Preparation of Reactive Indicator Papers Based on Silver-Containing Nanocomposites for the Analysis of Chloride Ions
Abstract
:1. Introduction
2. Materials and Methods
2.1. Reagents and Solutions
2.2. Instrumentation
2.3. Synthesis of Silver Fumarate
2.4. Preparation of the Nanocomposites
2.5. Technique for Obtaining Papers Modified with AgNPs
2.6. Procedure of Analysis of Chloride Ions
2.7. Calibration
2.8. Analysis of Samples
2.9. Analysis of Samples of Natural Water
3. Results and Discussion
3.1. Synthesis and Characterization of Silver Fumarate
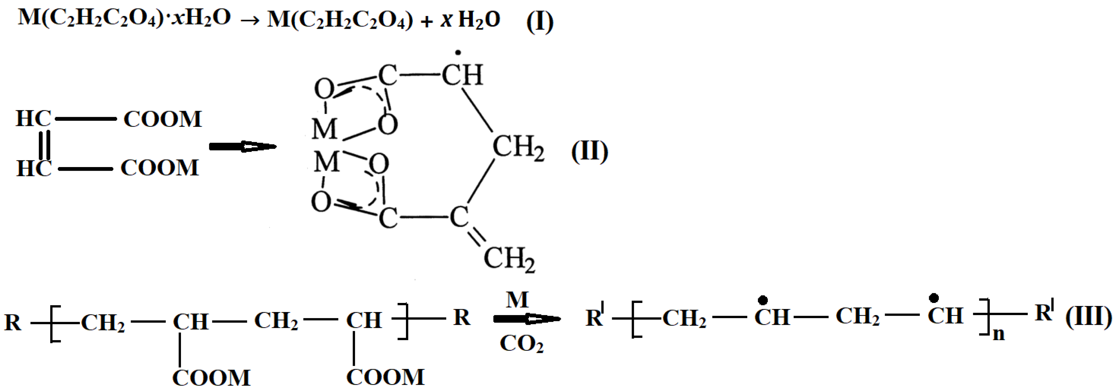
3.2. Thermolysis of Silver Fumarate
3.3. Preparation of RIPs and Their Characterization
- -
- When using papers of A and B types, which makes it possible to recommend them for use as AgNP cellulose carriers for the manufacture of chlorine-sensitive RIPs;
- -
- In the manufacture of RIPs by immersion followed by horizontal drying. Visual control of the surface of the samples during the study showed that it is in this case that the most uniform modification of the surface of large samples is achieved. However, the dropping method is a simpler procedure and can be quite effective in the case of small samples;
- -
- When scanning test strips from the front.
- -
- Paper type (A or B);
- -
- Method of impregnation (immersion);
- -
- Content of AgNPs 0.62 mg/g;
- -
- Scanning from the side of application of AgNPs.
3.4. Determination of Chlorides
3.5. Optimization of Determination Conditions
3.6. Interference Study
3.7. Determination of Chlorides in Natural Waters
3.8. Determination of Chlorides in Pharmaceutical Preparations
3.9. Determination of Chlorides in Foods
4. Conclusions
Author Contributions
Funding
Data Availability Statement
Conflicts of Interest
References
- Teixeira dos Santos, C.A.; Pascoa, R.N.M.J.; Porto, P.A.L.S.; Cerdeira Lopes, J.A. Application of Fourier-transform infrared spectroscopy for the determination of chloride and sulfate in wines. LWT Food Sci. Technol. 2016, 67, 181–186. [Google Scholar] [CrossRef]
- De Oliveira Souza, M.; Ribeiro, M.A.; Carneiro, M.T.W.D.; Athayde, G.P.B.; de Castro, E.V.R.; da Silva, F.L.F.; Matos, W.O.; de Queiroz Ferreira, R. Evaluation and determination of chloride in crude oil based on the counterions Na, Ca, Mg, Sr and Fe, quantified via ICP-OES in the crude oil aqueous extract. Fuel 2015, 154, 181–187. [Google Scholar] [CrossRef]
- Lopez-Moreno, C.; Viera Perez, I.; Urbano, A.M. Development and validation of an ionic chromatography method for the determination of nitrate, nitrite and chloride in meat. Food Chem. 2016, 194, 687–694. [Google Scholar] [CrossRef]
- Robaina, N.F.; Feiteira, F.N.; Cassella, A.R.; Cassella, R.J. Determination of chloride in brazilian crude oils by ion chromatography after extraction induced by emulsion breaking. J. Chromatogr. A 2016, 1458, 112–117. [Google Scholar] [CrossRef]
- Diaz, P.; Gonzalez, Z.; Granda, M.; Menéndez, R.; Santamaría, R.; Blanco, C. Evaluating capacitive deionization for water desalination by direct determination of chloride ions. Desalination 2014, 344, 396–401. [Google Scholar] [CrossRef]
- Rocha, D.L.; Rocha, F.R.P. An environmentally friendly flow-based procedure with photo-induced oxidation for the spectrophotometric determination of chloride in urine and waters. Microchem. J. 2013, 108, 193–197. [Google Scholar] [CrossRef]
- Bujes-Garrido, J.; Arcos-Martinez, M.J. Disposable sensor for electrochemical determination of chloride ions. Talanta 2016, 155, 153–157. [Google Scholar] [CrossRef]
- Bujes-Garrido, J.; Arcos-Martinez, M.J. Development of a wearable electrochemical sensor for voltammetric determination of chloride ions. Sens. Actuators B 2017, 240, 224–228. [Google Scholar] [CrossRef]
- De Graaf, D.B.; Abbas, Y.; Bomer, J.G.; Olthuis, W.; van den Berg, A. Sensor–actuator system for dynamic chloride ion determination. Anal. Chim. Acta 2015, 888, 44–51. [Google Scholar] [CrossRef] [PubMed]
- Bonta, M.; Eitzenberger, A.; Burtscher, S.; Limbeck, A. Quantification of chloride in concrete samples using LA-ICP-MS. Cem. Concr. Res. 2016, 86, 78–84. [Google Scholar] [CrossRef]
- Kaur, H.; Singh, J.; Chopra, S.; Kaur, N. Calix[4]arene based dipodal receptor nanohybrids for selective determination of chloride ions in aqueous media. Talanta 2016, 146, 122–129. [Google Scholar] [CrossRef]
- Gorbunova, M.O.; Bayan, E.M.; Voitsikhovskaya, E.V. A glucotest for the quality control of food raw materials and products. J. Anal. Chem. 2010, 65, 1198–1202. [Google Scholar] [CrossRef]
- Almeida, M.I.G.S.; Jayawardane, B.M.; Kolev, S.D.; McKelvie, I.D. Developments of microfluidic paper-based analytical devices (μPADs) for water analysis: A review. Talanta 2018, 177, 176–190. [Google Scholar] [CrossRef] [PubMed]
- Morbioli, G.G.; Mazzu-Nascimento, T.; Stockton, A.M.; Carrilho, E. Technical aspects and challenges of colorimetric detection with microfluidic paper-based analytical devices (μPADs)—A review. Anal. Chim. Acta 2017, 970, 1–22. [Google Scholar] [CrossRef]
- Cuartero, M.; Crespo, G.A.; Bakker, E. Paper-Based Thin-Layer Coulometric Sensor for Halide Determination. Anal. Chem. 2015, 87, 1981–1990. [Google Scholar] [CrossRef]
- Gorbunova, M.O.; Bayan, E.M. A rapid field test method for the determination of hydrogen sulfide and sulfides in waters with gas preextraction. J. Anal. Chem. 2017, 72, 1263–1269. [Google Scholar] [CrossRef]
- Pla-Tolós, J.; Moliner-Martínez, Y.; Verdú-Andrés, J.; Casanova-Chafer, J.; Molins-Legua, C.; Campíns-Falcó, P. New optical paper sensor for in situ measurement of hydrogen sulphide in waters and atmosphere. Talanta 2016, 156–157, 79–86. [Google Scholar] [CrossRef] [PubMed]
- Gorbunova, M.O.; Zhikhareva, I.N. A Test Method for Determining Active Chlorine in Drinking Water. J. Anal. Chem. 2003, 58, 660. [Google Scholar] [CrossRef]
- Gorbunova, M.O.; Bayan, E.M.; Shevchenko, A.V.; Kulyaginova, M.S. Digital colorimetric determination of chlorides in water using gas extraction and methyl orange. Anal. I Kontrol 2017, 21, 274–280. [Google Scholar]
- Danchana, K.; Maya, F.; Wilairat, P.; Uraisin, K.; Cerdà, V. Spectrophotometric determination of bromide in water using the multisyringe flow injection analysis technique coupled to a gas-diffusion unit. Anal. Methods 2015, 7, 4202–4208. [Google Scholar] [CrossRef]
- Loh, L.J.; Bandara, G.C.; Weber, G.L.; Remcho, V.T. Detection of water contamination from hydraulic fracturing wastewater: A μPAD for bromide analysis in natural waters. Analyst 2015, 140, 5501–5507. [Google Scholar] [CrossRef]
- Apyari, V.V.; Gorbunova, M.O.; Shevchenko, A.V.; Furletov, A.A.; Volkov, P.A.; Garshev, A.V.; Dmitrienko, S.G.; Zolotov, Y.A. Towards highly selective detection using metal nanoparticles: A case of silver triangular nanoplates and chlorine. Talanta 2018, 176, 406–411. [Google Scholar] [CrossRef] [PubMed]
- Apyari, V.V.; Furletov, A.A.; Garshev, A.V.; Volkov, P.A.; Gorbunova, M.O.; Shevchenko, A.V. Preparation of reagent indicator papers with silver triangular nanoplates for chemical analysis. Mosc. Univ. Chem. Bull. 2017, 72, 167–173. [Google Scholar] [CrossRef]
- Gorbunova, M.O.; Shevchenko, A.V.; Apyari, V.V.; Furletov, A.A.; Volkov, P.A.; Garshev, A.V.; Dmitrienko, S.G. Selective determination of chloride ions using silver triangular nanoplates and dynamic gas extraction. Sens. Actuators B 2018, 256, 699–705. [Google Scholar] [CrossRef]
- Priyadarshini, E.; Pradhan, N. Gold nanoparticles as efficient sensors in colorimetric detection of toxic metal ions: A review. Sens. Actuators B 2017, 238, 888–902. [Google Scholar] [CrossRef]
- Fang, C.; Dharmarajan, R.; Megharaj, M.; Naidu, R. Gold nanoparticle-based optical sensors for selected anionic contaminants. Trends Anal. Chem. 2017, 86, 143–154. [Google Scholar] [CrossRef]
- Lim, M.-C.; Kim, Y.-R. Analytical Applications of Nanomaterials in Monitoring Biological and Chemical Contaminants in Food. J. Microbiol. Biotechnol. 2016, 26, 1505–1516. [Google Scholar] [CrossRef]
- Nie, G.; Li, G.; Wang, L.; Zhang, X. Nanocomposites of polymer brush and inorganic nanoparticles: Preparation, characterization and application. Polym. Chem. 2016, 7, 753–769. [Google Scholar] [CrossRef]
- Abalde-Cela, S.; Carregal-Romero, S.; Paulo Coelho, J.; Guerrero-Martínez, A. Recent progress on colloidal metal nanoparticles as signal enhancers in nanosensing. Adv. Colloid Interface Sci. 2016, 233, 255–270. [Google Scholar] [CrossRef]
- Ahmad, R.; Griffete, N.; Lamouri, A.; Felidj, N.; Chehimi, M.M.; Mangeney, C. Nanocomposites of Gold Nanoparticles@Molecularly Imprinted Polymers: Chemistry, Processing, and Applications in Sensors. Chem. Mater. 2015, 27, 5464–5478. [Google Scholar] [CrossRef]
- Choi, I. Recent Advances in Nanoplasmonic Sensors for Environmental Detection and Monitoring. J. Nanosci. Nanotechnol. 2016, 16, 4274–4283. [Google Scholar] [CrossRef]
- Yue, G.; Su, S.; Li, N.; Shuai, M.; Lai, X.; Astruc, D.; Zhao, P. Gold nanoparticles as sensors in the colorimetric and fluorescence detection of chemical warfare agents. Coord. Chem. Rev. 2016, 311, 75–84. [Google Scholar] [CrossRef]
- Sharma, R.; Ragavan, K.V.; Thakur, M.S.; Raghavarao, K.S.M.S. Recent advances in nanoparticle based aptasensors for food contaminants. Biosens. Bioelectron. 2015, 74, 611–627. [Google Scholar] [CrossRef] [PubMed]
- Huynh, K.A.; Chen, K.L. Aggregation Kinetics of Citrate and Polyvinylpyrrolidone Coated Silver Nanoparticles in Monovalent and Divalent Electrolyte Solutions. Environ. Sci. Technol. 2011, 45, 5564–5571. [Google Scholar] [CrossRef] [PubMed]
- Godymchuk, A.; Karepina, E.; Yunda, E.; Bozhko, I.; Lyamina, G.; Kuznetsov, D.; Gusev, A.; Kosova, N. Aggregation of manufactured nanoparticles in aqueous solutions of mono- and bivalent electrolytes. J. Nanopart. Res. 2015, 17, 211. [Google Scholar] [CrossRef]
- El Badawy, A.M.; Luxton, T.P.; Silva, R.G.; Scheckel, K.G.; Suidan, M.T.; Tolaymat, T.M. Impact of Environmental Conditions (pH, Ionic Strength, and Electrolyte Type) on the Surface Charge and Aggregation of Silver Nanoparticles Suspensions. Environ. Sci. Technol. 2010, 44, 1260–1266. [Google Scholar] [CrossRef] [PubMed]
- Aryal, S.; Bahadur, R.; Bhattarai, K.C.N.; Kim, C.K.; Kim, H.Y. Study of electrolyte induced aggregation of gold nanoparticles capped by amino acids. J. Colloid Interface Sci. 2006, 299, 191–197. [Google Scholar] [CrossRef] [PubMed]
- Dzhardimalieva, G.I.; Uflyand, I.E.; Zhinzhilo, V.A. Metal-polymer nanocomposites based on metal-containing monomers. Russ. Chem. Bull. 2022, 71, 2052–2075. [Google Scholar] [CrossRef]
- Dzhardimalieva, G.I.; Uflyand, I.E. Conjugated Thermolysis of Metal-Containing Monomers: Toward Core–Shell Nanostructured Advanced Materials. J. Inorg. Organomet. Polym. Mater. 2020, 30, 88–110. [Google Scholar] [CrossRef]
- Mohamed, M.A.; Mansour, S.A.A.; Hussien, G.A.M. Non-isothermal decomposition of silver maleate dihydrate and anhydrous silver fumarate. J. Therm. Anal. 1994, 41, 405–417. [Google Scholar] [CrossRef]
- Smith, G.; Sagatys, D.S.; Dahlgren, C.; Lynch, D.E.; Bott, R.C.; Byriel, K.A.; Kennard, C.H.L. Structures of the silver(I) complexes with maleic and fumaric acids: Silver(I) hydrogen maleate, silver(I) maleate and silver(I) fumarate. Z. Krist. New Cryst. Struct. 1995, 210, 44–48. [Google Scholar] [CrossRef]
- Yudanova, L.I.; Logvinenko, V.A.; Yudanov, N.F.; Rudina, N.A.; Ishchenko, A.V.; Semyannikov, P.P.; Sheludyakova, L.A.; Alferova, N.I.; Romanenko, A.I.; Anikeeva, O.B. Preparation of metal-polymer composites through the thermolysis of Fe(II), Co(II), and Ni(II) maleates. Inorg. Mater. 2013, 49, 1055–1060. [Google Scholar] [CrossRef]
- Kolesnikova, T.S.; Zarubina, A.O.; Gorbunova, M.O.; Zhinzhilo, V.A.; Dzhardimalieva, G.I.; Uflyand, I.E. Silver Itaconate as Single-Source Precursor of Nanocomposites for the Analysis of Chloride Ions. Materials 2022, 15, 8376. [Google Scholar] [CrossRef]
- Gorbunova, M.O.; Apyari, V.V.; Baulina, A.A.; Garshina, M.S.; Kulyaginova, M.S.; Shevchenko, A.V.; Furletov, A.A.; Dmitrienko, S.G.; Zolotov, Y.A. An improved step-by-step airflow/paper-based colorimetric method for highly selective determination of halides in complex matrices. Talanta 2020, 219, 121254. [Google Scholar] [CrossRef] [PubMed]
- Gorbunova, M.O.; Garshina, M.S.; Kulyaginova, M.S.; Apyari, V.V.; Furletov, A.A.; Garshev, A.V.; Dmitrienko, S.G.; Zolotov, Y.A. A dynamic gas extraction-assisted paper-based method for colorimetric determination of bromides. Anal. Methods 2020, 12, 587–594. [Google Scholar] [CrossRef]
- Gorbunova, M.O.; Baulina, A.A.; Kulyaginova, M.S.; Apyari, V.V.; Furletov, A.A.; Garshev, A.V.; Dmitrienko, S.G. Determination of iodide based on dynamic gas extraction and colorimetric detection by paper modified with silver triangular nanoplates. Microchem. J. 2019, 145, 729–736. [Google Scholar] [CrossRef]
- Gorbunova, M.O.; Bayan, E.M. A novel paper-based sensor for determination of halogens and halides by dynamic gas extraction. Talanta 2019, 199, 513–521. [Google Scholar] [CrossRef] [PubMed]
- Gorbunova, M.O.; Baulina, A.A.; Kulyaginova, M.S.; Apyari, V.V.; Furletov, A.A.; Volkov, P.A.; Bochenkov, V.E.; Starukhin, A.S.; Dmitrienko, S.G. Dynamic gas extraction of iodine in combination with a silver triangular nanoplate-modified paper strip for colorimetric determination of iodine and of iodine-interacting compounds. Microchim. Acta 2019, 186, 188. [Google Scholar] [CrossRef]
- Uflyand, I.E.; Gorbunova, M.O.; Zhinzhilo, V.A.; Kolesnikova, T.S.; Zarubina, A.O.; Baimuratova, R.K.; Dzhardimalieva, G.I. Preparation of Ag/C Nanocomposites Based on Silver Maleate and Their Use for the Analysis of Iodine Ions. J. Compos. Sci. 2022, 6, 384. [Google Scholar] [CrossRef]
- Apyari, V.V.; Dmitrienko, S.G. Using a digital camera and computer data processing for the determination of organic substances with diazotized polyurethane foams. J. Anal. Chem. 2008, 63, 530–537. [Google Scholar] [CrossRef]
- Skoog, D.A.; West, D.M.; Holler, F.J.; Crouch, S.R. Fundamentals of Analytical Chemistry, 9th ed.; Brooks/Cole Publishing Company: Belmont, CA, USA, 2014. [Google Scholar]




























| Symbol | Paper Grade | Manufacturer | Paper Specifications |
|---|---|---|---|
| A | 595 | Whatman (Cytiva, Little Chalfont, Buckinghamshire, UK) | Density 62.5 g/m2, thickness 0.17 mm, pore diameter 7–11 μm |
| B | 597 | Density 85 g/m2, thickness 0.18 mm, pore diameter 4–7 μm | |
| C | 598-A | Density 75 g/m2, thickness 0.19 mm, pore diameter 5–7 μm | |
| D | B1 | JSC Goznak (St. Petersburg, Russia) | Density 200 g/m2, thickness 0.3 mm, pore diameter 7–11 μm |
| E | FN 18 | Filtrak (Filtra acido hydrochlorico extracta) (Spezialpapierfabrik Niederschlag, Germany) | Density 280 g/m2, thickness 0.4 mm, pore diameter 7–11 μm |
| Sample | Paper Type | Dropping Method | Immersion Method | Multiplicity of Processing |
|---|---|---|---|---|
| 1 | A | d | h | 1 |
| 2 | B | d | h | 1 |
| 3 | C | d | h | 1 |
| 4 | D | d | h | 1 |
| 5 | E | d | h | 1 |
| 6 | A | d | h | 2 |
| 7 | B | d | h | 2 |
| 8 | A | i | v | 1 |
| 9 | A | i | h | 1 |
| 10 | B | i | v | 1 |
| 11 | B | i | h | 1 |
| 12 | A | i | h | 2 |
| 13 | B | i | h | 2 |
| 14 | A | i | h | 3 |
| 15 | B | i | h | 3 |
| 16 | A | i | h | 4 |
| Element | Content, % |
|---|---|
| C | 18.2 ± 0.1 |
| H | 1.76 ± 0.23 |
| Ag | 80.24 ± 0.37 |
| mg/L | 0.0 | 0.15 | 0.3 | 0.6 | 1.2 | 1.8 | 2.4 |
|---|---|---|---|---|---|---|---|
![]() | |||||||
| R | 102 | 116 | 142 | 183 | 210 | 217 | 226 |
| G | 94 | 105 | 126 | 150 | 167 | 170 | 173 |
| B | 85 | 95 | 108 | 128 | 141 | 145 | 148 |
| Color Coordinate | Regression Parameters | ||||
|---|---|---|---|---|---|
| y0 | A | t | A/t | R | |
| R | 96 ± 6 | 132 ± 8 | 0.65 ± 0.12 | 203 | 0.9893 |
| G | 91 ± 4 | 84 ± 5 | 0.54 ± 0.09 | 156 | 0.9899 |
| B | 83 ± 2 | 66 ± 3 | 0.59 ± 0.08 | 111 | 0.9939 |
| Added Cl−, mg L−1 | Ion | Found Cl−, mg L−1 | Relative Error, % | Lower Limit of Tolerance (mol/mol) |
|---|---|---|---|---|
| 0 | Each ion | <LOD | - | - |
| 0.6 | Na+ | 0.610 | +2 | 1.4 × 105 |
| K+ | 0.604 | +1 | 7.1 × 104 | |
| Mg2+ | 0.587 | −2 | 7.1 × 104 | |
| Ca2+ | 0.558 | −7 | 7.1 × 104 | |
| Sr2+ | 0.617 | +3 | 7.1 × 104 | |
| Ba2+ | 0.613 | +2 | 7.1 × 104 | |
| Mn2+ | 0.582 | −3 | 7.1 × 104 | |
| Zn2+ | 0.586 | −2 | 7.1 × 104 | |
| NH4+ | 0.606 | +1 | 7.1 × 104 | |
| Fe3+ | 0.611 | +2 | 7.1 × 104 | |
| NO3− | 0.565 | −6 | 1.4 × 105 | |
| HPO42− | 0.605 | +1 | 7.1 × 104 | |
| H2PO4− | 0.606 | +1 | 7.1 × 104 | |
| SO42− | 0.588 | −2 | 7.1 × 104 | |
| C2O42− | 0.584 | −3 | 7.1 × 104 | |
| Cr2O72− | 0.612 | +2 | 7.1 × 104 |
| Sample | Added Cl−, mg L−1 | Found (mg L−1) by | Ftheor | Recovery (%) | |||
|---|---|---|---|---|---|---|---|
| Proposed Method | Control Method * | ||||||
| Xav ± δ | RSD (%) | Xav ± δ | RSD (%) | ||||
| 1 | - | 129 ± 3 | 1.4 | 135 ± 2 | 1.0 | 1.19 | 95.6 |
| 5.0 | 133 ± 4 | 1.9 | 140 ± 3 | 1.3 | 1.76 | 95.0 | |
| 2 | - | 131 ± 2 | 1.0 | 128 ± 2 | 1.0 | 1.17 | 102.3 |
| 10.0 | 140 ± 7 | 3.2 | 136 ± 4 | 1.9 | 0.33 | 102.9 | |
| 3 | - | 133 ± 4 | 1.9 | 127 ± 3 | 1.5 | 1.57 | 104.7 |
| 30.0 | 159 ± 5 | 2.0 | 161 ± 6 | 2.3 | 0.69 | 98.8 | |
| A Drug/ Substance/ Manufacturer | Concomitant Substances | Found (mg) by | Ftheor | Recovery (%) | |||
|---|---|---|---|---|---|---|---|
| Proposed Method | Control Method * | ||||||
| Xav ± δ | RSD (%) | Xav ± δ | RSD (%) | ||||
| “Magnesium B6 effervescent tablets”/ pyridoxine hydrochloride (vitamin B6)—1.4 мг C8H11HO3•HCl/ Pez Production Europe Kft, Hungary | citric acid, sodium bicarbonate, sugar, magnesium bicarbonate flavoring, aspartame, yellow dye: sodium salt of riboflavin 5-phosphate | 1.45 ± 0.11 | 6.1 | 1.39 ± 0.12 | 6.9 | 1.21 | 104.3 |
| «Anaprilin Reneval»/Propranolol hydrochloride—10 mg C16H21NO2•HCl/ Renewal of PFK JSC, Russia | Sucrose, potato starch, calcium stearate, talc | 9.4 ± 0.8 | 6.8 | 10.2 ± 1.1 | 8.7 | 2.27 | 92.2 |
| “Formetin”/Metformin hydrochloride—500 mg C4H11N5•HCl/Pharmstandard-Leksredstva, Russia | Povidone, croscarmellose sodium (primellose), magnesium stearate | 509 ± 21 | 3.3 | 491 ± 18 | 2.9 | 1.36 | 103.6 |
| Canned Fish in Tomato Sauce (Russian GOST 16978-99) | Found ω (%) by | Fexp | Recovery (%) | |||||
|---|---|---|---|---|---|---|---|---|
| Proposed Method (25 min) with Elimination of Acetic Acid (45 min) | Control Method * with Ashing (4.5 h) | |||||||
| Xav ± δ | Δ, % | RSD (%) | Xav ± δ | Δ, % | RSD (%) | |||
| Pink salmon | 1.60 ± 0.11 | 6.9 | 2.8 | 1.51 ± 0.12 | 8.0 | 3.2 | 1.31 | 105.9 |
| Smelt | 1.19 ± 0.08 | 6.7 | 2.7 | 1.32 ± 0.12 | 9.1 | 3.6 | 1.78 | 90.2 |
| Sprat | 1.90 ± 0.07 | 2.6 | 1.5 | 2.1 ± 0.2 | 9.5 | 3.8 | 6.42 | 90.5 |
| Gobies | 1.40 ± 0.05 | 3.5 | 1.4 | 1.29 ± 0.11 | 8.5 | 3.4 | 5.90 | 108.5 |
Disclaimer/Publisher’s Note: The statements, opinions and data contained in all publications are solely those of the individual author(s) and contributor(s) and not of MDPI and/or the editor(s). MDPI and/or the editor(s) disclaim responsibility for any injury to people or property resulting from any ideas, methods, instructions or products referred to in the content. |
© 2023 by the authors. Licensee MDPI, Basel, Switzerland. This article is an open access article distributed under the terms and conditions of the Creative Commons Attribution (CC BY) license (https://creativecommons.org/licenses/by/4.0/).
Share and Cite
Gorbunova, M.O.; Uflyand, I.E.; Zhinzhilo, V.A.; Zarubina, A.O.; Kolesnikova, T.S.; Spirin, M.G.; Dzhardimalieva, G.I. Preparation of Reactive Indicator Papers Based on Silver-Containing Nanocomposites for the Analysis of Chloride Ions. Micromachines 2023, 14, 1682. https://doi.org/10.3390/mi14091682
Gorbunova MO, Uflyand IE, Zhinzhilo VA, Zarubina AO, Kolesnikova TS, Spirin MG, Dzhardimalieva GI. Preparation of Reactive Indicator Papers Based on Silver-Containing Nanocomposites for the Analysis of Chloride Ions. Micromachines. 2023; 14(9):1682. https://doi.org/10.3390/mi14091682
Chicago/Turabian StyleGorbunova, Marina O., Igor E. Uflyand, Vladimir A. Zhinzhilo, Anastasiya O. Zarubina, Tatiana S. Kolesnikova, Maxim G. Spirin, and Gulzhian I. Dzhardimalieva. 2023. "Preparation of Reactive Indicator Papers Based on Silver-Containing Nanocomposites for the Analysis of Chloride Ions" Micromachines 14, no. 9: 1682. https://doi.org/10.3390/mi14091682
APA StyleGorbunova, M. O., Uflyand, I. E., Zhinzhilo, V. A., Zarubina, A. O., Kolesnikova, T. S., Spirin, M. G., & Dzhardimalieva, G. I. (2023). Preparation of Reactive Indicator Papers Based on Silver-Containing Nanocomposites for the Analysis of Chloride Ions. Micromachines, 14(9), 1682. https://doi.org/10.3390/mi14091682


