Unsteady Pressure-Driven Electrokinetic Slip Flow and Heat Transfer of Power-Law Fluid through a Microannulus
Abstract
:1. Introduction
2. Mathematical Modeling
2.1. Modified Cauchy Momentum Equation
2.2. Energy Equation
3. Solution Method and Validation
3.1. For Newtonian Fluid (n = 1) and without Consideration of Viscous Dissipation (Br = 0)
3.2. For Power-Law Fluids (n ≠ 1) and with Consideration of Viscous Dissipation (Br ≠ 0)
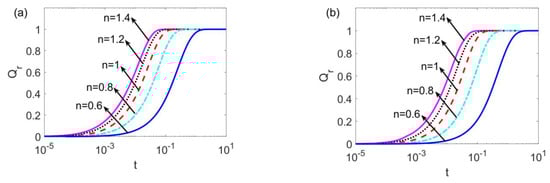
4. Results
5. Conclusions
Author Contributions
Funding
Data Availability Statement
Conflicts of Interest
Nomenclature
| Br | Brinkman number |
| e | Elementary charge, 1.6 × 10−19 C |
| E0 | Strength of applied electric field, 1 × 104 V·m−1 |
| h | Convective heat transfer coefficient (W∙m−2∙K−1) |
| k | Thermal conductivity, 0.618 W·m−1·K−1 |
| kB | Boltzmann constant, 1.38 × 10−23 J·K−1 |
| li | Dimensionless slip length |
| m0 | Dynamic viscosity of Newtonian fluid, 9 × 10−4 N·m−2·s |
| mn | Flow consistency index, 9 × 10−4 N·m−2·sn |
| n | Flow behavior index |
| n0 | Ion concentration (m−3) |
| Nu | Nusselt number |
| p | Dimensionless pressure |
| qs | Heat flux (W·m−2) |
| Q | Dimensionless flow rate |
| r | Dimensionless radial coordinate |
| ri | r1 for dimensionless inner radius, r2 for dimensionless outer radius |
| R | Reference radius, 1 × 10−4 m |
| S | Joule heating parameter |
| t | Dimensionless time |
| Ta | Absolute temperature, 293 K |
| T | Dimensionless temperature |
| v | Dimensionless velocity |
| Vhs | Helmholtz–Smoluchowski electroosmotic velocity (m·s−1) |
| W | Electrokinetic width of EDL |
| z | Valence of ions, 1 |
| Greek Symbols | |
| α | Dimensionless flow consistency index |
| ψ | Dimensionless electric potential |
| ρe | Net charge density (C·m−3) |
| ρ | Density of fluid (kg·m−3) |
| σ | Electrical conductivity (W·m−1·K−1) |
| ζi | Dimensionless zeta potential |
| ε | Fluid permittivity (F·m−1) |
| η | Dimensionless power-law nanofluid viscosity |
| κ | Debye–Hückel parameter (m−1) |
| τ | Shear stress of power-law fluid (N·m−2) |
| ρCp | Heat capacity per unit volume (J·m−3·K−1) |
| Subscripts | |
| i | i = 1 for inner wall, i = 2 for outer wall |
| m | Mean value |
| s | Steady flow |
| w | Walls |
| ν | Order of Bessel function |
| r | Ratio of the outer wall to the inner wall |
| Superscripts | |
| N | Newtonian fluid |
| * | Dimensional version |
| ꞌ | First order derivative |
Appendix A
References
- Hunter, R.J.; Ottewill, R.H.; Rowell, R.L. Zeta Potential in Colloid Science: Principles and Applications; Academic Press: San Diego, CA, USA, 2013. [Google Scholar]
- Stone, H.A.; Stroock, A.D.; Ajdari, A. Engineering flows in small devices. Ann. Rev. Fluid Mech. 2004, 36, 381–411. [Google Scholar] [CrossRef]
- Lee, C.Y.; Chang, C.L.; Wang, Y.N.; Fu, L.M. Microfluidic mixing: A review. Int. J. Mol. Sci. 2011, 12, 3263–3287. [Google Scholar] [CrossRef] [PubMed]
- Gao, Y.D.; Wong, T.N.; Yang, C.; Ooi, K.T. Transient two-liquid electroosmotic flow with electric charges at the interface. Colloids Surf. A 2005, 266, 117–128. [Google Scholar] [CrossRef]
- Su, J.; Jian, Y.J.; Chang, L.; Liu, Q.S. Transient electro-osmotic and pressure driven flows of two-layer fluids through a slit microchannel. Acta Mech. Sin. 2013, 29, 534–542. [Google Scholar] [CrossRef]
- Deng, S.Y.; Li, M.Y.; Yang, Y.; Xiao, T. Heat transfer and entropy generation in two layered electroosmotic flow of power-law nanofluids through a microtube. Appl. Therm. Eng. 2021, 196, 117314. [Google Scholar] [CrossRef]
- Xie, Z.Y.; Jian, Y.J. Entropy generation of two-layer magnetohydrodynamic electroosmotic flow through microparallel channels. Energy 2017, 139, 1080–1093. [Google Scholar] [CrossRef]
- Kang, Y.J.; Yang, C.; Huang, X.Y. Electroosmotic flow in a capillary annulus with high zeta potentials. J. Colloid Interface Sci. 2002, 253, 285. [Google Scholar] [CrossRef]
- Moghadam, A.J. Ac eof in a rectangular microannulus. SN Appl. Sci. 2019, 1, 1707. [Google Scholar] [CrossRef]
- Deng, S.Y.; Xiao, T.; Wu, S.M. Two-layer combined electroosmotic and pressure-driven flow of power-law fluids in a circular microcapillary. Colloids Surf. A 2021, 610, 125727. [Google Scholar] [CrossRef]
- Wu, R.C.; Papadopoulos, W.D. Electro-osmotic flow through porous media cylindrical and annular models. Colloids Surf. Physicochem. Eng. Aspects 2000, 161, 469–476. [Google Scholar]
- O’Connor, A.J.; Pratt, H.R.C.; Stevens, G.W. Electrophoretic mobilities of proteins and protein mixtures in porous membranes. Chem. Eng. Sci. 1996, 51, 3459–3477. [Google Scholar] [CrossRef]
- Tsao, H.K. Electroosmotic flow through an annulus. J. Colloid Interface Sci. 2000, 225, 247–250. [Google Scholar] [CrossRef]
- Jian, Y.J.; Liu, Q.S. Time periodic electro-osmotic flow through a microannulus. Phys. Fluids 2010, 22, 42001. [Google Scholar] [CrossRef]
- Moghadam, A.J. Exact solution of ac electro-osmotic flow in a microannulus. J. Fluids Eng. 2013, 135, 91201. [Google Scholar] [CrossRef]
- Shaowei, W.; Moli, Z. Closed-form solutions of transient electroosmotic flow driven by ac electric field in a microannulus. Bound. Value Probl. 2014, 2014, 215. [Google Scholar]
- Chang, C.C.; Wang, C.Y. Starting electroosmotic flow in an annulus and in a rectangular channel. Electrophoresis 2008, 29, 2970–2979. [Google Scholar] [CrossRef]
- Cen, G.-J.; Chang, C.-C.; Wang, C.-Y. Optimizing electroosmotic flow in an annulus from debye hückel approximation to poisson–boltzmann equation. RSC Adv. 2017, 7, 7274–7286. [Google Scholar] [CrossRef]
- Bello, M.S.; Besi, P.D.; Rezzonico, R.; Righetti, P.G.; Casiraghi, E. Electroosmosis of polymer solutions in fused silica capillaries. Electrophoresis 1994, 15, 623–626. [Google Scholar] [CrossRef]
- Das, S.; Chakraborty, S. Analytical solutions for velocity, temperature and concentration distribution in electroosmotic microchannel flows of a non-newtonian bio-fluid. Anal. Chim. Acta 2006, 559, 15–24. [Google Scholar] [CrossRef]
- Peralta, M.; Arcos, J.; Méndez, F.; Bautista, O. Mass transfer through a concentric-annulus microchannel driven by an oscillatory electroosmotic flow of a maxwell fluid. J. Non-Newton. Fluid Mech. 2020, 279, 104281. [Google Scholar] [CrossRef]
- Li, D.; Ma, L.; Dong, J.; Li, K. Time-periodic pulse electroosmotic flow of jeffreys fluids through a microannulus. Open Phys. 2021, 19, 867–876. [Google Scholar] [CrossRef]
- Zhao, C.L.; Yang, C. Joule heating induced heat transfer for electroosmotic flow of power-law fluids in a microcapillary. Int. J. Heat Mass Transf. 2012, 55, 2044–2051. [Google Scholar] [CrossRef]
- Broderick, S.L.; Webb, B.W.; Maynes, D. Thermally developing electro-osmotic convection in microchannels with finite debye-layer thickness. Numer. Heat Transf. Part A-Appl. 2005, 48, 941–964. [Google Scholar] [CrossRef]
- Escandón, J.; Santiago, F.; Bautista, O.; Méndez, F. Hydrodynamics and thermal analysis of a mixed electromagnetohydrodynamic-pressure driven flow for phan–thien–tanner fluids in a microchannel. Int. J. Therm. Sci. 2014, 86, 246–257. [Google Scholar] [CrossRef]
- Jian, Y. Transient mhd heat transfer and entropy generation in a microparallel channel combined with pressure and electroosmotic effects. Int. J. Heat Mass Transf. 2015, 89, 193–205. [Google Scholar] [CrossRef]
- Ranjit, N.K.; Shit, G.C. Entropy generation on electro-osmotic flow pumping by a uniform peristaltic wave under magnetic environment. Energy 2017, 128, 649–660. [Google Scholar] [CrossRef]
- Yavari, H.; Sadeghi, A.; Hassan Saidi, M. Hydrodynamic and thermal characteristics of combined electroosmotic and pressure driven flow in a microannulus. J. Heat Transf. 2012, 134, 101703. [Google Scholar] [CrossRef]
- Ahmed, H.E.; Ahmed, M.I. Thermal performance of annulus with its applications; A review. Renew. Sustain. Energy Rev. 2017, 71, 170–190. [Google Scholar] [CrossRef]
- Shamshiri, M.; Khazaeli, R.; Ashrafizaadeh, M.; Mortazavi, S. Electroviscous and thermal effects on non-newtonian liquid flows through microchannels. J. Non-Newton. Fluid Mech. 2012, 173-174, 1–12. [Google Scholar] [CrossRef]
- Moghadam, A.J. Thermal transport characteristics of ac electrokinetic flow in a micro-annulus. J. Therm. Anal. Calorim. 2020, 145, 2727–2740. [Google Scholar] [CrossRef]
- Zitzenbacher, G.; Huang, Z.; Holzer, C. Experimental study and modeling of wall slip of polymethylmethacrylate considering different die surfaces. Polym. Eng. Sci. 2017, 58, 1391–1398. [Google Scholar] [CrossRef]
- Aktas, S.; Kalyon, D.M.; Marín-Santibánez, B.M.; Pérez-González, J. Shear viscosity and wall slip behavior of a viscoplastic hydrogel. J. Rheol. 2014, 58, 513–535. [Google Scholar] [CrossRef]
- Afonso, A.M.; Ferrás, L.L.; Nóbrega, J.M.; Alves, M.A.; Pinho, F.T. Pressure-driven electrokinetic slip flows of viscoelastic fluids in hydrophobic microchannels. Micrfluid. Nanofluid. 2013, 16, 1131–1142. [Google Scholar] [CrossRef]
- Hegde, A.S.; Harikrishnan, A.R. Slip hydrodynamics of combined electroosmotic and pressure driven flows of power law fluids through narrow confinements. Eur. J. Mech. B-Fluid 2021, 89, 525–550. [Google Scholar] [CrossRef]
- Shit, G.C.; Mondal, A.; Sinha, A.; Kundu, P.K. Two-layer electro-osmotic flow and heat transfer in a hydrophobic micro-channel with fluid–solid interfacial slip and zeta potential difference. Colloids Surf. A Physicochem. Eng. Aspects 2016, 506, 535–549. [Google Scholar] [CrossRef]
- Kang, Y.J.; Yang, C.; Huang, X.Y. Dynamic aspects of electroosmotic flow in a cylindrical microcapillary. Int. J. Eng. Sci. 2002, 40, 2203–2221. [Google Scholar] [CrossRef]
- Yari, M. Second-law analysis of flow and heat transfer inside a microannulus. Int. Commun. Heat Mass 2009, 36, 78–87. [Google Scholar] [CrossRef]
- Zhao, G.P.; Wang, Z.Q.; Jian, Y.J. Heat transfer of the mhd nanofluid in porous microtubes under the electrokinetic effects. Int. J. Heat Mass Transf. 2019, 130, 821–830. [Google Scholar] [CrossRef]











Disclaimer/Publisher’s Note: The statements, opinions and data contained in all publications are solely those of the individual author(s) and contributor(s) and not of MDPI and/or the editor(s). MDPI and/or the editor(s) disclaim responsibility for any injury to people or property resulting from any ideas, methods, instructions or products referred to in the content. |
© 2023 by the authors. Licensee MDPI, Basel, Switzerland. This article is an open access article distributed under the terms and conditions of the Creative Commons Attribution (CC BY) license (https://creativecommons.org/licenses/by/4.0/).
Share and Cite
Deng, S.; Bian, R.; Liang, J. Unsteady Pressure-Driven Electrokinetic Slip Flow and Heat Transfer of Power-Law Fluid through a Microannulus. Micromachines 2023, 14, 371. https://doi.org/10.3390/mi14020371
Deng S, Bian R, Liang J. Unsteady Pressure-Driven Electrokinetic Slip Flow and Heat Transfer of Power-Law Fluid through a Microannulus. Micromachines. 2023; 14(2):371. https://doi.org/10.3390/mi14020371
Chicago/Turabian StyleDeng, Shuyan, Ruiqing Bian, and Jiacheng Liang. 2023. "Unsteady Pressure-Driven Electrokinetic Slip Flow and Heat Transfer of Power-Law Fluid through a Microannulus" Micromachines 14, no. 2: 371. https://doi.org/10.3390/mi14020371
APA StyleDeng, S., Bian, R., & Liang, J. (2023). Unsteady Pressure-Driven Electrokinetic Slip Flow and Heat Transfer of Power-Law Fluid through a Microannulus. Micromachines, 14(2), 371. https://doi.org/10.3390/mi14020371
