Recent Advances on GaN-Based Micro-LEDs
Abstract
1. Introduction
2. Size-Dependent Efficiency
2.1. Side-Wall Damage
2.2. The Existence of Dislocations
3. Affecting Factors on the EQE of µLEDs
3.1. Non-Radiative Recombination Effect for µLEDs
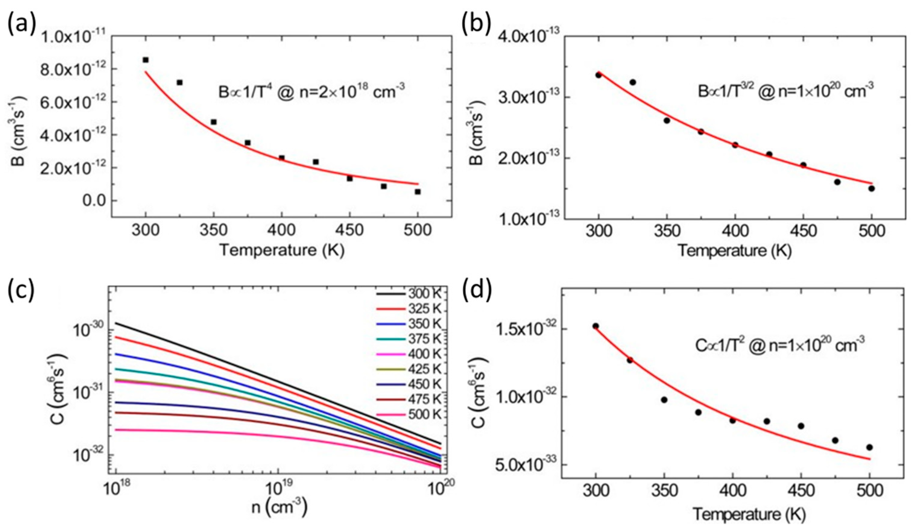
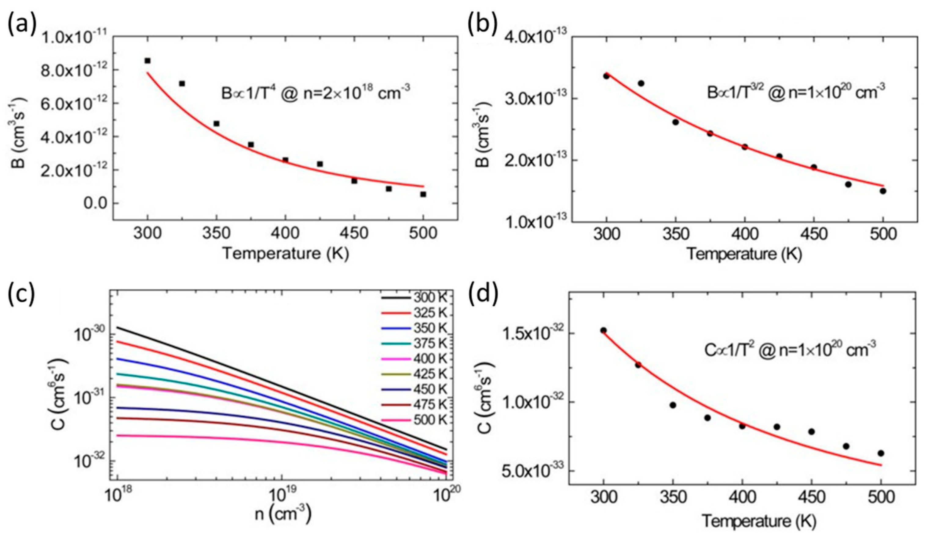
3.2. Thermal Effect for µLEDs
3.3. QCSE for III-Nitride LEDs
4. Solution for Increasing EQE of µLEDs
4.1. Defect Density Control
4.2. Managing the Spread of Current
4.3. Mitigate the QCSE Effect
4.4. Improving the Crystalline Quality
4.5. Increasing the LEE for µLEDs
5. Conclusions
Author Contributions
Funding
Acknowledgments
Conflicts of Interest
References
- Lin, J.Y.; Jiang, H.X. Development of microLED. Appl. Phys. Lett. 2020, 116, 100502. [Google Scholar] [CrossRef]
- Wierer, J.J.; Tansu, N. III-Nitride Micro-LEDs for Efficient Emissive Displays. Laser Photonics Rev. 2019, 13, 1900141. [Google Scholar] [CrossRef]
- Lee, H.E.; Shin, J.H.; Park, J.H.; Hong, S.K.; Park, S.H.; Lee, S.H.; Lee, J.H.; Kang, I.S.; Lee, K.J. Micro light-emitting diodes for display and flexible biomedical applications. Adv. Funct. Mater. 2019, 29, 1808075. [Google Scholar] [CrossRef]
- Liu, Z.; Zhang, K.; Liu, Y.; Yan, S.; Sun, X. Fully Multi-Functional GaN-Based Micro-LEDs for 2500 PPI Micro-Displays, Temperature Sensing, Light Energy Harvesting, and Light Detection. In Proceedings of the 2018 IEEE International Electron Devices Meeting (IEDM), San Francisco, CA, USA, 1–5 December 2018; pp. 38.1.1–38.1.4. [Google Scholar]
- Lin, C.C.; Fang, Y.H.; Kao, M.J.; Huang, P.K.; Chang, F.P.; Yang, L.C. Ultra-Fine Pitch Thin-Film Micro LED Display for Indoor Applications. SID Symp. Dig. Tech. Pap. 2018, 49, 782–785. [Google Scholar] [CrossRef]
- Santos, J.M.M.; E Jones, B.; Schlosser, P.J.; Watson, S.; Herrnsdorf, J.; Guilhabert, B.; McKendry, J.J.D.; De Jesus, J.; A Garcia, T.; Tamargo, M.C.; et al. Hybrid GaN LED with capillary-bonded II–VI MQW color-converting membrane for visible light communications. Semicond. Sci. Technol. 2015, 30, 035012. [Google Scholar] [CrossRef]
- Hori, A.; Yasunaga, D.; Satake, A.; Fujiwara, K. Temperature and injection current dependence of electroluminescence intensity in green and blue InGaN single-quantum-well light-emitting diodes. J. Appl. Phys. 2003, 93, 3152–3157. [Google Scholar] [CrossRef]
- Chen, Z.; Yan, S.; Danesh, C. MicroLED technologies and applications: Characteristics, fabrication, progress, and challenges. J. Phys. D Appl. Phys. 2021, 54, 123001. [Google Scholar] [CrossRef]
- Trindade, A.J.; Guilhabert, B.; Xie, E.Y.; Ferreira, R.; McKendry, J.J.D.; Zhu, D.; Laurand, N.; Gu, E.; Wallis, D.J.; Watson, I.M.; et al. Heterogeneous integration of gallium nitride light-emitting diodes on diamond and silica by transfer printing. Opt. Express 2015, 23, 9329–9338. [Google Scholar] [CrossRef]
- Han, H.-V.; Lin, H.-Y.; Lin, C.-C.; Chong, W.-C.; Li, J.-R.; Chen, K.-J.; Yu, P.; Chen, T.-M.; Chen, H.-M.; Lau, K.-M.; et al. Resonant-enhanced full-color emission of quantum-dot-based micro LED display technology. Opt. Express 2015, 23, 32504–32515. [Google Scholar] [CrossRef]
- Chung, K.; Sui, J.; Demory, B.; Ku, P.C. Color mixing from monolithically integrated InGaN-based light-emitting diodes by local strain engineering. Appl. Phys. Lett. 2017, 111, 041101. [Google Scholar] [CrossRef]
- Wu, T.; Sher, C.W.; Lin, Y.; Lee, C.F.; Liang, S.; Lu, Y.; Chen, S.W.H.; Guo, W.; Kuo, H.C.; Chen, Z. Mini-LED and micro-LED: Promising candidates for the next generation display technology. Appl. Sci. 2018, 8, 1557. [Google Scholar] [CrossRef]
- Lee, J.; Sundar, V.C.; Heine, J.R.; Bawendi, M.G.; Jensen, K.F. Full color emission from II–VI semiconductor quantum dot–polymer composites. Adv. Mater. 2000, 12, 1102–1105. [Google Scholar] [CrossRef]
- Chen, H.; He, J.; Wu, S.-T. Recent advances on quantum-dot-enhanced liquid-crystal displays. IEEE J. Sel. Top. Quantum 2017, 23, 1–11. [Google Scholar] [CrossRef]
- Chen, D.C.; Liu, Z.G.; Deng, Z.H.; Wang, C.; Cao, Y.G.; Liu, Q.L. Optimization of light efficacy and angular color uniformity by hybrid phosphor particle size for white light-emitting diode. Rare Met. 2014, 33, 348–352. [Google Scholar] [CrossRef]
- Pust, P.; Weiler, V.; Hecht, C.; Tüks, A.; Wochnik, A.S.; Henß, A.K.; Wiechert, D.; Scheu, C.; Schmidt, P.J.; Schnik, W. Narrow-band red-emitting Sr [LiAl3N4]: Eu2+ as a next-generation LED-phosphor material. Nat. Mater. 2014, 13, 891–896. [Google Scholar] [CrossRef] [PubMed]
- Chen, G.S.; Wei, B.Y.; Lee, C.T.; Lee, H.Y. Monolithic red/green/blue micro-LEDs with HBR and DBR structures. IEEE Photonic. Tech. Lett. 2017, 30, 262–265. [Google Scholar] [CrossRef]
- Ding, K.; Avrutin, V.; Izyumskaya, N.; Özgür, Ü.; Morkoc, H. Micro-LEDs, a manufacturability perspective. Appl. Sci. 2019, 9, 1206. [Google Scholar] [CrossRef]
- McKittrick, J.; Shea-Rohwer, L.E. Down conversion materials for solid-state lighting. J. Am. Ceram. Soc. 2014, 97, 1327–1352. [Google Scholar] [CrossRef]
- Zhou, X.; Tian, P.; Sher, C.W.; Wu, J.; Liu, H.; Liu, R.; Kuo, H.C. Growth, transfer printing and colour conversion techniques towards full-colour micro-LED display. Prog. Quantum Electron. 2020, 71, 100263. [Google Scholar] [CrossRef]
- Anwar, A.R.; Sajjad, M.T.; Johar, M.A.; Hernández-Gutiérrez, C.A.; Łepkowski, M.U.S.P. Recent Progress in Micro-LED-Based Display Technologies. Laser Photonics Rev. 2022, 16, 2100427. [Google Scholar] [CrossRef]
- Zhu, G.; Liu, Y.; Ming, R.; Shi, F.; Cheng, M. Mass transfer, detection and repair technologies in micro-LED displays. Sci. China Mater. 2022, 65, 2128–2153. [Google Scholar] [CrossRef]
- Chen, D.; Chen, Y.C.; Zeng, G.; Zhang, D.W.; Lu, H.L. Integration Technology of Micro-LED for Next-generation Display. Research 2023, 6, 0047. [Google Scholar] [CrossRef]
- Gong, Z.; Jin, S.; Chen, Y.; McKendry, J.; Massoubre, D.; Watson, I.M.; Gu, E.; Dawson, M.D. Size-Dependent Light Output, Spectral Shift, and Self-Heating of 400 nm InGaN Light-Emitting Diodes. J. Appl. Phys. 2010, 107, 013103. [Google Scholar] [CrossRef]
- Yin, Y.F.; Lan, W.Y.; Lin, T.C.; Wang, C.; Feng, M.; Huang, J.J. High-Speed Visible Light Communication Using GaN-Based Light-emitting Diodes with Photonic Crystals. J. Light. Technol. 2017, 35, 258–264. [Google Scholar] [CrossRef]
- Rashidi, A.; Monavarian, M.; Aragon, A.; Rishinaramangalam, A.K.; Feezell, D. Nonpolar M-Plane InGaN/GaN Micro-Scale Light-Emitting Diode with 1.5 GHz Modulation Bandwidth. IEEE Electron Device Lett. 2018, 39, 520–523. [Google Scholar] [CrossRef]
- Lan, H.Y.; Tseng, I.C.; Kao, H.Y.; Lin, Y.H.; Lin, G.R.; Wu, C.H. 752-MHz Modulation Bandwidth of High-Speed Blue Micro Light-Emitting Diodes. IEEE J. Quantum Electron. 2018, 54, 1–6. [Google Scholar] [CrossRef]
- Windisch, R.; Knobloch, A.; Kuijk, M.; Rooman, C.; Dutta, B.; Kiesel, P.; Borghs, G.; Dohler, G.H.; Heremans, P. Large-Signal-Modulation of High-Efficiency Light-Emitting Diodes for Optical Communication. IEEE J. Quantum Electron. 2001, 36, 1445–1453. [Google Scholar] [CrossRef]
- Akselrod, M.S.; Bruni, F.J. Modern Trends in Crystal Growth and New Applications of Sapphire. J. Cryst. Growth 2012, 360, 134–1451. [Google Scholar] [CrossRef]
- Komine, T.; Nakagawa, M. Fundamental Analysis for Visible Light Communication System Using LED Light. IEEE Trans. Consum. Electron. 2004, 50, 100–107. [Google Scholar] [CrossRef]
- Zhao, S.; Ma, X.A. Spectral-Efficient Transmission Scheme for Dimmable Visible Light Communication Systems. J. Light. Technol. 2017, 35, 3801–3809. [Google Scholar] [CrossRef]
- Komine, T.; Nakagawa, M. Integrated System of White LED Visible-Light Communication and Power-Line Communication. IEEE Trans. Consum. Electron. 2003, 49, 71–79. [Google Scholar] [CrossRef]
- Pang, G.; Kwan, T.; Liu, H.; Chan, C.H. LED Wireless. IEEE Ind. Appl. Mag. 2002, 8, 21–28. [Google Scholar] [CrossRef]
- Wun, J.M.; Lin, C.W.; Chen, W.; Sheu, J.-K.; Lin, C.L.; Li, Y.L.; Bowers, J.E.; Shi, J.W.; Vinogradov, J.; Kruglov, R.; et al. GaN-Based Miniaturized Cyan Light-Emitting Diodes on a Patterned Sapphire Substrate With Improved Fiber Coupling for Very High-Speed Plastic Optical Fiber Communication. IEEE Photonics J. 2012, 4, 1520–1529. [Google Scholar] [CrossRef]
- Mckendry, J.J.D.; Massoubre, D.; Zhang, S.; Rae, B.R.; Green, R.P.; Gu, E.; Henderson, R.K.; Kelly, A.E.; Dawson, M.D. Visible-Light Communications Using a CMOS-Controlled Micro-Light-Emitting-Diode Array. J. Light. Technol. 2012, 30, 61–67. [Google Scholar] [CrossRef]
- Zhu, S.; Yu, Z.; Liu, L.; Yang, C.; Cao, H.; Xi, X.; Li, J.; Zhao, L. Enhancing the Spontaneous Emission Rate by Modulating Carrier Distribution in GaN-Based Surface Plasmon Light-Emitting Diodes. Opt. Express 2017, 25, 9617. [Google Scholar] [CrossRef]
- Lu, T.; Lin, X.; Guo, W.; Tu, C.C.; Liu, S.; Lin, C.J.; Chen, Z.; Kuo, H.C.; Wu, T. High-speed visible light communication based on micro-LED: A technology with wide applications in next generation communication. Opto-Electron. Sci. 2022, 1, 220020. [Google Scholar] [CrossRef]
- Singh, K.J.; Huang, W.-T.; Hsiao, F.-H.; Miao, W.-C.; Lee, T.-Y.; Pai, Y.-H.; Kuo, H.-C. Recent Advances in Micro-LEDs Having Yellow–Green to Red Emission Wavelengths for Visible Light Communications. Micromachines 2023, 14, 478. [Google Scholar] [CrossRef]
- Liu, B.; Chen, D.; Lu, H.; Tao, T.; Zhuang, Z.; Shao, Z.; Xu, W.; Ge, H.; Zhi, T.; Ren, F.; et al. Hybrid Light Emitters and UV Solar-Blind Avalanche Photodiodes based on III-Nitride Semiconductors. Adv. Mater. 2020, 32, 1904354. [Google Scholar] [CrossRef]
- Wang, Q.; Yu, J.C.; Tao, T.; Liu, B.; Zhi, T.; Cen, X.; Xie, Z.L.; Xiu, X.Q.; Zhou, Y.G.; Zheng, Y.D. Fabrication and characterization of GaN-based micro-LEDs on silicon substrate. Chin. Phys. Lett. 2019, 36, 088501. [Google Scholar] [CrossRef]
- Kou, J.; Shen, C.C.; Shao, H.; Che, J.; Hou, X.; Chu, C.; Tian, K.; Zhang, Y.; Zhang, Z.H.; Kuo, H.C. Impact of the surface recombination on InGaN/GaN-based blue micro-light emitting diodes. Opt. Express 2019, 27, 643–653. [Google Scholar] [CrossRef]
- Sato, H.; Sugahara, T.; Hao, M.; Naoi, Y.; Kurai, S.; Tottori, S.; Yamashita, K.; Nishino, K.; Sakai, S.; Romano, L.T. Surface pretreatment of bulk GaN for homoepitaxial growth by metalorganic chemical vapor deposition. Jpn. J. Appl. Phys. 1998, 37, 626. [Google Scholar] [CrossRef]
- Sugahara, T.; Sato, H.; Hao, M.; Naoi, Y.; Kurai, S.; Tottori, S.; Yamashita, K.; Nishino, K.; Romano, L.T.; Sakai, S. Direct evidence that dislocations are non-radiative recombination centers in GaN. Jpn. J. Appl. Phys. 1998, 37, L398. [Google Scholar] [CrossRef]
- Cho, J.; Schubert, E.F.; Kim, J.K. Efficiency droop in light-emitting diodes: Challenges and countermeasures. Laser Photonics Rev. 2013, 7, 408–421. [Google Scholar] [CrossRef]
- Hwang, D.; Mughal, A.; Pynn, C.D.; Nakamura, S.; DenBaars, S.P. Sustained high external quantum efficiency in ultrasmall blue III-nitride micro-LEDs. Appl. Phys. Express 2017, 10, 032101. [Google Scholar] [CrossRef]
- Tian, P.; McKendry, J.J.D.; Gong, Z.; Guilhabert, B.; Watson, I.M.; Gu, E.; Chen, Z.; Zhang, G.; Dawson, M.D. Size-dependent efficiency and efficiency droop of blue InGaN micro-light emitting diodes. Appl. Phys. Lett. 2012, 101, 231110. [Google Scholar] [CrossRef]
- Olivier, F.; Daami, A.; Licitra, C.; Templier, F. Shockley-Read-Hall and Auger non-radiative recombination in GaN based LEDs: A size effect study. Appl. Phys. Lett. 2017, 111, 022104. [Google Scholar] [CrossRef]
- Herrnsdorf, J.; McKendry, J.J.D.; Zhang, S.; Xie, E.; Ferreira, R.; Massoubre, D.; Zuhdi, A.M.; Henderson, R.K.; Underwood, I.; Watson, S.; et al. Active-matrix GaN micro light-emitting diode display with unprecedented brightness. IEEE Trans. Electron Devices 2015, 62, 1918–1925. [Google Scholar] [CrossRef]
- Konoplev, S.S.; Bulashevich, K.A.; Karpov, S.Y. From large-size to micro-LEDs: Scaling trends revealed by modeling. Phys. Status Solidi (A) 2018, 215, 1700508. [Google Scholar] [CrossRef]
- Huang, Y.; Tan, G.; Gou, F.; Li, M.C.; Lee, S.L.; Wu, S.T. Prospects and challenges of mini-LED and micro-LED displays. J. Soc. Inf. Display. 2019, 27, 387–401. [Google Scholar] [CrossRef]
- Olivier, F.; Tirano, S.; Dupré, L.; Aventurier, B.; Largeron, C.; Templier, F. Influence of size-reduction on the performances of GaN-based micro-LEDs for display application. J. Lumin. 2017, 191, 112–116. [Google Scholar] [CrossRef]
- Tian, P.; McKendry, J.J.D.; Herrnsdorf, J.; Watson, S.; Ferreira, R.; Watson, I.M.; Gu, E.; Kelly, A.E.; Dawson, M.D. Temperature-dependent efficiency droop of blue InGaN micro-light emitting diodes. Appl. Phys. Lett. 2014, 105, 171107. [Google Scholar] [CrossRef]
- Galler, B.; Drechsel, P.; Monnard, R.; Rode, P.; Stauss, P.; Froehlich, S.; Bergbauer, W.; Binder, M.; Sabathil, M.; Hahn, B.; et al. Influence of indium content and temperature on Auger-like recombination in InGaN quantum wells grown on (111) silicon substrates. Appl. Phys. Lett. 2012, 101, 131111. [Google Scholar] [CrossRef]
- Kioupakis, E.; Yan, Q.; Steiauf, D.; Walle, C.G.V.D. Temperature and carrier-density dependence of Auger and radiative recombination in nitride optoelectronic devices. New J. Phys. 2013, 15, 125006. [Google Scholar] [CrossRef]
- Kioupakis, E.; Rinke, P.; Delaney, K.T.; Walle, C.G.V.D. Indirect Auger recombination as a cause of efficiency droop in nitride light-emitting diodes. Appl. Phys. Lett. 2011, 98, 161107. [Google Scholar] [CrossRef]
- Bertazzi, F.; Goano, M.; Bellotti, E. Numerical analysis of indirect Auger transitions in InGaN. Appl. Phys. Lett. 2012, 101, 011111. [Google Scholar] [CrossRef]
- Hader, J.; Moloney, J.V.; Koch, S.W. Temperature Dependence of Radiative and Auger Losses in Quantum Wells. IEEE J. Quantum Electron. 2008, 44, 185–191. [Google Scholar] [CrossRef]
- Dadgar, A.; Bläsing, J.; Diez, A.; Alam, A.; Heuken, M.; Krost, A. Metalorganic chemical vapor phase epitaxy of crack-free GaN on Si (111) exceeding 1 µm in thickness. Jpn. J. Appl. Phys. 2000, 39, L1183. [Google Scholar] [CrossRef]
- Kikuchi, A.; Kawai, M.; Tada, M.; Kishino, K. InGaN/GaN multiple quantum disk nanocolumn light-emitting diodes grown on (111) Si substrate. Jpn. J. Appl. Phys. 2004, 43, L1524. [Google Scholar] [CrossRef]
- Zhao, D.G.; Xu, S.J.; Xie, M.H.; Tong, S.Y.; Yang, H. Stress and its effect on optical properties of GaN epilayers grown on Si (111), 6H-SiC (0001), and c-plane sapphire. Appl. Phys. Lett. 2003, 83, 677–679. [Google Scholar] [CrossRef]
- De, S.C.; Meneghini, M.; La, G.M.; Galler, B.; Zeisel, R.; Goano, M.; Dominici, S.; Mandurrino, M.; Bertazzi, F.; Robidas, D.; et al. Role of defects in the thermal droop of InGaN-based light emitting diodes. J. Appl. Phys. 2016, 119, 094501. [Google Scholar]
- Lu, S.; Liu, W.; Zhang, Z.H.; Tan, S.T.; Ju, Z.; Ji, Y.; Zhang, X.; Zhang, Y.; Zhu, B.; Kyaw, Z.; et al. Low thermal-mass LEDs: Size effect and limits. Opt. Express 2014, 22, 32200–32207. [Google Scholar] [CrossRef]
- Ploch, N.L.; Rodriguez, H.; Stolmacker, C.; Hoppe, M.; Lapeyrade, M.; Stellmach, J.; Mehnke, F.; Wernicke, T.; Knauer, A.; Kueller, V.; et al. Effective thermal management in ultraviolet light-emitting diodes with micro-LED arrays. IEEE Trans. Electron Devices 2013, 60, 782–786. [Google Scholar] [CrossRef]
- Choi, H.W.; Jeon, C.W.; Dawson, M.D.; Edwards, P.R.; Martin, R.W.; Tripathy, S. Mechanism of enhanced light output efficiency in InGaN-based microlight emitting diodes. J. Appl. Phys. 2003, 93, 5978–5982. [Google Scholar] [CrossRef]
- Lin, H.Y.; Sher, C.W.; Hsieh, D.H.; Chen, X.Y.; Chen, H.M.P.; Chen, T.M.; Lau, K.M.; Chen, C.H.; Lin, C.C.; Kuo, H.C. Optical cross-talk reduction in a quantum-dot-based full-color micro-light-emitting-diode display by a lithographic-fabricated photoresist mold. Photon. Res. 2017, 5, 411–416. [Google Scholar] [CrossRef]
- Monavarian, M.; Rashidi, A.; Feezell, D. A Decade of Nonpolar and Semipolar III-Nitrides: A Review of Successes and Challenges. Phys. Status Solidi (A) 2019, 216, 1800628. [Google Scholar] [CrossRef]
- Shen, Y.C.; Mueller, G.O.; Watanabe, S.; Gardner, N.F.; Munkholm, A.; Krames, M.R. Auger recombination in InGaN measured by photoluminescence. Appl. Phys. Lett. 2007, 91, 141101. [Google Scholar] [CrossRef]
- Zhu, S.; Lin, S.; Li, J.; Yu, Z.; Cao, H.; Yang, C.; Li, J.; Zhao, L. Influence of quantum confined Stark effect and carrier localization effect on modulation bandwidth for GaN-based LEDs. Appl. Phys. Lett. 2017, 111, 171105. [Google Scholar] [CrossRef]
- Son, K.R.; Murugadoss, V.; Kim, K.H.; Kim, T.G. Investigation of sidewall passivation mechanism of InGaN-based blue microscale light-emitting diodes. Appl. Surf. Sci. 2022, 584, 152612. [Google Scholar] [CrossRef]
- Chen, W.; Hu, G.; Lin, J.; Jiang, J.; Liu, M.; Yang, Y.; Hu, G.; Lin, Y.; Wu, Z.; Liu, Y.; et al. High-performance, single-pyramid micro light-emitting diode with leakage current confinement layer. Appl. Phys. Express 2015, 8, 032102. [Google Scholar] [CrossRef]
- Ley, R.T.; Smith, J.M.; Wong, M.S.; Margalith, T.; Nakamura, S.; DenBaars, S.P.; Gordon, M.J. Revealing the importance of light extraction efficiency in InGaN/GaN microLEDs via chemical treatment and dielectric passivation. Appl. Phys. Lett. 2020, 116, 251104. [Google Scholar] [CrossRef]
- Dingemans, G.; Van de Sanden, M.C.M.; Kessels, W.M.M. Influence of the deposition temperature on the c-Si surface passivation by Al2O3 films synthesized by ALD and PECVD. Electrochem. Solid-State Lett. 2009, 13, 76. [Google Scholar] [CrossRef]
- Wong, M.S.; Hwang, D.; Alhassan, A.I.; Lee, C.; Ley, R.; Nakamura, S.; DenBaars, S.P. High efficiency of III-nitride micro-light-emitting diodes by sidewall passivation using atomic layer deposition. Opt. Express 2018, 26, 21324–21331. [Google Scholar] [CrossRef]
- Choi, W.H.; You, G.; Abraham, M.; Yu, S.Y.; Liu, J.; Wang, L.; Xu, J.; Mohney, S.E. Sidewall passivation for InGaN/GaN nanopillar light emitting diodes. J. Appl. Phys. 2014, 116, 013103. [Google Scholar] [CrossRef]
- Yang, Y.; Cao, X.A. Removing plasma-induced sidewall damage in GaN-based light-emitting diodes by annealing and wet chemical treatments. J. Vac. Sci. Technol. B Microelectron. Nanometer Struct. Process. Meas. Phenom. 2009, 27, 2337–2341. [Google Scholar] [CrossRef]
- Le Maoult, C.; Vaufrey, D.; Martin, F.; Martinez, E.; Nolot, E.; Cadot, S.; Gheeraert, E. Analysis of InGaN surfaces after chemical treatments and atomic layer deposition of Al2O3 for uLED applications. Gallium Nitride Materials and Devices XV. In Proceedings of the SPIE, the International Society for Optical Engineering, San Francisco, CA, USA, 16 February 2020; Volume 11280. [Google Scholar]
- Zhu, Z.; Tao, T.; Liu, B.; Zhi, T.; Chen, Y.; Yu, J.; Jiang, D.; Xu, F.; Sang, Y.; Yan, Y.; et al. Improved Optical and Electrical Characteristics of GaN-Based Micro-LEDs by Optimized Sidewall Passivation. Micromachines 2022, 14, 10. [Google Scholar] [CrossRef] [PubMed]
- Wong, M.S.; Lee, C.; Myers, D.J.; Hwang, D.; Kearns, J.A.; Li, T.; Spcek, J.S.; Nakamura, S.; DenBaars, S.P. Size-independent peak efficiency of III-nitride micro-light-emitting-diodes using chemical treatment and sidewall passivation. Appl. Phys. Express 2019, 12, 097004. [Google Scholar] [CrossRef]
- Zhuang, D.; Edgar, J.H. Wet etching of GaN, AlN, and SiC: A review. Mater. Sci. Eng. R Rep. 2005, 48, 1–46. [Google Scholar] [CrossRef]
- Tang, B.; Miao, J.; Liu, Y.; Wan, H.; Li, N.; Zhou, S.; Gui, C. Enhanced light extraction of flip-chip mini-LEDs with prism-structured sidewall. Nanomaterials 2019, 9, 319. [Google Scholar] [CrossRef]
- Cai, Y.; Bai, J.; Wang, T. Review of a direct epitaxial approach to achieving micro–LEDs. Chin. Phys. B 2023, 32, 018508. [Google Scholar] [CrossRef]
- Wong, M.S.; Speck, J.S.; Nakamura, S.; DenBaars, S.P. Progress in III-Nitride Tunnel Junctions for Optoelectronic Devices. IEEE J. Quantum Electron. 2022, 58, 1–11. [Google Scholar] [CrossRef]
- Hamdy, S.W.; Young, E.C.; Alhassan, A.I.; Becerra, D.L.; DenBaars, S.P.; Speck, J.S.; Nakamura, S. Efficient tunnel junction contacts for high-power semipolar III-nitride edge-emitting laser diodes. Opt. Express 2019, 27, 8327–8334. [Google Scholar] [CrossRef] [PubMed]
- Malinverni, M.; Martin, D.; Grandjean, N. InGaN based micro light emitting diodes featuring a buried GaN tunnel junction. Appl. Phys. Lett. 2015, 107, 051107. [Google Scholar] [CrossRef]
- Young, E.C.; Yonkee, B.P.; Wu, F.; Oh, S.H.; DenBaars, S.P.; Nakamura, S.; Speck, J.S. Hybrid tunnel junction contacts to III–nitride light-emitting diodes. Appl. Phys. Express 2016, 9, 022102. [Google Scholar] [CrossRef]
- Kuwano, Y.; Kaga, M.; Morita, T.; Yamashita, K.; Yagi, K.; Iwaya, M.; Takeuchi, T.; Kamiyama, S.; Akasaki, I. Lateral hydrogen diffusion at p-GaN layers in nitride-based light emitting diodes with tunnel junctions. Jpn. J. Appl. Phys. 2013, 52, 08JK12. [Google Scholar] [CrossRef]
- Lee, S.G.; Forman, C.A.; Kearns, J.; Leonard, J.T.; Cohen, D.A.; Nakamura, S.; DenBaars, S.P. Demonstration of GaN-based vertical-cavity surface-emitting lasers with buried tunnel junction contacts. Opt. Express 2019, 27, 31621–31628. [Google Scholar] [CrossRef]
- Hwang, D.; Mughal, A.J.; Wong, M.S.; Alhassan, A.I.; Nakamura, S.; DenBaars, S.P. Micro-light-emitting diodes with III–nitride tunnel junction contacts grown by metalorganic chemical vapor deposition. Appl. Phys. Express 2017, 11, 012102. [Google Scholar] [CrossRef]
- Smorchkova, I.P.; Haus, E.; Heying, B.; Kozodoy, P.; Fini, P.; Ibbetson, J.P.; Keller, S.; DenBaars, S.P.; Speck, J.S.; Mishra, U.K. Mg doping of GaN layers grown by plasma-assisted molecular-beam epitaxy. Appl. Phys. Lett. 2000, 76, 718–720. [Google Scholar] [CrossRef]
- Lin, G.B.; Kim, D.Y.; Shan, Q.; Cho, J.; Schubert, E.F.; Shim, H.; Sone, C.; Kim, J.K. Effect of quantum barrier thickness in the multiple-quantum-well active region of GaInN/GaN light-emitting diodes. IEEE Photonics J. 2013, 5, 1600207. [Google Scholar]
- Wang, C.K.; Chiou, Y.Z.; Chang, S.J.; Chang, C.Y.; Chiang, T.H.; Lin, T.K.; Li, X.Q. On the effect of quantum barrier thickness in the active region of nitride-based light emitting diodes. Solid State Electron. 2014, 99, 11–15. [Google Scholar] [CrossRef]
- Yuan, Z.; Li, Y.; Lu, X.; Wang, Z.; Qiu, P.; Cui, X.; Tian, P.; Wang, Q.; Zhang, G. Investigation of modulation bandwidth of InGaN green micro-LEDs by varying quantum barrier thickness. IEEE Trans. Electron Devices 2022, 69, 4298–4305. [Google Scholar] [CrossRef]
- Liu, W.; Liang, F.; Zhao, D.; Yang, J.; Chen, P.; Liu, Z. Reduction in the photoluminescence intensity caused by ultrathin gan quantum barriers in InGaN/GaN multiple quantum wells. Crystals 2022, 12, 339. [Google Scholar] [CrossRef]
- Chang, L.; Yeh, Y.W.; Hang, S.; Tian, K.; Kou, J.; Bi, W.; Zhang, Y.; Zhang, Z.H.; Liu, Z.; Kuo, H.C. Alternative strategy to reduce surface recombination for InGaN/GaN Micro-light-emitting diodes—Thinning the Quantum barriers to manage the current spreading. Nanoscale Res. Lett. 2020, 15, 160. [Google Scholar] [CrossRef] [PubMed]
- Dinh, D.V.; Quan, Z.; Roycroft, B.; Parbrook, P.J.; Corbett, B. GHz bandwidth semipolar (112 2) InGaN/GaN light-emitting diodes. Opt. Lett. 2016, 41, 5752–5755. [Google Scholar] [CrossRef] [PubMed]
- Chakraborty, A.; Haskell, B.A.; Keller, S.; Speck, J.S.; DenBaars, S.P.; Nakamura, S.; Mishra, U.K. Nonpolar InGaN∕GaN emitters on reduced-defect lateral epitaxially overgrown a-plane GaN with drive-current-independent electroluminescence emission peak. Appl. Phys. Lett. 2004, 85, 5143–5145. [Google Scholar] [CrossRef]
- Sharma, R.; Pattison, P.M.; Masui, H.; Farrell, R.M.; Baker, T.J.; Haskell, B.A.; Wu, F.; DenBaars, S.P.; Speck, J.S.; Nakamura, S. Demonstration of a semipolar (10 ) In Ga N/Ga N green light emitting diode. Appl. Phys. Lett. 2005, 87, 231110. [Google Scholar] [CrossRef]
- Liu, Y.; Feng, F.; Zhang, K.; Chan, K.W.; Liu, Z.; Kwok, H.S. 4.4: Low Efficiency Attenuation and Stable Monochromaticity for Non-polar M-plane Micro-light-emitting-diodes (Micro-LEDs). SID Symp. Dig. Tech. Pap. 2022, 53, 62–65. [Google Scholar] [CrossRef]
- Ma, J.; Zhu, X.; Wong, K.M.; Zou, X.; Lau, K.M. Improved GaN-based LED grown on silicon (111) substrates using stress/dislocation-engineered interlayers. J. Cryst. Growth 2013, 370, 265–268. [Google Scholar] [CrossRef]
- Kim, T.; Jung, Y.H.; Song, J.; Kim, D.; Li, Y.; Kim, H.S.; Song, I.S.; Wierer, J.J.; Pao, H.A.; Huang, Y.; et al. High-efficiency, microscale GaN light-emitting diodes and their thermal properties on unusual substrates. Small 2012, 8, 1643–1649. [Google Scholar] [CrossRef]
- Wu, Y.; Liu, X.; Pandey, A.; Zhou, P.; Dong, W.J.; Wang, P.; Min, J.; Deotare, P.; Kira, M.; Kioupakis, E.; et al. III-nitride nanostructures: Emerging applications for Micro-LEDs, ultraviolet photonics, quantum optoelectronics, and artificial photosynthesis. Prog. Quantum Electron. 2022, 85, 100401. [Google Scholar] [CrossRef]
- Pandey, A.; Mi, Z. III-nitride nanostructures for high efficiency micro-LEDs and ultraviolet optoelectronics. IEEE J. Quantum Elect. 2022, 58, 1–13. [Google Scholar] [CrossRef]
- Wang, L.; Liu, Z.; Li, Z.; Zhang, Y.; Li, H.; Yi, X.; Wang, J.; Wang, G.; Li, J. Nanostructure nitride light emitting diodes via the Talbot effect using improved colloidal photolithography. Nanoscale 2017, 9, 7021–7026. [Google Scholar] [CrossRef] [PubMed]
- Amano, H.; Sawaki, N.; Akasaki, I.; Toyoda, Y. Metalorganic vapor phase epitaxial growth of a high quality GaN film using an AlN buffer layer. Appl. Phys. Lett. 1986, 48, 353–355. [Google Scholar] [CrossRef]
- Yang, X.; Zhang, J.; Wang, X.; Zheng, C.; Quan, Z.; Jiang, F. Enhance the efficiency of green-yellow LED by optimizing the growth condition of preparation layer. Micro Nanostruct. 2020, 141, 106459. [Google Scholar] [CrossRef]
- Zhang, J.; Wang, X.; Liu, J.; Mo, C.; Wu, X.; Wang, G.; Jiang, F. Study on Carrier transportation in InGaN based green LEDs with V-pits structure in the active region. Opt. Mater. 2018, 86, 46–50. [Google Scholar] [CrossRef]
- Chen, Y.; Chen, Z.; Li, J.; Chen, Y.; Li, C.; Zhan, J.; Yu, T.; Kang, X.; Jiao, F.; Li, S.; et al. A study of GaN nucleation and coalescence in the initial growth stages on nanoscale patterned sapphire substrates via MOCVD. CrystEngComm 2018, 20, 6811–6820. [Google Scholar] [CrossRef]
- Hong, I.Y.; Islam, A.B.M.H.; Kim, T.K.; Cha, Y.J.; Kwak, J.S. Impact of grain growth of silver reflective electrode by electron bombardment on external quantum efficiency of III-nitride micro-light-emitting diode arrays. Appl. Surf. Sci. 2020, 512, 145698. [Google Scholar] [CrossRef]
- Yang, C.M.; Kim, D.S.; Park, Y.S.; Lee, J.H.; Lee, Y.S.; Lee, J.H. Enhancement in light extraction efficiency of GaN-based light-emitting diodes using double dielectric surface passivation. Opt. Photonics J. 2012, 2, 185–192. [Google Scholar] [CrossRef]
- Yan, G.; Hyun, B.R.; Jiang, F.; Kuo, H.C.; Liu, Z. Exploring superlattice DBR effect on a micro-LED as an electron blocking layer. Opt. Express 2021, 29, 26255–26264. [Google Scholar] [CrossRef]
- Zhang, Y.; Meng, R.; Zhang, Z.H.; Shi, Q.; Li, L.; Liu, G.; Bi, W. Effects of inclined sidewall structure with bottom metal air cavity on the light extraction efficiency for AlGaN-based deep ultraviolet light-emitting diodes. IEEE Photonics J. 2017, 9, 1–9. [Google Scholar] [CrossRef]
- Tian, M.; Yu, H.; Memon, M.H.; Xing, Z.; Huang, C.; Jia, H.; Zhang, H.; Wang, D.; Fang, S.; Sun, H. Enhanced light extraction of the deep-ultraviolet micro-LED via rational design of chip sidewall. Opt. Lett. 2021, 46, 4809–4812. [Google Scholar] [CrossRef]
- Hang, S.; Zhang, G.; Chu, C.; Zhang, Y.; Zheng, Q.; Li, Q.; Zhang, Z.H. On the impact of the beveled mesa for GaN-based micro-light emitting diodes: Electrical and optical properties. Opt. Express 2022, 30, 37675–37685. [Google Scholar] [CrossRef] [PubMed]
- Jia, T.; Zhang, M.; Zhang, G.; Hang, S.; Chu, C.; Zhang, Y.; Zhang, Z.H. Suppressing optical crosstalk for GaN/InGaN based flip-chip micro light-emitting diodes by using an air-cavity patterned sapphire substrate as a light filter. Opt. Express 2023, 31, 2931–2941. [Google Scholar] [CrossRef] [PubMed]













| Features | LCD | OLED | µLED |
|---|---|---|---|
| view angle | max. 89° | max. 89° | max. 180° |
| display type | backlit | self-emissive | self-emissive |
| pixel size | large (min 32 μm) | medium (min 18 μm) | small (submicrometer) |
| power efficiency | medium | Medium | high |
| response time | ms | Μs | ns |
| PPI | max. 30,000 PPI | max. 1433 PPI | max. 30,000 PPI |
| temperature stability | −20 to 80 °C | −50 to 70 °C | −100 to 120 °C |
| contrast ratio | 5000:1 | >10,000:1 | >1,000,000:1 |
| service lifetime | 30,000−60,000 h | 10,000 h | >100,000 h |
| cost | low | Medium | high |
| µ-LEDs Type | EQE (%) | LEE (%) | IQE (%) | LOP (mW) |
|---|---|---|---|---|
| With EBI | 37.2 | 81.2 | 54.5 | 9.44 |
| Without EBI | 32.6 | 70.6 | 53.1 | 8.27 |
Disclaimer/Publisher’s Note: The statements, opinions and data contained in all publications are solely those of the individual author(s) and contributor(s) and not of MDPI and/or the editor(s). MDPI and/or the editor(s) disclaim responsibility for any injury to people or property resulting from any ideas, methods, instructions or products referred to in the content. |
© 2023 by the authors. Licensee MDPI, Basel, Switzerland. This article is an open access article distributed under the terms and conditions of the Creative Commons Attribution (CC BY) license (https://creativecommons.org/licenses/by/4.0/).
Share and Cite
Zhang, Y.; Xu, R.; Kang, Q.; Zhang, X.; Zhang, Z.-h. Recent Advances on GaN-Based Micro-LEDs. Micromachines 2023, 14, 991. https://doi.org/10.3390/mi14050991
Zhang Y, Xu R, Kang Q, Zhang X, Zhang Z-h. Recent Advances on GaN-Based Micro-LEDs. Micromachines. 2023; 14(5):991. https://doi.org/10.3390/mi14050991
Chicago/Turabian StyleZhang, Youwei, Ruiqiang Xu, Qiushi Kang, Xiaoli Zhang, and Zi-hui Zhang. 2023. "Recent Advances on GaN-Based Micro-LEDs" Micromachines 14, no. 5: 991. https://doi.org/10.3390/mi14050991
APA StyleZhang, Y., Xu, R., Kang, Q., Zhang, X., & Zhang, Z.-h. (2023). Recent Advances on GaN-Based Micro-LEDs. Micromachines, 14(5), 991. https://doi.org/10.3390/mi14050991

