Simple Immunosensor Based on Carboxyl-Functionalized Multi-Walled Carbon Nanotubes @ Antimony-Doped Tin Oxide Composite Membrane for Aflatoxin B1 Detection
Abstract
1. Introduction
2. Experimental
2.1. Apparatus
2.2. Reagents and Materials
2.3. Preparation of MWCNTs-COOH @ ATO-CS Composites
2.4. Preparation of Immunosensor Based on SPCEs
2.4.1. Preparation of SPCEs
2.4.2. Preparation of AFB1/BSA/Ab/MWCNTs-COOH @ ATO-CS/SPCEs Immunosensor
2.4.3. Electrochemical Measurements
2.5. Immunosensor Specificity Analysis
2.6. Peanut Oil Sample Pretreatment Method
3. Results and Discussion
3.1. Characterizations of Modified Electrodes
3.2. Electrochemical Behavior of the Modified Electrodes
3.3. Optimization Parameters of the Immunosensor Performance
3.4. Calibration Curve
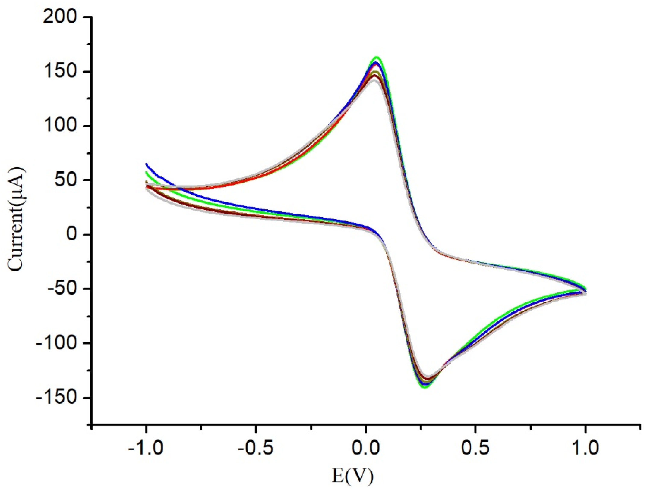
3.5. Selectivity and Stability of Immunosensor
3.6. Determination of Spiked Recovery of AFB1 in Peanut Oil
3.7. Sensor Performance Comparison
4. Conclusions
Author Contributions
Funding
Institutional Review Board Statement
Informed Consent Statement
Data Availability Statement
Conflicts of Interest
References
- Sengul, U. Comparing determination methods of detection and quantification limits for aflatoxin analysis in hazelnut. J. Food Drug Anal. 2016, 24, 56–62. [Google Scholar] [CrossRef] [PubMed]
- Liu, Y.; Liu, D.; Li, C.; Cui, S.; Yun, Z.; Zhang, J.; Wei, Y.; Sun, F. Chromatographic methods for rapid aflatoxin B1 analysis in food: A review. Crit. Rev. Food Sci. Nutr. 2022, 1–18. [Google Scholar] [CrossRef] [PubMed]
- Li, Y.; Zhao, C.; Lu, C.; Zhou, S.; Tian, G.; He, L.; Bao, Y.; Fauconnier, M.L.; Xiao, H.; Zheng, J. Simultaneous determination of 14 bioactive citrus flavonoids using thin-layer chromatography combined with surface enhanced Raman spectroscopy. Food Chem. 2021, 338, 128115. [Google Scholar] [CrossRef]
- Andrade, P.D.; Gomes da Silva, J.L.; Caldas, E.D. Simultaneous analysis of aflatoxins B1, B2, G1, G2, M1 and ochratoxin A in breast milk by high-performance liquid chromatography/fluorescence after liquid-liquid extraction with low temperature purification (LLE-LTP). J. Chromatogr. A 2013, 1304, 61–68. [Google Scholar] [CrossRef]
- Wang, L.; Wang, Z.; Gao, W.; Chen, J.; Yang, M.; Kuang, Y.; Huang, L.; Chen, S. Simultaneous determination of aflatoxin B(1) and ochratoxin A in licorice roots and fritillary bulbs by solid-phase extraction coupled with high-performance liquid chromatography-tandem mass spectrometry. Food Chem. 2013, 138, 1048–1054. [Google Scholar] [CrossRef]
- Huang, Z.; Shu, Z.; Xiao, A.; Pi, F.; Li, Y.; Dai, H.; Wang, J. Determination of aflatoxin B1 in rice flour based on an enzyme-catalyzed Prussian blue probe. LWT 2022, 162, 113500. [Google Scholar] [CrossRef]
- Myndrul, V.; Viter, R.; Savchuk, M.; Koval, M.; Starodub, N.; Silamikelis, V.; Smyntyna, V.; Ramanavicius, A.; Iatsunskyi, I. Gold coated porous silicon nanocomposite as a substrate for photoluminescence-based immunosensor suitable for the determination of Aflatoxin B1. Talanta 2017, 175, 297–304. [Google Scholar] [CrossRef]
- Ma, H.; Sun, J.; Zhang, Y.; Xia, S. Disposable amperometric immunosensor for simple and sensitive determination of aflatoxin B 1 in wheat. Biochem. Eng. J. 2016, 115, 38–46. [Google Scholar] [CrossRef]
- Yue, Q.; Li, X.; Fang, J.; Li, M.; Zhang, J.; Zhao, G.; Cao, W.; Wei, Q. Oxygen Free Radical Scavenger PtPd@PDA as a Dual-Mode Quencher of Electrochemiluminescence Immunosensor for the Detection of AFB1. Anal. Chem. 2022, 94, 11476–11482. [Google Scholar] [CrossRef]
- Kunene, K.; Sayegh, S.; Weber, M.; Sabela, M.; Voiry, D.; Iatsunskyi, I.; Coy, E.; Kanchi, S.; Bisetty, K.; Bechelany, M. Smart electrochemical immunosensing of aflatoxin B1 based on a palladium nanoparticle-boron nitride-coated carbon felt electrode for the wine industry. Talanta 2023, 253, 124000. [Google Scholar] [CrossRef]
- Wen, W.; Yan, X.; Zhu, C.; Du, D.; Lin, Y. Recent Advances in Electrochemical Immunosensors. Anal. Chem. 2017, 89, 138–156. [Google Scholar] [CrossRef] [PubMed]
- Abad-Gil, L.; Gismera, M.J.; Sevilla, M.T.; Procopio, J.R. Electrochemical sensing platform with gold nanoparticles capped by PDDA for benzyl alcohol determination. Mikrochim. Acta 2023, 190, 115. [Google Scholar] [CrossRef] [PubMed]
- Taherimaslak, Z.; Amoli-Diva, M.; Allahyary, M.; Pourghazi, K. Magnetically assisted solid phase extraction using Fe3O4 nanoparticles combined with enhanced spectrofluorimetric detection for aflatoxin M1 determination in milk samples. Anal. Chim. Acta 2014, 842, 63–69. [Google Scholar] [CrossRef]
- Sharma, A.; Kumar, A.; Khan, R. A highly sensitive amperometric immunosensor probe based on gold nanoparticle functionalized poly (3, 4-ethylenedioxythiophene) doped with graphene oxide for efficient detection of aflatoxin B1. Synth. Met. 2018, 235, 136–144. [Google Scholar] [CrossRef]
- Annu; Raja, A.-N. Recent development in chitosan-based electrochemical sensors and its sensing application. Int. J. Biol. Macromol. 2020, 164, 4231–4244. [Google Scholar] [CrossRef] [PubMed]
- Gao, W.; Guo, J.; Xiong, J.; Smith, A.T.; Sun, L. Improving thermal, electrical and mechanical properties of fluoroelastomer/amino-functionalized multi-walled carbon nanotube composites by constructing dual crosslinking networks. Compos. Sci. Technol. 2018, 162, 49–57. [Google Scholar] [CrossRef]
- Chen, D.; Liu, Z.; Fu, J.; Guo, Y.; Sun, X.; Yang, Q.; Wang, X. Electrochemical acetylcholinesterase biosensor based on multi-walled carbon nanotubes/dicyclohexyl phthalate modified screen-printed electrode for detection of chlorpyrifos. J. Electroanal. Chem. 2017, 801, 185–191. [Google Scholar] [CrossRef]
- Rahman, M.M.; Ahmed, J.; Asiri, A.M. Development of Creatine sensor based on antimony-doped tin oxide (ATO) nanoparticles. Sens. Actuators B Chem. 2017, 242, 167–175. [Google Scholar] [CrossRef]
- Tao, T.; Chen, C.; Qi, W.; Liang, B.; Yao, Y.; Lu, S.-G. Antimony doped tin oxide-coated LiNi0.5Co0.2Mn0.3O2 cathode materials with enhanced electrochemical performance for lithium-ion batteries. J. Alloy. Compd. 2018, 765, 601–607. [Google Scholar] [CrossRef]
- Xu, Q.-C.; Zhang, Q.-Q.; Sun, X.; Guo, Y.-M.; Wang, X.-Y. Aptasensors modified by antimony tin oxide nanoparticle-chitosan based on interdigitated array microelectrodes for tetracycline detection. RSC Adv. 2016, 6, 17328–17335. [Google Scholar] [CrossRef]
- Jiao, Y.; Jia, H.; Guo, Y.; Zhang, H.; Wang, Z.; Sun, X.; Zhao, J. An ultrasensitive aptasensor for chlorpyrifos based on ordered mesoporous carbon/ferrocene hybrid multiwalled carbon nanotubes. RSC Adv. 2016, 6, 58541–58548. [Google Scholar] [CrossRef]
- Liu, B.; Peng, J.; Wu, Q.; Zhao, Y.; Shang, H.; Wang, S. A novel screening on the specific peptide by molecular simulation and development of the electrochemical immunosensor for aflatoxin B1 in grains. Food Chem. 2022, 372, 131322. [Google Scholar] [CrossRef] [PubMed]
- Ou, G.; Zhao, A.; Liao, H.; Zhang, Z.; Xiao, F. Au nanopartics decorated urchin-like Bi2S3 on graphene wrapped carbon fiber microelectrode: Towards electrochemical immunosensor for sensitive determination of aflatoxin B1. J. Electroanal. Chem. 2023, 909, 117124. [Google Scholar] [CrossRef]
- Yu, L.; Zhang, Y.; Hu, C.; Wu, H.; Yang, Y.; Huang, C.; Jia, N. Highly sensitive electrochemical impedance spectroscopy immunosensor for the detection of AFB1 in olive oil. Food Chem. 2015, 176, 22–26. [Google Scholar] [CrossRef] [PubMed]








| Sample | AFB1 Addition(ng/mL) | Standard Current Difference (μA) | ΔI (μA) | RSD (%, n = 5) | Recovery Rate (%) |
|---|---|---|---|---|---|
| 1 | 10−1 | 5.82 | 5.6 | 5.2 | 95.15 |
| 2 | 10 | 9.14 | 10.2 | 3.2 | 111.60 |
| 3 | 102 | 12.45 | 12.08 | 2.3 | 96.10 |
| Sensors | Detection Method | LOD | Linear Rang | Practical Samples | Ref. |
|---|---|---|---|---|---|
| Porous AuNPs/GCE | DPV | 0.94 ng/mL | 0.01–20 ng/mL | Glutinous rice/Corn/Rice | [22] |
| Au/Bi2S3/ERGO/CF | DPV | 8 pg/mL | 10 pg–20 ng/mL | Cornflour | [23] |
| MWCNTs/RTIL/Ab/AFB1/GCE | EIS | 0.03 ng/mL | 0.1–10 ng/mL | Olive oils | [24] |
| BSA/Ab/MWCNTs-COOH @ ATO-CS/SPCEs | DPV | 0.033 ng/mL | 1 × 10−3–1 × 103 ng/mL | Peanut oil | This Work |
Disclaimer/Publisher’s Note: The statements, opinions and data contained in all publications are solely those of the individual author(s) and contributor(s) and not of MDPI and/or the editor(s). MDPI and/or the editor(s) disclaim responsibility for any injury to people or property resulting from any ideas, methods, instructions or products referred to in the content. |
© 2023 by the authors. Licensee MDPI, Basel, Switzerland. This article is an open access article distributed under the terms and conditions of the Creative Commons Attribution (CC BY) license (https://creativecommons.org/licenses/by/4.0/).
Share and Cite
Chu, G.; Liu, Z.; Zhang, Y.; Guo, Y.; Sun, X.; Li, M. Simple Immunosensor Based on Carboxyl-Functionalized Multi-Walled Carbon Nanotubes @ Antimony-Doped Tin Oxide Composite Membrane for Aflatoxin B1 Detection. Micromachines 2023, 14, 996. https://doi.org/10.3390/mi14050996
Chu G, Liu Z, Zhang Y, Guo Y, Sun X, Li M. Simple Immunosensor Based on Carboxyl-Functionalized Multi-Walled Carbon Nanotubes @ Antimony-Doped Tin Oxide Composite Membrane for Aflatoxin B1 Detection. Micromachines. 2023; 14(5):996. https://doi.org/10.3390/mi14050996
Chicago/Turabian StyleChu, Guanglei, Zengning Liu, Yanyan Zhang, Yemin Guo, Xia Sun, and Ming Li. 2023. "Simple Immunosensor Based on Carboxyl-Functionalized Multi-Walled Carbon Nanotubes @ Antimony-Doped Tin Oxide Composite Membrane for Aflatoxin B1 Detection" Micromachines 14, no. 5: 996. https://doi.org/10.3390/mi14050996
APA StyleChu, G., Liu, Z., Zhang, Y., Guo, Y., Sun, X., & Li, M. (2023). Simple Immunosensor Based on Carboxyl-Functionalized Multi-Walled Carbon Nanotubes @ Antimony-Doped Tin Oxide Composite Membrane for Aflatoxin B1 Detection. Micromachines, 14(5), 996. https://doi.org/10.3390/mi14050996

