Influence of Temperature and Incidence Angle on the Irradiation Cascade Effect of 6H-SiC: Molecular Dynamics Simulations
Abstract
1. Introduction
2. Methods
3. Results and Discussion
3.1. Validation of the Model
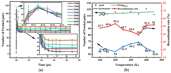
3.2. Effect of Temperature on 6H-SiC Cascade Collisions
3.3. Effect of Incidence Angle on 6H-SiC Cascade Collisions
4. Conclusions
Author Contributions
Funding
Data Availability Statement
Conflicts of Interest
References
- Sameera, J.N.; Islam, M.A.; Islam, S.; Hossain, T.; Sobayel, M.; Akhtaruzzaman; Amin, N.; Rashid, M.J. Cubic silicon carbide (3C–SiC) as a buffer layer for high efficiency and highly stable CdTe solar cell. Opt. Mater. 2022, 123, 111911. [Google Scholar] [CrossRef]
- Yang, F.; Tang, X.; Wei, X.; Sang, L.; Liu, R.; Bai, S.; Peng, T.; Zhao, G.; Yang, P.; Yang, T.; et al. Demonstrations of high voltage SiC materials, devices and applications in the solid state transformer. J. Cryst. Growth 2023, 604, 127059. [Google Scholar] [CrossRef]
- Liu, Q.; Zhou, D.; Cai, X.; Qi, M.; Xu, W.; Chen, D.; Ren, F.; Zhang, R.; Zheng, Y.; Lu, H. Effect of very high-fluence proton radiation on 6H-SiC photoconductive proton detectors. IEEE Electron. Device Lett. 2019, 40, 1929–1932. [Google Scholar] [CrossRef]
- Gloginjić, M.; Erich, M.; Kokkoris, M.; Liarokapis, E.; Fazinić, S.; Karlušić, M.; Luketić, K.T.; Petrović, S. The quantitative 6H-SiC crystal damage depth profiling. J. Nucl. Mater. 2021, 555, 153143. [Google Scholar] [CrossRef]
- Wang, X.; Ji, Y.; Zhang, M.; Zhao, Y.; Chen, Y.; Zhao, Z.; Pan, S.; Wang, H. Damage effects in 6H-SiC single crystals by Si&H dual ion irradiation: A combined Raman and XRD study. Nucl. Instrum. Methods Phys. Res. Sect. B Beam Interact. Mater. At. 2020, 485, 20–25. [Google Scholar]
- Dong, W.; Shen, Q.; Wei, M.; Lei, P.; Song, L.; Chang, Q.; Ye, C. Research on the surface damage of Si+ and H+ co-implanted 6H-SiC before and after annealing. Nucl. Instrum. Methods Phys. Res. Sect. B Beam Interact. Mater. At. 2023, 538, 81–86. [Google Scholar] [CrossRef]
- Weber, W.J.; Gao, F. Irradiation-induced defect clustering and amorphization in silicon carbide. J. Mater. Res. 2010, 25, 2349–2353. [Google Scholar] [CrossRef][Green Version]
- Li, B.; Liu, H.; Shen, T.; Xu, L.; Wang, J.; Zhao, F.; Peng, D.; Li, J.; Sheng, Y.; Xiong, A. Irradiation-induced microstructure damage in He-irradiated 3C-SiC at 1000 °C. J. Eur. Ceram. Soc. 2020, 40, 1014–1022. [Google Scholar] [CrossRef]
- Daghbouj, N.; Li, B.; Callisti, M.; Sen, H.; Karlik, M.; Polcar, T. Microstructural evolution of helium-irradiated 6H–SiC subjected to different irradiation conditions and annealing temperatures: A multiple characterization study. Acta Mater. 2019, 181, 160–172. [Google Scholar] [CrossRef]
- Hemmingsson, C.; Son, N.T.; Kordina, O.; Bergman, J.P.; Janzén, E.; Lindström, J.L.; Savage, S.; Nordell, N. Deep level defects in electron-irradiated 4H SiC epitaxial layers. J. Appl. Phys. 1997, 81, 6155–6159. [Google Scholar] [CrossRef]
- Castaldini, A.; Cavallini, A.; Rigutti, L.; Nava, F.; Ferrero, S.; Giorgis, F. Deep levels by proton and electron irradiation in 4H–SiC. J. Appl. Phys. 2005, 98, 053706. [Google Scholar] [CrossRef]
- Konopka, A.; Greulich-Weber, S.; Dierolf, V.; Jiang, H.; Gerstmann, U.; Rauls, E.; Sanna, S.; Schmidt, W. Microscopic structure and energy transfer of vacancy-related defect pairs with Erbium in wide-gap semiconductors. Opt. Mater. 2011, 33, 1041–1044. [Google Scholar] [CrossRef]
- Wang, P.F.; Ruan, Y.F.; Huang, L.; Zhu, W. Nitrogen-promoted formation of graphite-like aggregations in SiC during neutron irradiation. J. Appl. Phys. 2012, 111, 063517. [Google Scholar] [CrossRef]
- Gu, J.J.; Zhao, J.H.; Bu, M.Y.; Wang, S.M.; Fan, L.; Huang, Q.; Li, S.; Yue, Q.-Y.; Wang, X.-L.; Wei, Z.-X.; et al. Study on the damage evolution of 6H-SiC under different phosphorus ion implantation conditions and annealing temperatures. Results Phys. 2022, 43, 106127. [Google Scholar] [CrossRef]
- Devanathan, R.; De La Rubia, T.D.; Weber, W.J. Displacement threshold energies in β-SiC. J. Nucl. Mater. 1998, 253, 47–52. [Google Scholar] [CrossRef]
- Liu, C.; Szlufarska, I. Distribution of defect clusters in the primary damage of ion irradiated 3C-SiC. J. Nucl. Mater. 2018, 509, 392–400. [Google Scholar] [CrossRef]
- Singh, H.; Anisimov, A.N.; Baranov, P.G.; Suter, D. Identification of different silicon vacancy centers in 6H-SiC. arXiv 2022, arXiv:2212.10256. [Google Scholar]
- Lebedev, A.A.; Veinger, A.I.; Davydov, D.V.; Kozlovski, V.V.; Savkina, N.S.; Strel’chuk, A.M. Doping of n-type 6H–SiC and 4H–SiC with defects created with a proton beam. J. Appl. Phys. 2000, 88, 6265–6271. [Google Scholar] [CrossRef]
- Thompson, A.P.; Aktulga, H.M.; Berger, R.; Bolintineanu, D.S.; Brown, W.M.; Crozier, P.S.; in ‘tVeld, P.J.; Kohlmeyer, A.; Moore, S.G.; Nguyen, T.D.; et al. LAMMPS—A flexible simulation tool for particle-based materials modeling at the atomic, meso, and continuum scales. Comput. Phys. Commun. 2022, 271, 108171. [Google Scholar]
- Capitani, G.C.; Di Pierro, S.; Tempesta, G. The 6 H-SiC structure model: Further refinement from SCXRD data from a terrestrial moissanite. Am. Mineral. 2007, 92, 403–407. [Google Scholar] [CrossRef]
- Erhart, P.; Albe, K. Analytical potential for atomistic simulations of silicon, carbon, and silicon carbide. Phys. Rev. B 2005, 71, 035211. [Google Scholar]
- Tersoff, J. Modeling solid-state chemistry: Interatomic potentials for multicomponent systems. Phys. Rev. B 1989, 39, 5566. [Google Scholar]
- Stukowski, A. Visualization and analysis of atomistic simulation data with OVITO—The Open Visualization Tool. Model. Simul. Mater. Sci. Eng. 2009, 18, 015012. [Google Scholar] [CrossRef]
- Jortner, J. Cluster size effects. Z. Für Phys. D At. Mol. Clust. 1992, 24, 247–275. [Google Scholar]
- Shrader, D.; Khalil, S.M.; Gerczak, T.; Allen, T.R.; Heim, A.J.; Szlufarska, I.; Morgan, D. Ag diffusion in cubic silicon carbide. J. Nucl. Mater. 2011, 408, 257–271. [Google Scholar]
- Kondo, S.; Katoh, Y.; Snead, L.L. Analysis of grain boundary sinks and interstitial diffusion in neutron-irradiated SiC. Phys. Rev. B 2011, 83, 075202. [Google Scholar] [CrossRef]
- Zheng, M.J.; Swaminathan, N.; Morgan, D.; Szlufarska, I. Energy barriers for point-defect reactions in 3 C-SiC. Phys. Rev. B 2013, 88, 054105. [Google Scholar] [CrossRef]
- Roche, P.; Autran, J.L.; Gasiot, G. Technology downscaling worsening radiation effects in bulk: SOI to the rescue. In Proceedings of the 2013 IEEE International Electron Devices Meeting, Washington, DC, USA, 9–11 December 2013. [Google Scholar]
- Bartra, W.C.; Vladimirescu, A.; Reis, R. Bulk and FDSOI Sub-micron CMOS transistors resilience to single-event transients. In Proceedings of the 2015 IEEE International Conference on Electronics, Circuits, and Systems (ICECS), Cairo, Egypt, 6–9 December 2015. [Google Scholar]
- Roma, G.; Crocombette, J.-P. Evidence for a kinetic bias towards antisite formation in SiC nano-decomposition. J. Nucl. Mater. 2010, 403, 32–41. [Google Scholar]










| Atom | x | y | z |
|---|---|---|---|
| Si 1 | 0 | 0 | 0 |
| Si 2 | 0.3333 | 0.6667 | 0.1664 |
| Si 3 | 0.6667 | 0.3333 | 0.3329 |
| Si 4 | 0.3333 | 0.6667 | 0.0412 |
| Si 5 | 0.6667 | 0.3333 | 0.2080 |
| Si 6 | 0 | 0 | 0.3746 |
| Stage | Time Step (fs) | Number of MD Steps | Time (ps) |
|---|---|---|---|
| Relaxation phase (NPT) | 1 | 30,000 | 30 |
| Cascade collision phase (NVE) | 0.01 | 50,000 | 0.5 |
| Defect compounding stage (NVE) | 0.1 | 20,000 | 2 |
| Steady-state phase (NVE) | 1 | 20,000 | 20 |
| Experimental Group 1 | Temperature (K) | Angle of Incidence (°) | Velocity Component of the y-Axis 2 (Å/ps) | Velocity Component of the z-Axis (Å/ps) |
|---|---|---|---|---|
| Experiment 1: Different ambient temperatures | 100, 150, 200, 250, 300, 350, 400, 450 | 8° | 257.8014 | −1834.3527 |
| Experiment 2: Different angles of incidence | 300 | 8° | 257.8014 | −1834.3527 |
| 300 | 15° | 479.4312 | −1789.2616 | |
| 300 | 30° | 926.18997 | −1604.2081 | |
| 300 | 45° | 1309.8304 | −1309.8304 | |
| 300 | 60° | 1604.2081 | −926.1900 | |
| 300 | 75° | 1789.2616 | −479.4312 |
| Lattice Constants 1 (Å) | This Work (before NPT) | This Work (after NPT) | Reference [15] |
|---|---|---|---|
| a | 3.0810 | 3.080999 | 3.0810 |
| b | 5.3364 | 5.336400 | 5.3364 |
| c | 15.1248 | 15.124799 | 15.1248 |
| This Work 1 | Reference [15] | Average Error 2 (%) | |
|---|---|---|---|
| Density (g/mol) | 3.316 | 3.21 | 3.302 |
| Bond lengths (Å) | 1.8645 | 1.8898 | −1.3388 |
| Angles (°) | 109.2 (Si-C-Si) | 109.467 (Si-C-Si) | −0.2439 |
| 109.5 (C-Si-C) | 109.417 (C-Si-C) | 0.0759 |
| VC | VSi | IC | ISi | SiC | CSi | |
|---|---|---|---|---|---|---|
| Migration potential/eV | 3.66 | 3.20 | 0.67 | 1.48 | 11.60 | 11.70 |
| Recombination Pattern | Reaction Barriers (ERe)/eV | Reaction Distances (r)/Å |
|---|---|---|
| IC + VC → CC | 0.43 | 3.08 |
| ISi + VSi → SiSi | 0.17 | 5.34 |
| IC + VSi → CSi | 1.25 | 3.30 |
| ISi + VC → SiC | 1.11 | 3.70 |
| IC + SiC → CC + ISi | 1.34 | 4.36 |
| ISi + CSi → SiSi + IC | 0.64 | 4.36 |
Disclaimer/Publisher’s Note: The statements, opinions and data contained in all publications are solely those of the individual author(s) and contributor(s) and not of MDPI and/or the editor(s). MDPI and/or the editor(s) disclaim responsibility for any injury to people or property resulting from any ideas, methods, instructions or products referred to in the content. |
© 2023 by the authors. Licensee MDPI, Basel, Switzerland. This article is an open access article distributed under the terms and conditions of the Creative Commons Attribution (CC BY) license (https://creativecommons.org/licenses/by/4.0/).
Share and Cite
Chen, Y.; Liu, H.; Yan, C.; Wei, H. Influence of Temperature and Incidence Angle on the Irradiation Cascade Effect of 6H-SiC: Molecular Dynamics Simulations. Micromachines 2023, 14, 2126. https://doi.org/10.3390/mi14112126
Chen Y, Liu H, Yan C, Wei H. Influence of Temperature and Incidence Angle on the Irradiation Cascade Effect of 6H-SiC: Molecular Dynamics Simulations. Micromachines. 2023; 14(11):2126. https://doi.org/10.3390/mi14112126
Chicago/Turabian StyleChen, Yaolin, Hongxia Liu, Cong Yan, and Hao Wei. 2023. "Influence of Temperature and Incidence Angle on the Irradiation Cascade Effect of 6H-SiC: Molecular Dynamics Simulations" Micromachines 14, no. 11: 2126. https://doi.org/10.3390/mi14112126
APA StyleChen, Y., Liu, H., Yan, C., & Wei, H. (2023). Influence of Temperature and Incidence Angle on the Irradiation Cascade Effect of 6H-SiC: Molecular Dynamics Simulations. Micromachines, 14(11), 2126. https://doi.org/10.3390/mi14112126

