A Miniaturized Piezo Stack Impact Actuation Mechanism for Out-of-Plane Freely Moveable Masses
Abstract
:1. Introduction
2. Experimental Setup
2.1. Mechanical and Electric Setup
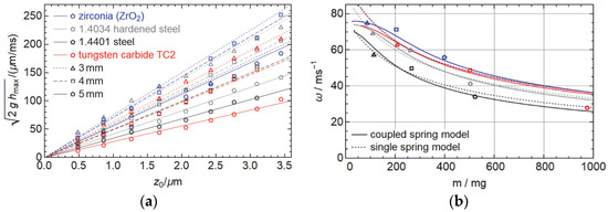
2.2. Setup Characterization
2.3. Mechanical Model
3. Measurements and Discussion
3.1. Measurement Protocol
- >0.5 ms deviation of the actual flight time from the expected flight time obtained from the maximum height;
- >1% or 2 µm/ms deviation of the initial speed from kinematic expectation;
- >4% deviation from the gravitational acceleration;
- A horizontal speed (obtained from the measured acceleration and sphere diameter) greater than 20 µm/ms or 15% of the vertical speed.
3.2. Measurement Results
4. Conclusions
Author Contributions
Funding
Data Availability Statement
Conflicts of Interest
References
- Lee, A.P.; Nikkel, D.J., Jr.; Pisano, A.P. Polysilicon linear microvibromotors. In Proceedings of the TRANSDUCERS 1993, 7th International Conference Solid-State Sensors and Actuators, Yokohama, Japan, 7–10 June 1993; pp. 46–49. [Google Scholar]
- Daneman, M.J.; Tien, N.C.; Solgaard, O.; Pisano, A.P.; Lau, K.Y.; Muller, R.S. Linear microvibromotor for positioning optical components. J. Microelectromech. Syst. 1996, 5, 159–165. [Google Scholar] [CrossRef]
- Pan, Q.S.; Zhao, M.F.; Wang, Y.; Li, C.; Huang, Q.X.; Huang, B.; Li, R.J. Design, simulation, and motion characteristics of a novel impact piezoelectric actuator using double stators. Smart. Mater. Struc. 2022, 31, 075012. [Google Scholar] [CrossRef]
- He, L.; Li, K.; Yan, Y.; Wang, Y.; Xiao, F.; Ge, X.; Gao, G.; Shan, Z.; Dou, H. Resonant-type inertial impact linear piezoelectric motor based on coupling of driving and clamping parts. Smart Mater. Struct. 2022, 31, 095026. [Google Scholar] [CrossRef]
- Lu, L.; Poletkin, K.V.; den Hartogh, B.; Wallrabe, U.; Badilita, V. 3D micro-machined inductive contactless suspension: Testing and modelling. Sens. Actuators A 2014, 220, 134–143. [Google Scholar]
- Poletkin, K.V.; Lu, Z.; Wallrabe, U.; Badilita, V. A New Hybrid Micromachined Contactless Suspension with Linear and Angular Positioning and Adjustable Dynamics. J. Microelectromech. Syst. 2015, 24, 1248–1250. [Google Scholar] [CrossRef]
- Bunge, F.; Leopold, S.; Hoffmann, M. Scanning micromirror for large, quasi-static 2D-deflections based on electrostatic driven rotation of a hemisphere. Sens. Actuators A Phys. 2016, 243, 159–166. [Google Scholar] [CrossRef]
- Mita, M.; Arai, M.; Tensaka, S.; Kobayashi, D.; Fujita, H. A micromachined impact actuator driven by electrostatic force. J. Microelectromech. Syst. 2003, 12, 37–41. [Google Scholar] [CrossRef]
- Zhao, X.; Dankowicz, H.; Reddy, C.K.; Nayfeh, A.H. Modeling and simulation methodology for impact microactuators. J. Micromech. Microeng. 2004, 14, 775–784. [Google Scholar] [CrossRef]
- Mita, M.; Takahashi, K.; Ataka, M.; Fujita, H.; Toshiyoshi, H. Highly-mobile 2d micro impact actuator for space applications. In Proceedings of the TRANDUCERS & EUROSENSORS 2007, 14th International Conference on Solid-State Sensors, Actuaors, and Microsystems, Lyon, France, 10–14 June 2007; pp. 679–682. [Google Scholar]
- Pyo, D.; Yang, T.-H.; Ryu, S.; Kwon, D.-S. Novel linear impact-resonant actuator for mobile applications. Sens. Actuators A Phys. 2015, 233, 469–471. [Google Scholar] [CrossRef]
- Morita, T.; Murakami, H.; Yokose, T.; Hosaka, H. A miniaturized resonant-type smooth impact drive mechanism actuator. Sens. Actuators A Phys. 2012, 178, 188–192. [Google Scholar] [CrossRef]
- Hattori, S.; Hara, M.; Nabae, H.; Hwang, D.; Higuchi, T. Design of an impact drive actuator using a shape memory alloy wire. Sens. Actuators A Phys. 2014, 219, 47–57. [Google Scholar] [CrossRef]
- Ohmichi, O.; Yamagata, Y.; Higuchi, T. Micro impact drive mechanisms using optically excited thermal expansion. J. Microelectromech. Syst. 1997, 6, 200–207. [Google Scholar] [CrossRef]
- Akiyama, T.; Shono, K. Controlled stepwise motion in polysilicon microstructures. J. Microelectromech. Syst. 1993, 2, 106–110. [Google Scholar] [CrossRef]
- Akiyama, T.; Collard, D.; Fujita, H. Scratch drive actuator with mechanical links for self-assembly of three-dimensional MEMS. J. Microelectromech. Syst. 1997, 6, 10–17. [Google Scholar] [CrossRef]
- Linderman, R.J.; Bright, V. Nanometer precision positioning robots using optimized scratch drive actuators. Sens. Actuators A Phys. 2001, 91, 292–300. [Google Scholar] [CrossRef]
- Kugel-Winnie Website. Available online: https://www.kugel-winnie.de/epages/62136757.sf/de_DE/?ObjectPath=/Shops/62136757/Categories/Kugeln (accessed on 29 May 2023).
- Kugel-Winnie Data Sheets. Available online: https://www.kugel-winnie.de/epages/62136757.sf/de_DE/?ObjectPath=/Shops/62136757/Categories/Infos (accessed on 29 May 2023).
- Syalons Website. Available online: https://www.syalons.com/materials/zirconia/ (accessed on 29 May 2023).
- Virgamet Website. Available online: https://virgamet.com/x46cr13-x40cr14-z44c14-x39cr13-x46crs13-s42080-stainless-steel (accessed on 29 May 2023).
- Thyssen-Krupp Website. Available online: https://www.thyssenkrupp-materials.co.uk/stainless-steel-316-14401.html (accessed on 29 May 2023).
- Matweb. Available online: https://www.matweb.com/search/DataSheet.aspx?MatGUID=e68b647b86104478a32012cbbd5ad3ea (accessed on 29 May 2023).
- Bruno, B.P.; Fahmy, A.R.; Stürmer, M.; Wallrabe, U.; Wapler, M.C. Properties of piezoceramic materials in high electric field actuator applications. Smart Mater. Struct. 2019, 28, 015029. [Google Scholar] [CrossRef]
- Wapler, M.C.; Brunne, J.; Wallrabe, U. A new dimension for piezo actuators: Free-form out-of-plane displacement of single piezo layers. Smart Mater. Struct. 2013, 22, 102001. [Google Scholar] [CrossRef]
- Wapler, M.C.; Stürmer, M.; Wallrabe, U. A Compact, Large-Aperture Tunable Lens with Adaptive Spherical Correction. In Proceedings of the 2014 International Symposium on Optomechatronic Technologies, Seattle, WA, USA, 5–7 November 2014. [Google Scholar]







| Material | Density 1 | Y-Modulus | Hardness |
|---|---|---|---|
| Zirconia (ZrO2) | 6090 kg/m3 | 205 GPa 4 | 1200–1400 HV 2, 78 HRC 3 |
| 1.4034 hardened steel | 7710 kg/m3 | 215 GPa 5 | 54–60 HRC 2, 60 HRC 3 |
| 1.4401 untreated steel | 7990 kg/m3 | 200 GPa 6 | 25–39 HRC 2,3 |
| Tungsten carbide TC2 | 14,800 kg/m3 | 669–696 GPa 7 | 1400–1600 HV 2, 78 HRC 3 |
Disclaimer/Publisher’s Note: The statements, opinions and data contained in all publications are solely those of the individual author(s) and contributor(s) and not of MDPI and/or the editor(s). MDPI and/or the editor(s) disclaim responsibility for any injury to people or property resulting from any ideas, methods, instructions or products referred to in the content. |
© 2023 by the authors. Licensee MDPI, Basel, Switzerland. This article is an open access article distributed under the terms and conditions of the Creative Commons Attribution (CC BY) license (https://creativecommons.org/licenses/by/4.0/).
Share and Cite
Wapler, M.C.; Peter, C.; Kanjilal, K.; Wallrabe, U. A Miniaturized Piezo Stack Impact Actuation Mechanism for Out-of-Plane Freely Moveable Masses. Micromachines 2023, 14, 1192. https://doi.org/10.3390/mi14061192
Wapler MC, Peter C, Kanjilal K, Wallrabe U. A Miniaturized Piezo Stack Impact Actuation Mechanism for Out-of-Plane Freely Moveable Masses. Micromachines. 2023; 14(6):1192. https://doi.org/10.3390/mi14061192
Chicago/Turabian StyleWapler, Matthias C., Constantin Peter, Koustav Kanjilal, and Ulrike Wallrabe. 2023. "A Miniaturized Piezo Stack Impact Actuation Mechanism for Out-of-Plane Freely Moveable Masses" Micromachines 14, no. 6: 1192. https://doi.org/10.3390/mi14061192
APA StyleWapler, M. C., Peter, C., Kanjilal, K., & Wallrabe, U. (2023). A Miniaturized Piezo Stack Impact Actuation Mechanism for Out-of-Plane Freely Moveable Masses. Micromachines, 14(6), 1192. https://doi.org/10.3390/mi14061192

