Modeling a Fluid-Coupled Single Piezoelectric Micromachined Ultrasonic Transducer Using the Finite Difference Method
Abstract
:1. Introduction
- The choice of the membrane Young’s modulus value for a disc-shaped PMUT when the structural material is anisotropic (e.g., silicon);
- The equivalent lumped-element circuit components’ calculation according to the model chosen, i.e., Foldy’s model or Mason’s model.
2. Acoustic and Mechanical Modeling of a Single PMUT Cell Coupled with a Fluid Medium
2.1. Mechanical Behavioral Equations and Resolution with Finite Difference Discretization
- (1)
- The mechanical plate vibration is limited to the displacements (,) and (,) along the r-axis (axial displacement) and -axis (transverse displacement), respectively.
- (2)
- The through-the-thickness stresses and strains are negligible.
- (a)
- , symmetrical boundary conditions,
- (b)
- , clamped boundary conditions.
2.2. Comparison with the Finite Element Model (FEM)
2.3. PMUT/Fluid Coupling: Implementation of a Boundary Element Matrix
2.4. Comparison with the Literature
3. Electroacoustic Modeling of a Single PMUT Cell Coupled with Fluid Medium
3.1. Implementation of the Piezoelectric Coupling
3.2. Equivalent Lumped-Element Model Implementation
- parallel electrostatic plate capacitance ,
- equivalent mechanical impedance of the plate ,
- radiation impedance ,
- electrical-to-mechanical transformation factor ,
- mechanical-to-electrical transformation factor .
4. Experimental Validation
4.1. Device Description
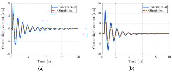
4.2. Experimental Results and Discussion
5. Conclusions
Author Contributions
Funding
Data Availability Statement
Acknowledgments
Conflicts of Interest
Appendix A. Resolution of the Transverse Displacement Equation
- (1)
- The membrane strain matrix:
- (2)
- The flexural strain matrix, known as the curvature matrix:
Appendix B. Resolution of the Radial Displacement Equation
References
- Muralt, P.; Baborowski, J. Micromachined Ultrasonic Transducers and Acoustic Sensors Based on Piezoelectric Thin Films. J. Electroceramics 2004, 12, 101–108. [Google Scholar] [CrossRef]
- Ladabaum, I.; Jin, X.; Soh, H.; Atalar, A.; Khuri-Yakub, B. Surface micromachined capacitive ultrasonic transducers. IEEE Trans. Ultrason. Ferroelectr. Freq. Control 1998, 45, 678–690. [Google Scholar] [CrossRef] [PubMed]
- Brenner, K.; Ergun, A.S.; Firouzi, K.; Rasmussen, M.F.; Stedman, Q.; Khuri-Yakub, B.P. Advances in Capacitive Micromachined Ultrasonic Transducers. Micromachines 2019, 10, 152. [Google Scholar] [CrossRef] [PubMed]
- Perçin, G.; Atalar, A.; Degertekin, F.L.; Khuri-Yakub, B.T. Micromachined two-dimensional array piezoelectrically actuated transducers. Appl. Phys. Lett. 1998, 72, 1397–1399. [Google Scholar] [CrossRef]
- Percin, G.; Khuri-Yakub, B.T. Micromachined 2-D array piezoelectrically actuated flextensional transducers. In Proceedings of the 1997 IEEE Ultrasonics Symposium Proceedings. An International Symposium (Cat. No.97CH36118), Toronto, ON, Canada, 5–8 October 1997; Volume 2, pp. 959–962. [Google Scholar] [CrossRef]
- Trolier-McKinstry, S.; Muralt, P. Thin Film Piezoelectrics for MEMS. J. Electroceramics 2004, 12, 7–17. [Google Scholar] [CrossRef]
- Birjis, Y.; Swaminathan, S.; Nazemi, H.; Raj, G.C.A.; Munirathinam, P.; Abu-Libdeh, A.; Emadi, A. Piezoelectric Micromachined Ultrasonic Transducers (PMUTs): Performance Metrics, Advancements, and Applications. Sensors 2022, 22, 9151. [Google Scholar] [CrossRef] [PubMed]
- He, Y.; Wan, H.; Jiang, X.; Peng, C. Piezoelectric Micromachined Ultrasound Transducer Technology: Recent Advances and Applications. Biosensors 2022, 13, 55. [Google Scholar] [CrossRef]
- Qiu, Y.; Gigliotti, J.V.; Wallace, M.; Griggio, F.; DeMore, C.E.M.; Cochran, S.; Trolier-McKinstry, S. Piezoelectric Micromachined Ultrasound Transducer (PMUT) Arrays for Integrated Sensing, Actuation and Imaging. Sensors 2015, 15, 8020–8041. [Google Scholar] [CrossRef]
- Jung, J.; Lee, W.; Kang, W.; Shin, E.; Ryu, J.; Choi, H. Review of piezoelectric micromachined ultrasonic transducers and their applications. J. Micromech. Microeng. 2017, 27, 113001. [Google Scholar] [CrossRef]
- Roy, K.; Lee, J.E.-Y.; Lee, C. Thin-film PMUTs: A review of over 40 years of research. Microsyst. Nanoeng. 2023, 9, 95. [Google Scholar] [CrossRef] [PubMed]
- Percin, G.; Khuri-Yakub, B. Piezoelectrically actuated flextensional micromachined ultrasound transducers. I. Theory. IEEE Trans. Ultrason. Ferroelectr. Freq. Control. 2002, 49, 573–584. [Google Scholar] [CrossRef]
- Li, J.; Ren, W.; Fan, G.; Wang, C. Design and Fabrication of Piezoelectric Micromachined Ultrasound Transducer (pMUT) with Partially-Etched ZnO Film. Sensors 2017, 17, 1381. [Google Scholar] [CrossRef]
- Wang, Q.; Lu, Y.; Mishin, S.; Oshmyansky, Y.; Horsley, D.A. Design, Fabrication, and Characterization of Scandium Aluminum Nitride-Based Piezoelectric Micromachined Ultrasonic Transducers. J. Microelectromechanical Syst. 2017, 26, 1132–1139. [Google Scholar] [CrossRef]
- Choong, D.S.W.; Chen, D.S.-H.; Goh, D.J.; Liu, J.; Ghosh, S.; Koh, Y.; Sharma, J.; Merugu, S.; Quaglia, F.; Ferrera, M.; et al. Silicon-On-Nothing ScAlN pMUTs. In Proceedings of the 2021 IEEE International Ultrasonics Symposium (IUS), Virtual, 1–16 September 2021; pp. 1–4. [Google Scholar] [CrossRef]
- Muralt, P. Piezoelectric thin films for mems. Integr. Ferroelectr. 1997, 17, 297–307. [Google Scholar] [CrossRef]
- Cheng, C.; Peters, T.; Dangi, A.; Agrawal, S.; Chen, H.; Kothapalli, S.-R.; Trolier-McKinstry, S. Improving PMUT Receive Sensitivity via DC Bias and Piezoelectric Composition. Sensors 2022, 22, 5614. [Google Scholar] [CrossRef] [PubMed]
- Baborowski, J.; Ledermann, N.; Muralt, P. Piezoelectric micromachined transducers (PMUT’s) based on PZT thin films. In Proceedings of the 2002 IEEE International Ultrasonics Symposium, Munich, Germany, 8–11 October 2002; Volume 2, pp. 1051–1054. [Google Scholar] [CrossRef]
- Savoia, A.S.; Casavola, M.; Boni, E.; Ferrera, M.; Prelini, C.; Tortoli, P.; Giusti, D.; Quaglia, F. Design, Fabrication, Characterization, and System Integration of a 1-D PMUT Array for Medical Ultrasound Imaging. In Proceedings of the 2021 IEEE International Ultrasonics Symposium (IUS), Virtual, 11–16 September 2021; pp. 1–3. [Google Scholar] [CrossRef]
- Muralt, P. PZT thin films for microsensors and actuators: Where do we stand? IEEE Trans. Ultrason. Ferroelectr. Freq. Control 2000, 47, 903–915. [Google Scholar] [CrossRef] [PubMed]
- Kim, S.; Yeo, H.G.; Ryu, J.; Choi, H. Fabrication of surface-micromachined circular piezoelectric micromachined ultrasonic transducers with various etching holes using XeF2 and simulation of their vibrational characteristics. Sens. Actuators A Phys. 2023, 351, 114159. [Google Scholar] [CrossRef]
- Luo, G.-L.; Wang, Q.; Kusano, Y.; Horsley, D. Increased Output-Pressure PMUTs with a Sloped Profile Fabricated via Surface Micromachining. In Proceedings of the 2018 IEEE International Frequency Control Symposium (IFCS), Olympic Valley, CA, USA, 21–24 May 2018; Volume 2, pp. 1–4. [Google Scholar] [CrossRef]
- Yang, Y.; Tian, H.; Wang, Y.-F.; Shu, Y.; Zhou, C.-J.; Sun, H.; Zhang, C.-H.; Chen, H.; Ren, T.-L. An Ultra-High Element Density pMUT Array with Low Crosstalk for 3-D Medical Imaging. Sensors 2013, 13, 9624–9634. [Google Scholar] [CrossRef]
- Przybyla, R.J.; Shelton, S.E.; Guedes, A.; Izyumin, I.I.; Kline, M.H.; Horsley, D.A.; Boser, B.E. In-Air Rangefinding with an AlN Piezoelectric Micromachined Ultrasound Transducer. IEEE Sensors J. 2011, 11, 2690–2697. [Google Scholar] [CrossRef]
- Pan, J.; Bai, C.; Zheng, Q.; Xie, H. Review of Piezoelectric Micromachined Ultrasonic Transducers for Rangefinders. Micromachines 2023, 14, 374. [Google Scholar] [CrossRef]
- Przybyla, R.J.; Tang, H.-Y.; Shelton, S.E.; Horsley, D.A.; Boser, B.E. 12.1 3D ultrasonic gesture recognition. In Proceedings of the 2014 IEEE International Solid- State Circuits Conference (ISSCC), San Francisco, CA, USA, 9–13 February 2014; Volume 57, pp. 210–211. [Google Scholar] [CrossRef]
- Huang, C.H.; Gao, H.; Torri, G.B.; Mao, S.; Jeong, Y.; Cheyns, D.; Rochus, V.; Rottenberg, X. Design, modelling, and characterization of display compatible pMUT device. In Proceedings of the 2018 19th International Conference on Thermal, Mechanical and Multi-Physics Simulation and Experiments in Microelectronics and Microsystems, EuroSimE 2018, Toulouse, France, 15–18 April 2018; pp. 1–4. [Google Scholar] [CrossRef]
- Lee, J.-H.; Cho, I.-J.; Ko, K.; Yoon, E.-S.; Park, H.-H.; Kim, T.S. Flexible piezoelectric micromachined ultrasonic transducer (pMUT) for application in brain stimulation. Microsyst. Technol. 2016, 23, 2321–2328. [Google Scholar] [CrossRef]
- Pop, F.; Herrera, B.; Rinaldi, M. Implantable Bio-Heating System Based on Piezoelectric Micromachined Ultrasonic Transducers. In Proceedings of the 2020 IEEE 33rd International Conference on Micro Electro Mechanical Systems (MEMS), Vancouver, BC, Canada, 18–22 January 2020; pp. 842–844. [Google Scholar] [CrossRef]
- Hajati, A.; Latev, D.; Gardner, D.; Hajati, A.; Imai, D.; Torrey, M.; Schoeppler, M. Three-dimensional micro electromechanical system piezoelectric ultrasound transducer. Appl. Phys. Lett. 2012, 101, 25. [Google Scholar] [CrossRef]
- Akhbari, S.; Sammoura, F.; Lin, L. An equivalent circuit model for curved piezoelectric micromachined ultrasonic transducers with spherical-shape diaphragms. In Proceedings of the 2014 IEEE International Ultrasonics Symposium (IUS), Chicago, IL, USA, 3–6 September 2014; pp. 301–304. [Google Scholar] [CrossRef]
- Akhbari, S.; Sammoura, F.; Lin, L. Equivalent Circuit Models for Large Arrays of Curved and Flat Piezoelectric Micromachined Ultrasonic Transducers. IEEE Trans. Ultrason. Ferroelectr. Freq. Control 2016, 63, 432–447. [Google Scholar] [CrossRef]
- Xu, T.; Zhao, L.; Jiang, Z.; Guo, S.; Li, Z.; Yang, P.; Luo, G.; Sun, L.; Zhang, L. Equivalent Circuit Model for a Large Array of Coupled Piezoelectric Micromachined Ultrasonic Transducers with High Emission Performance. IEEE Trans. Ultrason. Ferroelectr. Freq. Control 2020, 68, 718–733. [Google Scholar] [CrossRef]
- Liu, C.; Jia, L.; Shi, L.; Sun, C.; Cheam, D.D.; Wang, P.; Wu, G. Theoretical Modeling of Piezoelectric Micromachined Ultrasonic Transducers With Honeycomb Structure. J. Microelectromechanical Syst. 2022, 31, 984–993. [Google Scholar] [CrossRef]
- Sammoura, F.; Smyth, K.; Kim, S.-G. Working equations of a circular multimorph piezoelectric micromachined ultrasonic transducer. In Proceedings of the IECON 2012-38th Annual Conference on IEEE Industrial Electronics Society, Montreal, QC, Canada, 25–28 October 2012; pp. 3991–3996. [Google Scholar] [CrossRef]
- Sammoura, F.; Akhari, S.; Aqab, N.; Mahmoud, M.; Lin, L. Multiple electrode piezoelectric micromachined ultrasonic transducers. In Proceedings of the 2014 IEEE International Ultrasonics Symposium (IUS), Chicago, IL, USA, 3–6 September 2014; pp. 305–308. [Google Scholar] [CrossRef]
- Merrien, T. Transducteurs ultrasonores capacitifs micro-usinés pour l’imagerie 3D: Adressage ligne-colonne du réseau matriciel. Ph.D. Thesis, Tours University, Tours, France, 2022. [Google Scholar]
- Maadi, M.; Zemp, R.J. Self and Mutual Radiation Impedances for Modeling of Multi-Frequency CMUT Arrays. IEEE Trans. Ultrason. Ferroelectr. Freq. Control 2016, 63, 1441–1454. [Google Scholar] [CrossRef] [PubMed]
- Pritchard, R.L. Mutual Acoustic Impedance between Radiators in an Infinite Rigid Plane. J. Acoust. Soc. Am. 1960, 32, 730–737. [Google Scholar] [CrossRef]
- Porter, D.T. Self- and Mutual-Radiation Impedance and Beam Patterns for Flexural Disks in a Rigid Plane. J. Acoust. Soc. Am. 1964, 36, 1154–1161. [Google Scholar] [CrossRef]
- Meynier, C.; Teston, F.; Certon, D. A multiscale model for array of capacitive micromachined ultrasonic transducers. J. Acoust. Soc. Am. 2010, 128, 2549–2561. [Google Scholar] [CrossRef]
- Oguz, H.K.; Atalar, A.; Köymen, H. Equivalent circuit-based analysis of CMUT cell dynamics in arrays. IEEE Trans. Ultrason. Ferroelectr. Freq. Control 2013, 60, 1016–1024. [Google Scholar] [CrossRef] [PubMed]
- Boulmé, A.; Certon, D. Design of broadband linear micromachined ultrasonic transducer arrays by means of boundary element method coupled with normal mode theory. IEEE Trans. Ultrason. Ferroelectr. Freq. Control 2015, 62, 1704–1716. [Google Scholar] [CrossRef] [PubMed]
- Shieh, B.; Sabra, K.G.; Degertekin, F.L. A Hybrid Boundary Element Model for Simulation and Optimization of Large Piezoelectric Micromachined Ultrasonic Transducer Arrays. IEEE Trans. Ultrason. Ferroelectr. Freq. Control 2017, 65, 50–59. [Google Scholar] [CrossRef] [PubMed]
- Wang, Q.; Horsley, D.A. Using a mutual acoustic impedance model to improve the time domain response of PMUT arrays. In Proceedings of the 2017 IEEE International Ultrasonics Symposium (IUS), Washington, DC, USA, 6–9 September 2017; pp. 1–4. [Google Scholar] [CrossRef]
- Smyth, K.; Kim, S.-G. Experiment and simulation validated analytical equivalent circuit model for piezoelectric micromachined ultrasonic transducers. IEEE Trans. Ultrason. Ferroelectr. Freq. Control 2015, 62, 744–765. [Google Scholar] [CrossRef] [PubMed]
- Zhang, D.-G.; Zhou, Y.-H. A theoretical analysis of FGM thin plates based on physical neutral surface. Comput. Mater. Sci. 2008, 44, 716–720. [Google Scholar] [CrossRef]
- Ho, S.-T. Modeling of a Disk-Type Piezoelectric Transformer. IEEE Trans. Ultrason. Ferroelectr. Freq. Control 2007, 54, 2110–2119. [Google Scholar] [CrossRef] [PubMed]
- Sammoura, F.; Kim, S.-G. Modeling of the Neutral Axes of a Circular Piezoelectric Micromachined Transducer in Transmit and Receive Mode. Tech. Dig. Solid-State Sens. Actuators Microsyst. Work. 2012, 1, 485–488. [Google Scholar] [CrossRef]
- Eltaher, M.; Alshorbagy, A.; Mahmoud, F. Determination of neutral axis position and its effect on natural frequencies of functionally graded macro/nanobeams. Compos. Struct. 2013, 99, 193–201. [Google Scholar] [CrossRef]
- Zhang, D.-G. Thermal post-buckling and nonlinear vibration analysis of FGM beams based on physical neutral surface and high order shear deformation theory. Meccanica 2014, 49, 283–293. [Google Scholar] [CrossRef]
- Flight, S. NASA Reference Publication 1351 Basic Mechanics of Laminated Composite Plates. October 1994. Available online: https://ntrs.nasa.gov/api/citations/19950009349/downloads/19950009349.pdf (accessed on 1 January 2020).
- Certon, D.; Teston, F.; Patat, F. A finite difference model for cMUT devices. IEEE Trans. Ultrason. Ferroelectr. Freq. Control 2005, 52, 2199–2210. [Google Scholar] [CrossRef]
- Yang, X.; El Baroudi, A.; Le Pommellec, J.Y. Free Vibration Investigation of Submerged Thin Circular Plate. Int. J. Appl. Mech. 2020, 12, 2050025. [Google Scholar] [CrossRef]
- Littmarck, H.C.; Svante, L.; F Saeidi, M.F. COMSOL Multiphysycs. 1986. Available online: https://www.comsol.fr/ (accessed on 1 January 2020).
- Geradin, M.; Rixen, D. Mechanical Vibrations-Theory and Application to Structural Dynamics; John Wiley & Sons: Hoboken, NJ, USA, 2015. [Google Scholar]
- Timoshenko, S.; Woinowsky-Krieger, S. Theories of Plates and Shells; Springer: Berlin/Heidelberg, Germany, 2004; Volume 16. [Google Scholar]
- Reddy, J.N. Theory and Analysis of Elastic Plates and Shells, 2nd ed.; CRC Press: Boca Raton, FL, USA, 2006; Volume 148. [Google Scholar]
- Chare, C.; Gijsenbergh, P.; Jeong, Y.; Heremans, P.; Cheyns, D.; Genoe, J. Electromechanical Equivalent Circuit Model for Axisymmetric PMUTs With Elastic Boundary Conditions. J. Microelectromechan. Syst. 2022, 31, 457–472. [Google Scholar] [CrossRef]
- Sammoura, F.; Kim, S.-G. Theoretical modeling and equivalent electric circuit of a bimorph piezoelectric micromachined ultrasonic transducer. IEEE Trans. Ultrason. Ferroelectr. Freq. Control 2012, 59, 990–998. [Google Scholar] [CrossRef]
- Xu, T.; Zhao, L.; Jiang, Z.; Guo, S.; Li, Z.; Luo, G.; Sun, L.; Zhang, L. An Analytical Equivalent Circuit Model for Optimization Design of a Broadband Piezoelectric Micromachined Ultrasonic Transducer with an Annular Diaphragm. IEEE Trans. Ultrason. Ferroelectr. Freq. Control 2019, 66, 1760–1776. [Google Scholar] [CrossRef] [PubMed]
- Ben Amar, A.; Cao, H.; Kouki, A.B. Modeling and process design optimization of a piezoelectric micromachined ultrasonic transducers (PMUT) using lumped elements parameters. Microsyst. Technol. 2016, 23, 4659–4669. [Google Scholar] [CrossRef]
- Smyth, K.; Bathurst, S.; Sammoura, F.; Kim, S.-G. Analytic solution for N-electrode actuated piezoelectric disk with application to piezoelectric micromachined ultrasonic transducers. IEEE Trans. Ultrason. Ferroelectr. Freq. Control 2013, 60, 1756–1767. [Google Scholar] [CrossRef]
- Prasad, S.A.; Gallas, Q.; Horowitz, S.B.; Homeijer, B.D.; Sankar, B.V.; Cattafesta, L.N.; Sheplak, M. Analytical Electroacoustic Model of a Piezoelectric Composite Circular Plate. AIAA J. 2006, 44, 2311–2318. [Google Scholar] [CrossRef]
- Deshpande, M.; Saggere, L. An analytical model and working equations for static deflections of a circular multi-layered diaphragm-type piezoelectric actuator. Sensors Actuators A Phys. 2007, 136, 673–689. [Google Scholar] [CrossRef]
- Sammoura, F.; Smyth, K.; Kim, S.-G. Optimizing the electrode size of circular bimorph plates with different boundary conditions for maximum deflection of piezoelectric micromachined ultrasonic transducers. Ultrasonics 2013, 53, 328–334. [Google Scholar] [CrossRef] [PubMed]
- Hopcroft, M.A.; Nix, W.D.; Kenny, T.W. What is the Young’s Modulus of Silicon? J. Microelectromechanical Syst. 2010, 19, 229–238. [Google Scholar] [CrossRef]
- La Cour, M.F. Micromachined Integrated Transducers for Ultrasound Imaging. Ph.D. Thesis, Technical University of Denmark, Lyngby, Denmark, 2014. [Google Scholar]
- Robichaud, A.; Deslandes, D.; Cicek, P.-V.; Nabki, F. A Novel Topology for Process Variation-Tolerant Piezoelectric Micromachined Ultrasonic Transducers. J. Microelectromechan. Syst. 2018, 27, 1204–1212. [Google Scholar] [CrossRef]
- Seybert, A.F.; Soenarko, B.; Rizzo, F.J.; Shippy, D.J. A special integral equation formulation for acoustic radiation and scattering for axisymmetric bodies and boundary conditions. J. Acoust. Soc. Am. 1986, 80, 1241–1247. [Google Scholar] [CrossRef]
- Sherman, C.H.; Butler, J.L. Transducers and Arrays for Underwater Sound; Springer: New York, NY, USA, 2007; Volume 124. [Google Scholar]
- Pala, S.; Lin, L. An Improved Lumped Element Model for Circular-Shape pMUTs. IEEE Open J. Ultrason. Ferroelectr. Freq. Control 2022, 2, 83–95. [Google Scholar] [CrossRef]
- Nguyen, C.H.; Hanke, U.; Halvorsen, E. Constitutive Equations of Piezoelectric Layered Beams with Interdigitated Electrodes. IEEE Trans. Ultrason. Ferroelectr. Freq. Control 2018, 65, 1680–1694. [Google Scholar] [CrossRef] [PubMed]
- Merrien, T.; Boulmé, A.; Certon, D. Lumped-Parameter Equivalent Circuit Modeling of CMUT Array Elements. IEEE Open J. Ultrason. Ferroelectr. Freq. Control 2022, 2, 1–16. [Google Scholar] [CrossRef]
- Foldy, L.L. Theory of Passive Linear Electroacoustic Transducers with Fixed Velocity Distributions. J. Acoust. Soc. Am. 1949, 21, 57. [Google Scholar] [CrossRef]
- Foldy, L.L.; Primakoff, H. A General Theory of Passive Linear Electroacoustic Transducers and the Electroacoustic Reciprocity Theorem. I. J. Acoust. Soc. Am. 1945, 17, 109–120. [Google Scholar] [CrossRef]
- Cowen, A.; Hames, G.; Glukh, K.; Hardy, B. PiezoMUMPs Design Handbook a MUMPs ® Process; MEMSCAP Inc: Grenoble, France, 2014; Volume 1. [Google Scholar]
- Certon, D.; Ferin, G.; Matar, O.B.; Guyonvarch, J.; Remenieras, J.; Patat, F. Influence of acousto-optic interactions on the determination of the diffracted field by an array obtained from displacement measurements. Ultrasonics 2004, 42, 465–471. [Google Scholar] [CrossRef] [PubMed]














| Layer | Si [68] | AlN [69] | Al [69] |
|---|---|---|---|
| Thickness [µm] | 1 | 0.5 | 0.2 |
| Radius [µm] | 50 | 50 | 0–50 |
| Young’s Modulus [GPa] | 143 | 348 | 69 |
| Poisson’s ratio | 0.28 | 0.24 | 0.35 |
| Density [kg/m3] | 2330 | 3600 | 2700 |
| d31 [pC/N] | - | −2.05 | - |
| - | 10 | - |
Disclaimer/Publisher’s Note: The statements, opinions and data contained in all publications are solely those of the individual author(s) and contributor(s) and not of MDPI and/or the editor(s). MDPI and/or the editor(s) disclaim responsibility for any injury to people or property resulting from any ideas, methods, instructions or products referred to in the content. |
© 2023 by the authors. Licensee MDPI, Basel, Switzerland. This article is an open access article distributed under the terms and conditions of the Creative Commons Attribution (CC BY) license (https://creativecommons.org/licenses/by/4.0/).
Share and Cite
Goepfert, V.; Boulmé, A.; Levassort, F.; Merrien, T.; Rouffaud, R.; Certon, D. Modeling a Fluid-Coupled Single Piezoelectric Micromachined Ultrasonic Transducer Using the Finite Difference Method. Micromachines 2023, 14, 2089. https://doi.org/10.3390/mi14112089
Goepfert V, Boulmé A, Levassort F, Merrien T, Rouffaud R, Certon D. Modeling a Fluid-Coupled Single Piezoelectric Micromachined Ultrasonic Transducer Using the Finite Difference Method. Micromachines. 2023; 14(11):2089. https://doi.org/10.3390/mi14112089
Chicago/Turabian StyleGoepfert, Valentin, Audren Boulmé, Franck Levassort, Tony Merrien, Rémi Rouffaud, and Dominique Certon. 2023. "Modeling a Fluid-Coupled Single Piezoelectric Micromachined Ultrasonic Transducer Using the Finite Difference Method" Micromachines 14, no. 11: 2089. https://doi.org/10.3390/mi14112089
APA StyleGoepfert, V., Boulmé, A., Levassort, F., Merrien, T., Rouffaud, R., & Certon, D. (2023). Modeling a Fluid-Coupled Single Piezoelectric Micromachined Ultrasonic Transducer Using the Finite Difference Method. Micromachines, 14(11), 2089. https://doi.org/10.3390/mi14112089

