Research on Dual-Technology Fusion Biosensor Chip Based on RNA Virus Medical Detection
Abstract
:1. Introduction
2. Materials and Methods
3. Results and Discussion
3.1. LSPR Properties of Gold Nanorod Dimers
3.1.1. Parallel Structure
| AuNRs_GAP | 3 nm | 6 nm | 9 nm | 12 nm | 15 nm |
|---|---|---|---|---|---|
| Electric Field Resonance Peak | 629.4 nm | 631.8 nm | 634.4 nm | 637.6 nm | 640 nm |
| Ex | ![]() | ![]() | ![]() | ![]() | ![]() |
| Ey | ![]() | ![]() | ![]() | ![]() | ![]() |
| Ez | ![]() | ![]() | ![]() | ![]() | ![]() |
| |E| | ![]() | ![]() | ![]() | ![]() | ![]() |
3.1.2. Vertical Structure
3.2. Research on Biosensor Chips
3.3. RNA Virus Detection Test
3.3.1. Reagents and Instruments
- Double-stranded DNA primer sequence 1 is:G1-SKF: 5′-CTGCCCGAATTYGTAAATGA-3′G1-SKR: 5′-CCAACCCARCCATTRTACA-3′
- Double-stranded DNA primer sequence 2 is:OL68-1: 5′-GGTAACTTTCCACCACCAATGCCC-3′MD91: 5′- CCTCCGGCCCCTGAATGCGGCTAAT-3′
3.3.2. RNA Virus Detection Test Method
3.3.3. RNA Virus Detection Test Results
4. Conclusions
Author Contributions
Funding
Data Availability Statement
Conflicts of Interest
References
- Zhang, S.; Huang, W.; Ren, L.; Ju, X.; Gong, M.; Rao, J.; Sun, L.; Li, P.; Ding, Q.; Wang, J.; et al. Comparison of viral RNA–host protein interactomes across pathogenic RNA viruses informs rapid antiviral drug discovery for SARS-CoV-2. Cell Res. 2022, 32, 9–23. [Google Scholar] [CrossRef] [PubMed]
- Chevaliez, S.; Roudot-Thoraval, F.; Hézode, C.; Pawlotsky, J.-M.; Njouom, R. Performance of rapid diagnostic tests for hepatitis B surface antigen detection in serum or plasma. Diagn. Microbiol. Infect. Dis. 2021, 100, 115353. [Google Scholar] [CrossRef] [PubMed]
- Kadirsoy, S.; Atar, N.; Yola, M.L. Molecularly imprinted QCM sensor based on delaminated MXene for chlorpyrifos detection and QCM sensor validation. New J. Chem. 2020, 44, 6524–6532. [Google Scholar] [CrossRef]
- Yu, L.-Y. Research on Disposable Non-Invasive Electrochemiluminescent Glucose Biosensor Based on Au/TiO_2 Nanocomplex. Master’s Thesis, Soochow University, Taipei, Taiwan, 2016. Available online: https://kns.cnki.net/KCMS/detail/detail.aspx?dbname=CMFD201701&filename=1016226084.nh (accessed on 10 June 2022).
- Li, Y. Synthesis of Novel Nanomaterials and Their Application to Glucose Biosensors. Master’s Thesis, East China Normal University, Shanghai, China, 2011. Available online: https://kns.cnki.net/KCMS/detail/detail.aspx?dbname=CMFD2011&filename=1011129630.nh (accessed on 25 June 2022).
- Roh, S.; Chung, T.; Lee, B. Overview of the Characteristics of Micro- and Nano-Structured Surface Plasmon Resonance Sensors. Sensors 2011, 11, 1565–1588. [Google Scholar] [CrossRef] [PubMed]
- Zhu, J.; Yang, Y.; Yin, Y.; Yuan, H. Optimization Based on the Surface Plasmon Optical Properties of Adjustable Metal Nano-Microcavity System for Biosensing. Front. Chem. 2021, 9, 762638. [Google Scholar] [CrossRef] [PubMed]
- Chen, H.; Kou, X.; Yang, Z.; Ni, W.; Wang, J. Shape- and Size-Dependent Refractive Index Sensitivity of Gold Nanoparticles. Langmuir 2008, 24, 5233–5237. [Google Scholar] [CrossRef] [PubMed]
- Xu, T.; Geng, Z. Strategies to improve performances of LSPR biosensing: Structure, materials, and interface modification. Biosens. Bioelectron. 2020, 174, 112850. [Google Scholar] [CrossRef]
- Farooq, S.; de Araujo, R.E. Engineering a Localized Surface Plasmon Resonance Platform for Molecular Biosensing. Open J. Appl. Sci. 2018, 8, 126–139. [Google Scholar] [CrossRef]
- Bousiakou, L.G.; Gebavi, H.; Mikac, L.; Karapetis, S.; Ivanda, M. Surface Enhanced Raman Spectroscopy for Molecular Identification—A Review on Surface Plasmon Resonance (SPR) and Localised Surface Plasmon Resonance (LSPR) in Optical Nanobiosensing. Croat. Chem. Acta 2019, 92, 479–494. [Google Scholar] [CrossRef]
- Pellas, V.; Hu, D.; Mazouzi, Y.; Mimoun, Y.; Blanchard, J.; Guibert, C.; Salmain, M.; Boujday, S. Gold Nanorods for LSPR Biosensing: Synthesis, Coating by Silica, and Bioanalytical Applications. Biosensors 2020, 10, 146. [Google Scholar] [CrossRef]
- Cao, J.; Sun, T.; Grattan, K.T.V. Gold nanorod-based localized surface plasmon resonance biosensors: A review. Sens. Actuators B Chem. 2014, 195, 332–351. [Google Scholar] [CrossRef]
- Barbillon, G.; Bijeon, J.-L.; Plain, J.; de la Chapelle, M.L.; Adam, P.-M.; Royer, P. Biological and chemical gold nanosensors based on localized surface plasmon resonance. Gold Bull. 2007, 40, 240–244. [Google Scholar] [CrossRef]
- Peixoto, L.P.F.; Santos, J.F.; Andrade, G.F. Plasmonic nanobiosensor based on Au nanorods with improved sensitivity: A comparative study for two different configurations. Anal. Chim. Acta 2019, 1084, 71–77. [Google Scholar] [CrossRef] [PubMed]
- Yin, Y.; Zhu, J.; Wang, Z.; Ma, G.; Yuan, H.; Li, X. Enhanced Plasmonic Resonance Characteristics of AgNRs–Gold Film Hybrid System. Front. Chem. 2021, 8, 553541. [Google Scholar] [CrossRef]
- Wang, J.; Zhang, H.Z.; Li, R.S.; Huang, C.Z. Localized surface plasmon resonance of gold nanorods and assemblies in the view of biomedical analysis. TrAC Trends Anal. Chem. 2016, 80, 429–443. [Google Scholar] [CrossRef]
- Huang, H.; He, C.; Zeng, Y.; Xia, X.; Yu, X.; Yi, P.; Chen, Z. A novel label-free multi-throughput optical biosensor based on localized surface plasmon resonance. Biosens. Bioelectron. 2009, 24, 2255–2259. [Google Scholar] [CrossRef]
- Glasmästar, K.; Larsson, C.; Höök, F.; Kasemo, B. Protein Adsorption on Supported Phospholipid Bilayers. J. Colloid Interface Sci. 2002, 246, 40–47. [Google Scholar] [CrossRef]
- Fant, C.; Elwing, H.; Höök, F. The Influence of Cross-Linking on Protein−Protein Interactions in a Marine Adhesive: The Case of Two Byssus Plaque Proteins from the Blue Mussel. Biomacromolecules 2002, 3, 732–741. [Google Scholar] [CrossRef]
- Tan, Y.; Zhou, B.; Ye, X.; Cai, J.; Zhou, J. Dual-phase nanoplasmonic sensing platform for monitoring blood protein adsorption and its coagulation in vitro. Sens. Actuators B Chem. 2022, 368, 132240. [Google Scholar] [CrossRef]
- Hsieh, H.-Y.; Luo, J.-X.; Shen, Y.-H.; Lo, S.-C.; Hsu, Y.-C.; Tahara, H.; Fan, Y.-J.; Wei, P.-K.; Sheen, H.-J. A nanofluidic preconcentrator integrated with an aluminum-based nanoplasmonic sensor for Epstein-Barr virus detection. Sens. Actuators B Chem. 2022, 355, 131327. [Google Scholar] [CrossRef]
- Dutta, P.; Su, T.Y.; Fu, A.Y.; Chang, M.C.; Guo, Y.J.; Tsai, I.J.; Wei, P.K.; Chang, Y.S.; Lin, C.Y.; Fan, Y.J. Combining portable solar-powered centrifuge to nanoplamonic sensing chip with smartphone reader for rheumatoid arthritis detection. Chem. Eng. J. 2021, 434, 133864. [Google Scholar] [CrossRef]
- Chen, Z.; Zhang, F.; Li, Y.; Shan, J.; Lu, Y.; Liu, Q. Bio-electron transfer modulated localized surface plasmon resonance biosensing with charge density monitoring. Biosens. Bioelectron. 2022, 201, 113956. [Google Scholar] [CrossRef] [PubMed]
- Hsieh, H.Y.; Chang, R.; Huang, Y.Y.; Juan, P.H.; Tahara, H.; Lee, K.Y.; Tsai, M.H.; Wei, P.K.; Sheen, H.J.; Fan, Y.J. Continuous polymerase chain reaction microfluidics integrated with a gold-capped nanoslit sensing chip for Epstein-Barr virus detection. Biosens. Bioelectron. 2021, 195, 113672. [Google Scholar] [CrossRef] [PubMed]
- Dou, Q.; Zhang, Z.; Wang, Y.; Wang, S.; Hu, D.; Zhao, Z.; Liu, H.; Dai, Q. Ultrasensitive Poly(boric acid) Hydrogel-Coated Quartz Crystal Microbalance Sensor by Using UV Pressing-Assisted Polymerization for Saliva Glucose Monitoring. ACS Appl. Mater. Interfaces 2020, 12, 34190–34197. [Google Scholar] [CrossRef] [PubMed]
- Dou, Q.; Wang, S.; Zhang, Z.; Wang, Y.; Zhao, Z.; Guo, H.; Liu, H.; Dai, Q. A highly sensitive quartz crystal microbalance sensor modified with antifouling microgels for saliva glucose monitoring. Nanoscale 2020, 12, 19317–19324. [Google Scholar] [CrossRef] [PubMed]
- Lim, J.Y.; Lee, S.S. Sensitive detection of microRNA using QCM biosensors: Sandwich hybridization and signal amplification by TiO nanoparticles. Anal. Methods 2020, 12, 5103–5109. [Google Scholar] [CrossRef]
- Li, D.; Wang, J.; Wang, R.; Li, Y.; Abi-Ghanem, D.; Berghman, L.; Hargis, B.; Lu, H. A nanobeads amplified QCM immunosensor for the detection of avian influenza virus H5N1. Biosens. Bioelectron. 2011, 26, 4146–4154. [Google Scholar] [CrossRef]
- Wang, R.; Li, Y. Hydrogel based QCM aptasensor for detection of avian influenzavirus. Biosens. Bioelectron. 2013, 42, 148–155. [Google Scholar] [CrossRef]
- Dong, Z.-M.; Cheng, L.; Zhang, P.; Zhao, G.-C. Label-free analytical performances of a peptide-based QCM biosensor for trypsin. Analyst 2020, 145, 3329–3338. [Google Scholar] [CrossRef]
- Chi, L.; Xu, C.; Li, S.; Wang, X.; Tang, D.; Xue, F. In situ amplified QCM immunoassay for carcinoembryonic antigen with colorectal cancer using horseradish peroxidase nanospheres and enzymatic biocatalytic precipitation. Analyst 2020, 145, 6111–6118. [Google Scholar] [CrossRef]
- Tsuge, Y.; Moriyama, Y.; Tokura, Y.; Shiratori, S. Silver Ion Polyelectrolyte Container as a Sensitive Quartz Crystal Microbalance Gas Detector. Anal. Chem. 2016, 88, 10744–10750. [Google Scholar] [CrossRef] [PubMed]
- Su, Z.; Chen, L.; Liu, Y.; He, X.; Zhou, Y.; Xie, Q.; Yao, S. 35MHz quartz crystal microbalance and surface plasmon resonance studies on the binding of angiotensin converting enzyme with lisinopril. Biosens. Bioelectron. 2011, 26, 3240–3245. [Google Scholar] [CrossRef] [PubMed]
- Strauss, J.; Liu, Y.; Camesano, T.A. Bacterial adhesion to protein-coated surfaces: An AFM and QCM-D study. JOM 2009, 61, 71–74. [Google Scholar] [CrossRef]
- Fang, J.; Wang, P.; Du, X.; Zhu, D.-M. Detailed Analysis of Quartz Crystal Microbalance and Surface Plasmon Resonance Spectroscopy in Probing Molecular Adsorption onto Solid−Liquid Interfaces. J. Phys. Chem. C 2009, 113, 16121–16127. [Google Scholar] [CrossRef]
- Bailey, L.E.; Kambhampati, D.; Kanazawa, K.K.; Knoll, W.; Frank, C.W. Using Surface Plasmon Resonance and the Quartz Crystal Microbalance to Monitor in Situ the Interfacial Behavior of Thin Organic Films. Langmuir 2002, 18, 479–489. [Google Scholar] [CrossRef]
- Mie, G. Heating of Biological Tissues by Gold Nano Particles: Effects of Particle Size and Distribution. Ann. Phys. 1908, 25, 377. [Google Scholar] [CrossRef]
- Piliarik, M.; Kvasnička, P.; Galler, N.; Krenn, J.R.; Homola, J. Local Refractive Index Sensitivity of Plasmonic Nanoparticles. Opt. Express 2011, 19, 9213–9220. [Google Scholar] [CrossRef]
- Charles, D.E.; Aherne, D.; Gara, M.; Ledwith, D.M.; Gun’ko, Y.K.; Kelly, J.M.; Blau, W.J.; Brennan-Fournet, M.E. Versatile Solution Phase Triangular Silver Nanoplates for Highly Sensitive Plasmon Resonance Sensing. ACS Nano 2010, 4, 55–64. [Google Scholar] [CrossRef]
- Chen, H.; Shao, L.; Woo, K.C.; Ming, T.; Lin, H.Q.; Wang, J. Shape-Dependent Refractive Index Sensitivities of Gold Nanocrystals with the Same Plasmon Resonance Wavelength. J. Phys. Chem. C 2009, 113, 17691–17697. [Google Scholar] [CrossRef]
- Link, S.; Mohamed, M.B.; El-Sayed, M.A. Simulation of the Optical Absorption Spectra of Gold Nanorods as a Function of Their Aspect Ratio and the Effect of the Medium Dielectric Constant. J. Phys. Chem. B 1999, 103, 3073–3077. [Google Scholar] [CrossRef] [Green Version]
- Uranus, H.P.; Hoekstra, H.J.W.M. Modelling of microstructured waveguides using a finite-element-based vectorial mode solver with transparent boundary conditions. Opt. Express 2004, 12, 2795–2809. [Google Scholar] [CrossRef] [PubMed]
- Mock, J.J.; Hill, R.T.; Degiron, A.; Zauscher, S.; Chilkoti, A.; Smith, D.R. Distance-Dependent Plasmon Resonant Coupling between a Gold Nanoparticle and Gold Film. Nano Lett. 2008, 8, 2245–2252. [Google Scholar] [CrossRef] [PubMed]
- Khan, A.U.; Zhao, S.; Liu, G. Key Parameter Controlling the Sensitivity of Plasmonic Metal Nanoparticles: Aspect Ratio. J. Phys. Chem. C 2016, 120, 19353–19364. [Google Scholar] [CrossRef]
- Lee, K.-S.; El-Sayed, M.A. Gold and Silver Nanoparticles in Sensing and Imaging: Sensitivity of Plasmon Response to Size, Shape, and Metal Composition. J. Phys. Chem. B 2006, 110, 19220–19225. [Google Scholar] [CrossRef]
- Johnson, H.E.; Aikens, C.M. Electronic Structure and TDDFT Optical Absorption Spectra of Silver Nanorods. J. Phys. Chem. A 2009, 113, 4445–4450. [Google Scholar] [CrossRef] [PubMed]
- Guidez, E.B.; Aikens, C.M. Theoretical analysis of the optical excitation spectra of silver and gold nanowires. Nanoscale 2012, 4, 4190–4198. [Google Scholar] [CrossRef]
- Hu, J. Research on the Key Technology for Mass Sensitivity of Quartz Crystal Microbalance (QCM). Ph.D. Thesis, University of Electronic Science and Technology, Chengdu, China, 2021. Available online: https://kns.cnki.net/KCMS/detail/detail.aspx?dbname=CDFDLAST2022&filename=1021744221.nh (accessed on 15 August 2022).
- Bai, Q.-S. Research on QCM-Based Liquid Detection Technology. Ph.D. Thesis, University of Electronic Science and Technology, Chengdu, China, 2019. Available online: https://kns.cnki.net/KCMS/detail/detail.aspx?dbname=CDFDLAST2020&filename=1019851843.nh (accessed on 1 September 2022).
- Nishikawa, S.; Kato, F.; Yanagida, T.; Ogi, H.; Hirao, M. Development of MEMS Quartz Crystal Microbalance Biosensor with an Electrodeless Embedded Quartz Resonator MEMS-QCM. In Proceedings of the Symposium on Ultrasonic Electronics, Kyoto, Japan, 8–10 November 2011. [Google Scholar]









| AuNRs_GAP | 3 nm | 6 nm | 9 nm | 12 nm | 15 nm |
|---|---|---|---|---|---|
| Electric Field Resonance Peak | 629.4 nm | 631.8 nm | 634.4 nm | 637.6 nm | 640 nm |
| Ex | ![]() | ![]() | ![]() | ![]() | ![]() |
| Ey | ![]() | ![]() | ![]() | ![]() | ![]() |
| Ez | ![]() | ![]() | ![]() | ![]() | ![]() |
| |E| | ![]() | ![]() | ![]() | ![]() | ![]() |
| AuNRs_GAP | 3 nm | 6 nm | 9 nm | 12 nm | 15 nm |
|---|---|---|---|---|---|
| Electric Field Resonance Peak | 629.4 nm | 631.8 nm | 634.4 nm | 637.6 nm | 640 nm |
| Ex | ![]() | ![]() | ![]() | ![]() | ![]() |
| Ey | ![]() | ![]() | ![]() | ![]() | ![]() |
| Ez | ![]() | ![]() | ![]() | ![]() | ![]() |
| |E| | ![]() | ![]() | ![]() | ![]() | ![]() |
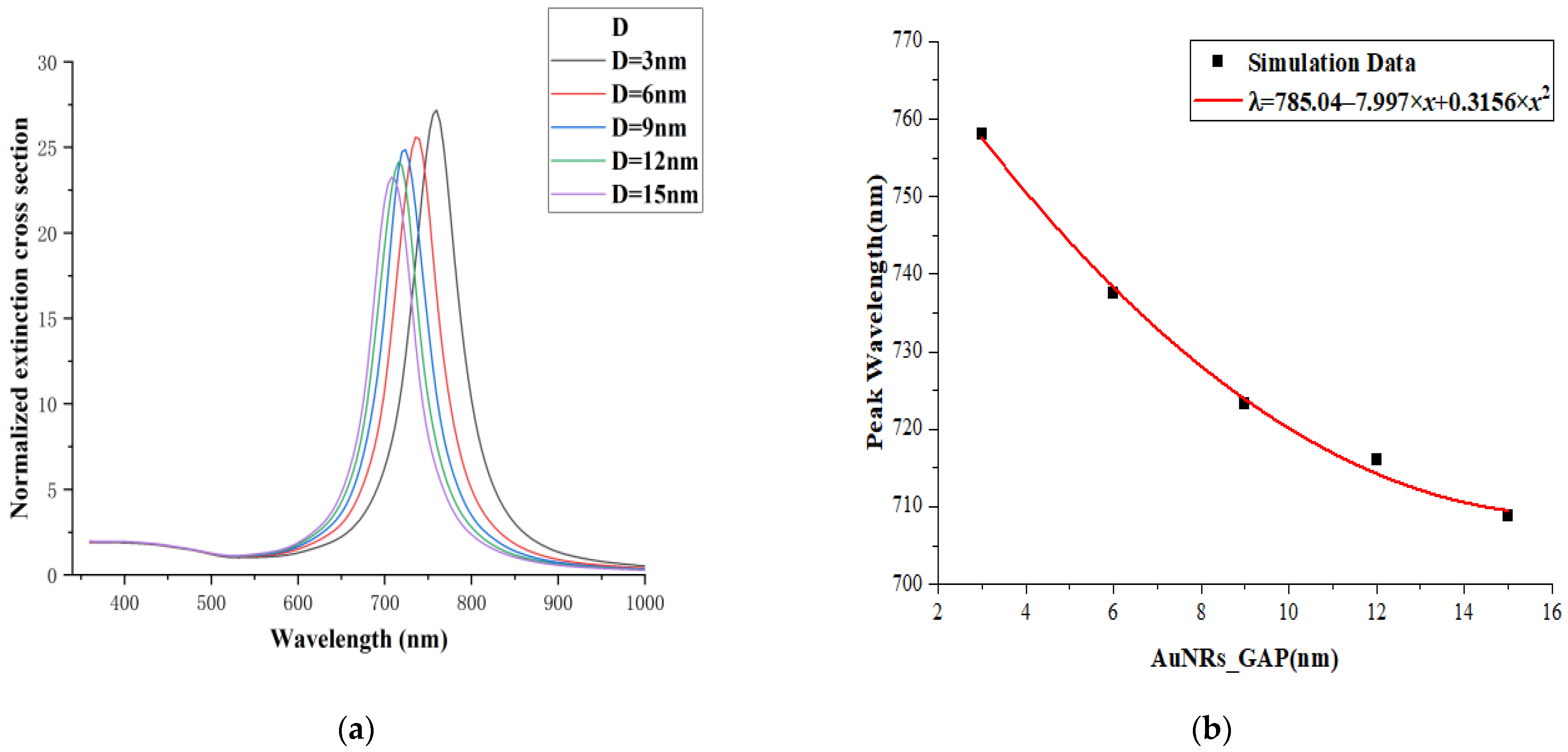
| AuNRs_GAP | 3 nm | 6 nm | 9 nm | 12 nm | 15 nm |
|---|---|---|---|---|---|
| Electric Field Resonance Peak | 758.1 nm | 737.5 nm | 723.2 nm | 716.0 nm | 708.8 nm |
| Ex | ![]() | ![]() | ![]() | ![]() | ![]() |
| Ey | ![]() | ![]() | ![]() | ![]() | ![]() |
| Ez | ![]() | ![]() | ![]() | ![]() | ![]() |
| |E| | ![]() | ![]() | ![]() | ![]() | ![]() |
| AuNRs_GAP | 3 nm | 6 nm | 9 nm | 12 nm | 15 nm |
|---|---|---|---|---|---|
| Electric Field Resonance Peak | 758.1 nm | 737.5 nm | 723.2 nm | 716.0 nm | 708.8 nm |
| Ex | ![]() | ![]() | ![]() | ![]() | ![]() |
| Ey | ![]() | ![]() | ![]() | ![]() | ![]() |
| Ez | ![]() | ![]() | ![]() | ![]() | ![]() |
| |E| | ![]() | ![]() | ![]() | ![]() | ![]() |
| AuNRs_GAP | 3 nm | 6 nm | 9 nm | 12 nm | 15 nm |
|---|---|---|---|---|---|
| Electric Field Resonance Peak | 758.1 nm | 737.5 nm | 723.2 nm | 716.0 nm | 708.8 nm |
| Ex | ![]() | ![]() | ![]() | ![]() | ![]() |
| Ey | ![]() | ![]() | ![]() | ![]() | ![]() |
| Ez | ![]() | ![]() | ![]() | ![]() | ![]() |
| |E| | ![]() | ![]() | ![]() | ![]() | ![]() |
Publisher’s Note: MDPI stays neutral with regard to jurisdictional claims in published maps and institutional affiliations. |
© 2022 by the authors. Licensee MDPI, Basel, Switzerland. This article is an open access article distributed under the terms and conditions of the Creative Commons Attribution (CC BY) license (https://creativecommons.org/licenses/by/4.0/).
Share and Cite
Zhu, J.; Xie, Y. Research on Dual-Technology Fusion Biosensor Chip Based on RNA Virus Medical Detection. Micromachines 2022, 13, 1523. https://doi.org/10.3390/mi13091523
Zhu J, Xie Y. Research on Dual-Technology Fusion Biosensor Chip Based on RNA Virus Medical Detection. Micromachines. 2022; 13(9):1523. https://doi.org/10.3390/mi13091523
Chicago/Turabian StyleZhu, Jin, and Yushan Xie. 2022. "Research on Dual-Technology Fusion Biosensor Chip Based on RNA Virus Medical Detection" Micromachines 13, no. 9: 1523. https://doi.org/10.3390/mi13091523
APA StyleZhu, J., & Xie, Y. (2022). Research on Dual-Technology Fusion Biosensor Chip Based on RNA Virus Medical Detection. Micromachines, 13(9), 1523. https://doi.org/10.3390/mi13091523

























































































































