optical Tunable Polymer WGM Laser Pumped by a Laser Diode. Nanoscale Adv. 2022, 4, 2153–2158. [Google Scholar] [CrossRef] [PubMed]
- Dorofeev, V.V.; Moiseev, A.N.; Churbanov, M.F.; Snopatin, G.E.; Chilyasov, A.V.; Kraev, I.A.; Lobanov, A.S.; Kotereva, T.V.; Ketkova, L.A.; Pushkin, A.A.; et al. High-Purity TeO2–WO3–(La2O3,Bi2O3) Glasses for Fiber-Optics. Opt. Mater. 2011, 33, 1911–1915. [Google Scholar] [CrossRef]
- Anashkina, E.A.; Marisova, M.P.; Dorofeev, V.V.; Andrianov, A.V. Cascade Brillouin Lasing in a Tellurite-Glass Microsphere Resonator with Whispering Gallery Modes. Sensors 2022, 22, 2866. [Google Scholar] [CrossRef]
- Oraevsky, A.N. Whispering-Gallery Waves. Quantum Electron. 2002, 32, 377–400. [Google Scholar] [CrossRef]
- El-Mallawany, R.; Ribeiro, M.A.; Lara, L.S.; Lenzi, E.K.; Alsadig, I.A.A.; Novatski, A. Refractive Index Behavior of Tellurite Glasses. Opt. Mater. 2021, 112, 110810. [Google Scholar] [CrossRef]
- Min, B.; Kippenberg, T.J.; Vahala, K.J. Compact, Fiber-Compatible, Cascaded Raman Laser. Opt. Lett. 2003, 28, 1507–1509. [Google Scholar] [CrossRef]
- Xia, D.; Huang, Y.; Zhang, B.; Zeng, P.; Zhao, J.; Yang, Z.; Sun, S.; Luo, L.; Hu, G.; Liu, D.; et al. Engineered Raman Lasing in Photonic Integrated Chalcogenide Microresonators. Laser Photon. Rev. 2022, 16, 2100443. [Google Scholar] [CrossRef]
- Andrianov, A.V.; Anashkina, E.A. Tunable Raman Lasing in an As2S3 Chalcogenide Glass Microsphere. Opt. Express 2021, 29, 5580–5587. [Google Scholar] [CrossRef] [PubMed]









| Parameter | Symbol | Value |
|---|---|---|
| Q-factor | Q | 2.5 × 107 |
| Microsphere diameter | d | 40, 60, 80, 100 µm |
| Effective mode volume for different d: | VR | |
| VR for d = 40 µm | 715 µm3 | |
| VR for d = 60 µm | 1506 µm3 | |
| VR for d = 80 µm | 2559 µm3 | |
| VR for d = 100 µm | 3861 µm3 | |
| Overlap integral between the pump and Raman waves | Γ | 0.7 |
| Pump angular frequency | ωp | 2π × 194.4 THz |
| Raman wave angular frequency | ωR | 2π × 166.9 THz |
| Raman gain for bulk tellurite glass | gTe | 3.82 × 10 –12 m/W |
| Thermal expansion coefficient | α | 14.2 × 10–6 K–1 |
| Thermo-optical coefficient | dn/dT | –8 × 10–6 K–1 |
| Glass thermal conductivity | k | 1.2 W/(m·K) |
| Glass density | ρ | 5940 kg/m3 |
| Glass heat capacity at constant pressure | cp | 370 J/(kg·K) |
Disclaimer/Publisher’s Note: The statements, opinions and data contained in all publications are solely those of the individual author(s) and contributor(s) and not of MDPI and/or the editor(s). MDPI and/or the editor(s) disclaim responsibility for any injury to people or property resulting from any ideas, methods, instructions or products referred to in the content. |
© 2023 by the authors. Licensee MDPI, Basel, Switzerland. This article is an open access article distributed under the terms and conditions of the Creative Commons Attribution (CC BY) license (https://creativecommons.org/licenses/by/4.0/).
Share and Cite
Anashkina, E.A.; Marisova, M.P.; Dorofeev, V.V.; Andrianov, A.V. Raman Lasing in a Tellurite Microsphere with Thermo-Optical on/off Switching by an Auxiliary Laser Diode. Micromachines 2023, 14, 1796. https://doi.org/10.3390/mi14091796
Anashkina EA, Marisova MP, Dorofeev VV, Andrianov AV. Raman Lasing in a Tellurite Microsphere with Thermo-Optical on/off Switching by an Auxiliary Laser Diode. Micromachines. 2023; 14(9):1796. https://doi.org/10.3390/mi14091796
Chicago/Turabian StyleAnashkina, Elena A., Maria P. Marisova, Vitaly V. Dorofeev, and Alexey V. Andrianov. 2023. "Raman Lasing in a Tellurite Microsphere with Thermo-Optical on/off Switching by an Auxiliary Laser Diode" Micromachines 14, no. 9: 1796. https://doi.org/10.3390/mi14091796
APA StyleAnashkina, E. A., Marisova, M. P., Dorofeev, V. V., & Andrianov, A. V. (2023). Raman Lasing in a Tellurite Microsphere with Thermo-Optical on/off Switching by an Auxiliary Laser Diode. Micromachines, 14(9), 1796. https://doi.org/10.3390/mi14091796

