Design and Experimental Study of Shape Memory Alloy and Piezoelectric Composite Power Generation Device
Abstract
1. Introduction
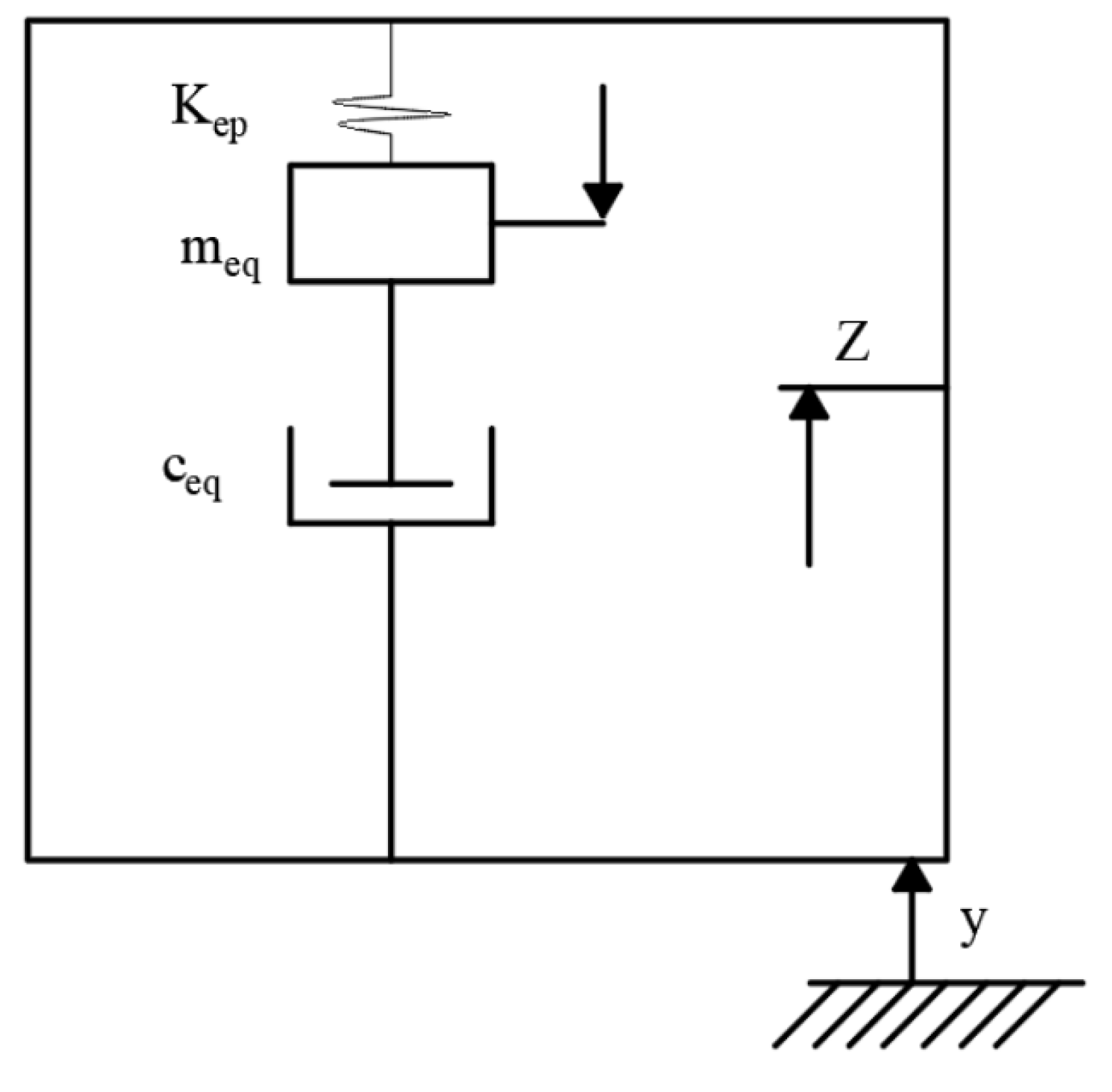
2. Structural Design and Working Principle
3. Simulation and Theoretical Analysis
3.1. Shape Memory Alloy Shrinkage Analysis
3.2. Piezoelectric Thin Film Voltage Simulation Analysis
3.3. Parametric Analysis of Piezoelectric Films
4. Experimental Testing
4.1. Shrinkage Performance Testing of Shape Memory Alloys
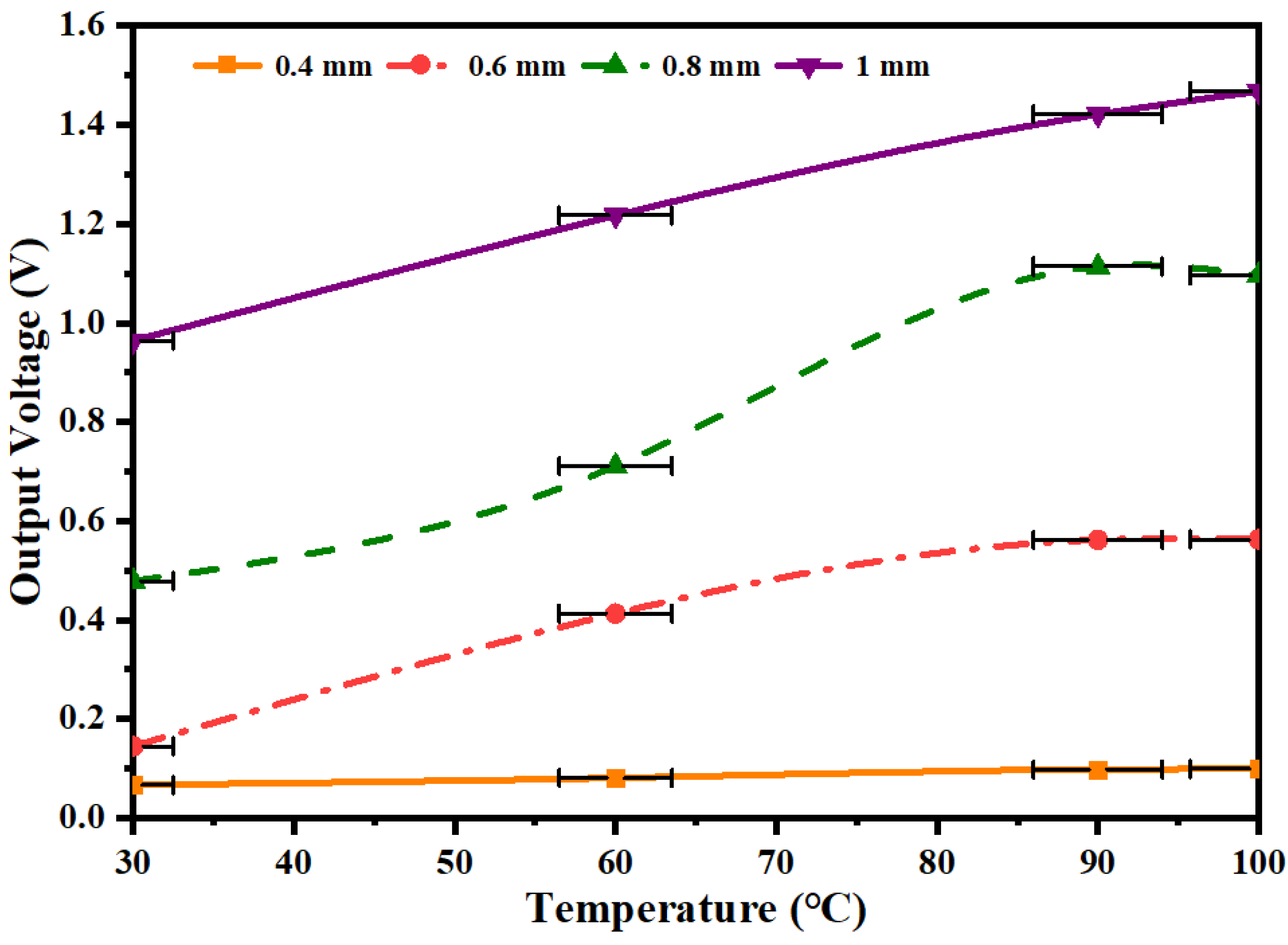
4.2. Test of Shape Memory Alloy Wire Diameter on Film Output Voltage
4.3. Test of Different Piezoelectric Film Shapes on the Output Voltage of the Trap
4.4. Effect of Different Film Parameters on the Output Performance of Energy Traps
4.5. Effect of Different Piezoelectric Film Thickness on Output Performance
4.6. LED Lighting Experiment Test
5. Conclusions
Author Contributions
Funding
Data Availability Statement
Conflicts of Interest
References
- Huang, C. Design and Research of New Energy Technology in Electric Power Information Intelligent System. J. Phys. Conf. Ser. 2021, 2074, 012016. [Google Scholar]
- Zhang, Y.; Liang, J. Analysis of The Impact of New Energy Development and Utilization on The Environment and Economic Growth. IOP Conf. Ser. Earth Environ. Sci. 2021, 781, 042041. [Google Scholar]
- Bouchhima, N.; Gossen, M.; Schulte, S.; Birke, K.P. Lifetime of self-reconfigurable batteries compared with conventional batteries. J. Energy Storage 2018, 15, 400–407. [Google Scholar] [CrossRef]
- Sengupta, A.S.; Satpathy, S.; Mohanty, S.P.; Baral, D.; Bhattacharyya, B.K. Supercapacitors Outperform Conventional Batteries. IEEE Consum. Electron. Mag. 2018, 7, 50–53. [Google Scholar] [CrossRef]
- Giovanni, M.; Ding, Y.; Adriano, S. A structured procedure for the selection of thermal energy storage options for utilization and conversion of industrial waste heat. J. Energy Storage 2022, 51, 104411. [Google Scholar]
- Fang, H.; Xia, J.; Lu, A.; Jiang, Y. An operation strategy for using a ground heat exchanger system for industrial waste heat storage and extraction. Build. Simul. 2014, 7, 197–204. [Google Scholar] [CrossRef]
- Zhang, C.; Wang, C.; Gao, M.; Liu, C. Emergy-based sustainability measurement and evaluation of industrial production systems. Environ. Sci. Pollut. Res. Int. 2022, 30, 22375–22387. [Google Scholar]
- Yang, S.P.; Chi, Y.B.; Wang, M.; Dong, J.; Zhang, C.R.; She, Y. Study on Technology of Blast Furnace Energy Saving and Consumption Reduction. Adv. Mater. Res. 2012, 1790, 1231–1234. [Google Scholar] [CrossRef]
- Mahdi, A.; Iman, L.; Mahdi, M.F.; Asadi, M.; Larki, I.; Forootan, M.M.; Ahmadi, R.; Farajollahi, M. Long-Term Scenario Analysis of Electricity Supply and Demand in Iran: Time Series Analysis, Renewable Electricity Development, Energy Efficiency and Conservation. Sustainability 2023, 15, 4618. [Google Scholar]
- Hadjistassou, C.; Kyriakides, E.; Georgiou, J. Designing high efficiency segmented thermoelectric generators. Energy Convers. Manag. 2013, 66, 165–172. [Google Scholar] [CrossRef]
- Messina, R.; Benabdallah, P. Graphene–based photovoltaic cells for near-field thermal energy conversion. Sci. Rep. 2013, 3, 1383. [Google Scholar] [CrossRef] [PubMed]
- Liu, C.; Chen, R.; Zhang, Y.; Wang, L.; Qin, J. A novel fully floating three-body system for direct-drive wave energy converter. Int. J. Appl. Electromagn. Mech. 2021, 65, 803–818. [Google Scholar]
- Liu, J.; Sun, H.; Li, Y.; Fang, W.; Niu, S. An Improved Power System Transient Stability Prediction Model Based on mRMR Feature Selection and WTA Ensemble Learning. Appl. Sci. 2020, 10, 10072255. [Google Scholar] [CrossRef]
- Li, X.; Liu, S.; Tong, L.; Gao, R. A novel dual-stage shape memory alloy actuated gripper. Ind. Robot Int. J. Robot. Res. Appl. 2023, 50, 326–336. [Google Scholar]
- Li, Z.; Zhao, L.; Wang, J.; Yang, Z.; Peng, Y.; Xie, S.; Ding, J. Piezoelectric energy harvesting from extremely low-frequency vibrations via gravity induced self-excited resonance. Renew. Energy 2023, 204, 546–555. [Google Scholar]
- Yu, H.; Zhang, X.; Shan, X.; Hu, L.; Zhang, X.; Hou, C.; Xie, T. A Novel Bird-Shape Broadband Piezoelectric Energy Harvester for Low Frequency Vibrations. Micromachines 2023, 14, 421. [Google Scholar]
- Cao, D.; Liu, C.; Liu, Z.; Zhang, S. A power generation device based on shape memory alloy and piezoelectric ceramic. Mater. Chem. Phys. 2023, 301, 127598. [Google Scholar]
- Wang, W.; Cao, J.; Zhang, N.; Lin, J.; Liao, W.-H. Magnetic-spring based energy harvesting from human motions: Design, modeling and experiments. Energy Convers. Manag. 2017, 132, 189–197. [Google Scholar] [CrossRef]
- Yu, J.; Ikura, M. Experimental Study on Applying the Pyroelectric Effect to Low-Grade Waste-Heat Power Recovery. J. Xi’an Jiaotong Univ. 2004, 38, 28–31. [Google Scholar]
- Li, X.; Zhang, Y.; Ding, H.; Chen, L. Integration of a nonlinear energy sink and a piezoelectric energy harvester. Appl. Math. Mech. 2017, 38, 1019–1030. [Google Scholar] [CrossRef]
- Yang, Y.; Pradel, K.C.; Jing, Q.; Wu, J.M.; Zhang, F.; Zhou, Y.; Zhang, Y.; Wang, Z.L. Thermoelectric nanogenerators based on single Sb-doped ZnO micro/nanobelts. Acs Nano 2012, 6, 6984–6989. [Google Scholar] [CrossRef]
- Reedlunn, B.; Daly, S.; Shaw, J. Superelastic shape memory alloy cables: Part I–Isothermal tension experiments. Int. J. Solids Struct. 2013, 50, 3009–3026. [Google Scholar] [CrossRef]
- Zook, J.D.; Liu, S.T. Pyroelectric effects in thin film. J. Appl. Phys. 1978, 49, 4604–4606. [Google Scholar] [CrossRef]
- Oudich, A.; Thiebaud, F. A two-way shape memory alloy-piezoelectric bimorph for thermal energy harvesting. Mech. Mater. 2016, 102, 1–6. [Google Scholar] [CrossRef]
- Mohamadi, R.; Ashrafi, M.J. Thermal Energy Harvesting in a Composite Beam Using Piezoelectric, One-Way and Two-Way Shape Memory Alloys. Int. J. Appl. Mech. 2023, 15, 2350012. [Google Scholar] [CrossRef]
- Lu, Q.; Liu, L.; Lan, X.; Liu, Y.; Leng, J. Dynamic responses of SMA-epoxy composites and application for piezoelectric energy harvesting. Compos. Struct. 2016, 153, 843–850. [Google Scholar] [CrossRef]
- Chang, H.H.S.; Huang, Z. Laminate composites with enhanced pyroelectric effects for energy harvesting. Smart Mater. Struct. 2010, 19, 065018. [Google Scholar] [CrossRef]
- Liang, C.; Rogers, C. One-Dimensional Thermomechanical Constitutive Relationsfor Shape Memory Materials. J. Intell. Mater. Syst. Struct. 1997, 1, 207–234. [Google Scholar] [CrossRef]
- Sun, L.; Huang, W.M.; Ding, Z.; Zhao, Y.; Wang, C.C.; Purnawali, H.; Tang, C. Stimulus-responsive shape memory materials: A review. Mater. Des. 2011, 33, 577–640. [Google Scholar] [CrossRef]
















| Material Parameters | C1 | C2 | C3 | C4 | C5 | C6 |
|---|---|---|---|---|---|---|
| Value (Mpa) | 520 | 600 | 300 | 200 | 0.07 | 0 |
| Materials | Modulus of Elasticity (GPa) | Density (kg/m3) | Young’s Modulus (GPa) | Poisson’s Ratio |
|---|---|---|---|---|
| PVDF | 2.5 | 1780 | 1.12 | 0.3 |
| Shape | Length/Bottom (mm) | Width/Height (mm) | Thickness (mm) |
|---|---|---|---|
| Triangles | 20 | 80 | 0.2 |
| Rectangle | 40 | 20 | 0.2 |
| Trapezoid | Upper base 30, lower base 50 | 20 | 0.2 |
| Bottom Edge (mm) | Height (mm) | Thickness (mm) | |
|---|---|---|---|
| Triangle A | 20 | 80 | 0.2 |
| Triangle B | 40 | 40 | 0.2 |
| Triangle C | 53 | 30.2 | 0.2 |
Disclaimer/Publisher’s Note: The statements, opinions and data contained in all publications are solely those of the individual author(s) and contributor(s) and not of MDPI and/or the editor(s). MDPI and/or the editor(s) disclaim responsibility for any injury to people or property resulting from any ideas, methods, instructions or products referred to in the content. |
© 2023 by the authors. Licensee MDPI, Basel, Switzerland. This article is an open access article distributed under the terms and conditions of the Creative Commons Attribution (CC BY) license (https://creativecommons.org/licenses/by/4.0/).
Share and Cite
Yang, F.; Shi, Y.; Liu, J.; Wang, Z.; Tian, X. Design and Experimental Study of Shape Memory Alloy and Piezoelectric Composite Power Generation Device. Micromachines 2023, 14, 1434. https://doi.org/10.3390/mi14071434
Yang F, Shi Y, Liu J, Wang Z, Tian X. Design and Experimental Study of Shape Memory Alloy and Piezoelectric Composite Power Generation Device. Micromachines. 2023; 14(7):1434. https://doi.org/10.3390/mi14071434
Chicago/Turabian StyleYang, Fengshuang, Yingyu Shi, Jinlong Liu, Zhicong Wang, and Xiaochao Tian. 2023. "Design and Experimental Study of Shape Memory Alloy and Piezoelectric Composite Power Generation Device" Micromachines 14, no. 7: 1434. https://doi.org/10.3390/mi14071434
APA StyleYang, F., Shi, Y., Liu, J., Wang, Z., & Tian, X. (2023). Design and Experimental Study of Shape Memory Alloy and Piezoelectric Composite Power Generation Device. Micromachines, 14(7), 1434. https://doi.org/10.3390/mi14071434
