A Novel Concept of Electron–Hole Enhancement for Superjunction Reverse-Conducting Insulated Gate Bipolar Transistor with Electron-Blocking Layer
Abstract
1. Introduction
2. Device Structure and Conduction Mechanism
2.1. Device Structure Profile
2.2. Reverse- and Forward-Conducting Mechanism
3. Results and Discussion
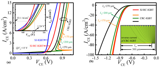
3.1. Conduction Characteristics
3.2. Safe Operating Area
3.3. BV and Von Optimization
3.4. Turn-Off Characteristics
3.5. Trade-Off between Forward Conduction and Turn-Off Loss
4. Key Fabrication Process of the SJ-RC-IGBT
5. Conclusions
Author Contributions
Funding
Data Availability Statement
Conflicts of Interest
References
- Ozpineci, B.; Chinthavali, M.S.; Tolbert, L.M.; Kashyap, A.S.; Mantooth, H.A. A 55-kW three-phase inverter with Si IGBTs and SiC schottky diodes. IEEE Trans. Ind. Appl. 2009, 45, 278–285. [Google Scholar] [CrossRef]
- Napoli, E.; Spirito, P.; Strollo, A.G.M.; Frisina, F.; Fragapane, L.; Fagone, D. Design of IGBT with integral freewheeling diode. IEEE Electron. Device Lett. 2002, 23, 532–534. [Google Scholar] [CrossRef]
- Takahashi, H.; Yamamoto, A.; Aono, S.; Minato, T. 1200V reverse conducting IGBT. In Proceedings of the International Symposium on Power Semiconductor Devices ICs (ISPSD), Tokyo, Japan, 24–27 May 2004. [Google Scholar]
- Jiang, M.X.; Shen, Z.J. Simulation study of an injection enhanced insulated-gate bipolar transistor with p-base schottky contact. IEEE Trans. Electron. Devices 2016, 63, 1991–1995. [Google Scholar] [CrossRef]
- Huang, M.M.; Gao, B.; Yang, Z.M.; Lai, L.; Gong, M. A carrier-storage-enhanced superjunction IGBT with ultralow loss and on-state voltage. Electron. Device Lett. 2018, 39, 264–267. [Google Scholar] [CrossRef]
- Duan, B.X.; Sun, L.C.; Yang, Y.T. Analysis of the novel snapback-free LIGBT with fast-switching and improved latch-up immunity by TCAD simulation. IEEE Trans. Electron. Devices 2019, 40, 63–66. [Google Scholar] [CrossRef]
- Findlay, E.M.; Udrea, F. Reverse-conducting insulated gate bipolar transistor: A review of current technologies. IEEE Trans. Electron. Devices 2019, 66, 219–231. [Google Scholar] [CrossRef]
- Jiang, H.P.; Zhang, B.; Chen, W.J.; Li, Z.J.; Liu, C.; Rao, Z.G.; Dong, B. A snapback suppressed reverse-conducting IGBT with a floating p-region in trench collector. IEEE Electron. Device Lett. 2012, 33, 417–419. [Google Scholar] [CrossRef]
- Deng, G.Q.; Luo, X.R.; Wei, J.; Zhou, K.; Huang, L.H.; Sun, T.; Liu, Q.; Zhang, B. A snapback-free reverse conducting insulated-gate bipolar transistor with discontinuous field-stop layer. IEEE Trans. Electron. Devices 2018, 65, 1856–1861. [Google Scholar] [CrossRef]
- Hsu, W.C.W.; Udrea, F.; Hsu, H.Y.; Lin, W.C. Reverse-conducting insulated gate bipolar transistor with an anti-parallel thyristor. In Proceedings of the International Symposium on Power Semiconductor Devices ICs (ISPSD), Hiroshima, Japan, 6–10 June 2010. [Google Scholar]
- Zhu, L.H.; Chen, X.B. A novel snapback-free reverse conducting IGBT with anti-parallel shockley diode. In Proceedings of the International Symposium on Power Semiconductor Devices ICs (ISPSD), Kanazawa, Japan, 26–30 May 2013. [Google Scholar]
- Zhang, W.L.; Zhu, Y.J.; Lu, S.J.; Tian, X.L.; Teng, Y. Increase of the reliability of the junction terminations of reverse-conducting insulated gate bipolar transistor by appropriate backside layout design. IEEE Electron. Device Lett. 2014, 35, 1281–1283. [Google Scholar] [CrossRef]
- Wei, J.; Luo, X.R.; Huang, L.H.; Zhang, B. Simulation study of a novel snapback-free and low turn-off loss reverse-conducting IGBT with controllable trench gate. IEEE Electron. Device Lett. 2018, 39, 252–255. [Google Scholar] [CrossRef]
- Zhu, L.H.; Chen, X.B. An investigation of a novel snapback-free reverse-conducting IGBT and with dual gates. IEEE Trans. Electron. Devices 2012, 59, 3048–3053. [Google Scholar] [CrossRef]
- Antoniou, M.; Udrea, F.; Bauer, F. The superjunction insulated gate bipolar transistor optimization and modeling. IEEE Trans. Electron. Devices 2010, 57, 594–600. [Google Scholar] [CrossRef]
- Oh, K.H.; Lee, J.; Lee, K.H.; Kim, Y.C.; Yun, C. A simulation study on novel field stop IGBTs using superjunction. IEEE Trans. Electron. Devices 2006, 53, 884–890. [Google Scholar]
- Oh, K.H.; Kim, J.; Seo, H.; Jung, J.; Kim, E.; Kim, S.S.; Yun, C. Experimental investigation of 650V superjunction IGBTs. In Proceedings of the International Symposium on Power Semiconductor Devices ICs (ISPSD), Žofín Palace, Czech Republic, 12–16 July 2013. [Google Scholar]
- Wang, Z.G.; Zhang, H.; Kuo, J.B. Turn-OFF Transient Analysis of Superjunction IGBT. IEEE Trans. Electron. Devices 2019, 66, 991–998. [Google Scholar] [CrossRef]
- Antoniou, M.; Udrea, F.; Bauer, F.; Nistor, I. A new way to alleviate the RC IGBT snapback phenomenon: The superjunction solution. In Proceedings of the International Symposium on Power Semiconductor Devices ICs (ISPSD), Hiroshima, Japan, 6–10 June 2010. [Google Scholar]
- Zhou, K.; Luo, X.R.; Huang, L.H.; Liu, Q.; Sun, T.; Li, Z.J.; Zhang, B. An ultralow loss superjunction reverse blocking insulated-gate bipolar transistor with shorted-collector trench. IEEE Electron. Device Lett. 2016, 37, 1462–1465. [Google Scholar] [CrossRef]
- Antoniou, M.; Lophitis, N.; Udrea, F.; Bauer, F.; Vemulapati, U.R.; Badstuebner, U. On the investigation of the “Anode Side” superJunction IGBT design concept. IEEE Electron. Device Lett. 2017, 38, 1063–1066. [Google Scholar] [CrossRef]
- Li, Z.G.; Jiang, F.X.C.; Li, B.H.; Lin, X.N. A new way to break through the limitation of cs-layer doping on the breakdown voltage of CSTBT: The superjunction solution. In Proceedings of the IEEE International Conference of IEEE Region 10, Xi’an, China, 22–25 October 2013. [Google Scholar]
- Luther-King, N.; Narayanan, E.M.S.; Coulbeck, L.; Crane, A.; Dudley, R. Comparison of Trench Gate IGBT and CIGBT Devices for Increasing the Power Density From High Power Modules. IEEE Trans. Power Electron. 2010, 25, 583–591. [Google Scholar] [CrossRef]
- Medici User Guide, Version D-2010.03; Synopsys Inc.: Mountain View, CA, USA, 2010.














Disclaimer/Publisher’s Note: The statements, opinions and data contained in all publications are solely those of the individual author(s) and contributor(s) and not of MDPI and/or the editor(s). MDPI and/or the editor(s) disclaim responsibility for any injury to people or property resulting from any ideas, methods, instructions or products referred to in the content. |
© 2023 by the authors. Licensee MDPI, Basel, Switzerland. This article is an open access article distributed under the terms and conditions of the Creative Commons Attribution (CC BY) license (https://creativecommons.org/licenses/by/4.0/).
Share and Cite
Wang, Z.; Yang, C.; Huang, X. A Novel Concept of Electron–Hole Enhancement for Superjunction Reverse-Conducting Insulated Gate Bipolar Transistor with Electron-Blocking Layer. Micromachines 2023, 14, 646. https://doi.org/10.3390/mi14030646
Wang Z, Yang C, Huang X. A Novel Concept of Electron–Hole Enhancement for Superjunction Reverse-Conducting Insulated Gate Bipolar Transistor with Electron-Blocking Layer. Micromachines. 2023; 14(3):646. https://doi.org/10.3390/mi14030646
Chicago/Turabian StyleWang, Zhigang, Chong Yang, and Xiaobing Huang. 2023. "A Novel Concept of Electron–Hole Enhancement for Superjunction Reverse-Conducting Insulated Gate Bipolar Transistor with Electron-Blocking Layer" Micromachines 14, no. 3: 646. https://doi.org/10.3390/mi14030646
APA StyleWang, Z., Yang, C., & Huang, X. (2023). A Novel Concept of Electron–Hole Enhancement for Superjunction Reverse-Conducting Insulated Gate Bipolar Transistor with Electron-Blocking Layer. Micromachines, 14(3), 646. https://doi.org/10.3390/mi14030646
