A Bridge-Shaped Vibration Energy Harvester with Resonance Frequency Tunability under DC Bias Electric Field
Abstract
:1. Introduction
2. The Theoretical Model and Design Principle
2.1. The Resonance Frequency of a Simply Supported Bimorph without Axial Preload
2.2. The Resonance Frequency of a Simply Supported Bimorph with Axial Preload
2.3. The Resonance Frequency of Simply Supported Bimorph with Both Axial Preload and DC Electric Field
3. Experimental Validations and Discussion
3.1. Prototype Fabrication and Experimental Setup
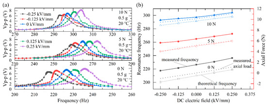
3.2. Experimental Results and Discussion
3.2.1. The Output Voltage under DC Electric Fields
3.2.2. The Output Voltage under Different Accelerations and Load Resistances
3.2.3. The Output Power of PEH with Various Load Resistance
3.2.4. The Charging Performance of PEH under DC Electric Field
4. Conclusions
Author Contributions
Funding
Data Availability Statement
Conflicts of Interest
References
- Moustakas, K.; Loizidou, M.; Rehan, M.; Nizami, A.S. A Review of Recent Developments in Renewable and Sustainable Energy Systems: Key Challenges and Future Perspective. Renew. Sust. Energy Rev. 2020, 119, 109418. [Google Scholar] [CrossRef]
- Liu, H.C.; Zhong, J.W.; Lee, C.; Lee, S.W.; Lin, L.W. A Comprehensive Review on Piezoelectric Energy Harvesting Technology: Materials, Mechanisms, and Applications. Appl. Phys. Rev. 2018, 5, 041306. [Google Scholar] [CrossRef]
- Ajayan, J.; Nirmal, D.; Mohankumar, P.; Saravanan, M.; Jagadesh, M.; Arivazhagan, L. A Review of Photovoltaic Performance of Organic/Inorganic Solar Cells for Future Renewable and Sustainable Energy Technologies. Superlattice Microst. 2020, 143, 106549. [Google Scholar] [CrossRef]
- Krupenkin, T.; Taylor, J.A. Reverse Electrowetting as a New Approach to High-Power Energy Harvesting. Nat. Commun. 2011, 2, 448. [Google Scholar] [CrossRef] [PubMed] [Green Version]
- Rodriguez, J.C.; Nico, V.; Punch, J. A Vibration Energy Harvester and Power Management Solution for Battery-Free Operation of Wireless Sensor Nodes. Sensors 2019, 19, 3776. [Google Scholar] [CrossRef] [Green Version]
- Xu, C.; Song, Y.; Han, M.D.; Zhang, H.X. Portable and Wearable Self-Powered Systems Based on Emerging Energy Harvesting Technology. Microsyst. Nanoeng. 2021, 7, 25. [Google Scholar] [CrossRef]
- Liang, H.T.; Hao, G.B.; Olszewski, O.Z. A Review on Vibration-Based Piezoelectric Energy Harvesting from the Aspect of Compliant Mechanisms. Sens. Actuat. A Phys. 2021, 331, 112743. [Google Scholar] [CrossRef]
- Jiang, J.X.; Liu, S.G.; Feng, L.F.; Zhao, D. A Review of Piezoelectric Vibration Energy Harvesting with Magnetic Coupling Based on Different Structural Characteristics. Micromachines 2021, 12, 436. [Google Scholar] [CrossRef] [PubMed]
- Hosseinkhani, A.; Younesian, D.; Eghbali, P.; Moayedizadeh, A.; Fassih, A. Sound and Vibration Energy Harvesting for Railway Applications: A Review on Linear and Nonlinear Techniques. Energy Rep. 2021, 7, 852–874. [Google Scholar] [CrossRef]
- Gao, S.; Cao, Q.; Zhou, N.; Ao, H.; Jiang, H. Design and Test of a Spoke-Like Piezoelectric Energy Harvester. Micromachines 2022, 13, 232. [Google Scholar] [CrossRef] [PubMed]
- Li, X.; Gao, Q.; Cao, Y.Y.; Yang, Y.F.; Liu, S.M.; Wang, Z.L.; Cheng, T.H. Optimization Strategy of Wind Energy Harvesting Via Triboelectric-Electromagnetic Flexible Cooperation. Appl. Energy 2022, 307, 118311. [Google Scholar] [CrossRef]
- Zhang, C.G.; Liu, Y.B.; Zhang, B.F.; Yang, O.; Yuan, W.; He, L.X.; Wei, X.L.; Wang, J.; Wang, Z.L. Harvesting Wind Energy by a Triboelectric Nanogenerator for an Intelligent High-Speed Train System. ACS Energy Lett. 2021, 6, 1490–1499. [Google Scholar] [CrossRef]
- Hamlehdar, M.; Kasaeian, A.; Safaei, M.R. Energy Harvesting from Fluid Flow Using Piezoelectrics: A Critical Review. Renew. Energy 2019, 143, 1826–1838. [Google Scholar] [CrossRef]
- Xu, W.H.; Zheng, H.X.; Liu, Y.; Zhou, X.F.; Zhang, C.; Song, Y.X.; Deng, X.; Leung, M.; Yang, Z.B.; Xu, R.X.; et al. A Droplet-Based Electricity Generator with High Instantaneous Power Density. Nature 2020, 578, 392. [Google Scholar] [CrossRef] [PubMed]
- Cha, Y. Energy Harvesting Using Flexible Piezoelectric Materials from Human Walking Motion: Theoretical Analysis. J. Intel. Mat. Syst. Str. 2017, 28, 3006–3015. [Google Scholar] [CrossRef]
- Shan, G.; He, T.; Zhang, Z.; Ao, H.; Jiang, H.; Lee, C. A Motion Capturing and Energy Harvesting Hybridized Lower-Limb System for Rehabilitation and Sports Applications. Adv. Sci. 2021, 8, 2101834. [Google Scholar]
- Safaei, M.; Sodano, H.A.; Anton, S.R. A Review of Energy Harvesting Using Piezoelectric Materials: State-of-the-Art a Decade Later (2008–2018). Smart Mater. Struct. 2019, 28, 113001. [Google Scholar] [CrossRef]
- Wang, Z.L. Triboelectric Nanogenerator (Teng)-Sparking an Energy and Sensor Revolution. Adv. Energy Mater. 2020, 10, 2000137. [Google Scholar] [CrossRef] [Green Version]
- Lefeuvre, E.; Audigier, D.; Richard, C.; Guyomar, D. Buck-Boost Converter for Sensorless Power Optimization of Piezoelectric Energy Harvester. IEEE T Power Electr. 2007, 22, 2018–2025. [Google Scholar] [CrossRef]
- Zhu, R.J.; Wang, Z.M.; Ma, H.; Yuan, G.L.; Wang, F.X.; Cheng, Z.X.; Kimura, H. Poling-Free Energy Harvesters Based on Robust Self-Poled Ferroelectric Fibers. Nano Energy 2018, 50, 97–105. [Google Scholar] [CrossRef]
- Uchino, K. Piezoelectric Energy Harvesting Systems-Essentials to Successful Developments. Energy Technol. Ger. 2018, 6, 829–848. [Google Scholar]
- Liu, D.H.; Li, H.S.; Feng, H.; Yalkun, T.; Hajj, M.R. A Multi-Frequency Piezoelectric Vibration Energy Harvester with Liquid Filled Container as the Proof Mass. Appl. Phys. Lett. 2019, 114, 213902. [Google Scholar] [CrossRef]
- Wang, Q.M.; Zhang, T.; Chen, Q.M.; Du, X.H. Effect of Dc Bias Field on the Complex Materials Coefficients of Piezoelectric Resonators. Sens. Actuat. A Phys. 2003, 109, 149–155. [Google Scholar] [CrossRef]
- Chen, Q.M.; Zhang, T.; Wang, Q.M. Frequency-Temperature Compensation of Piezoelectric Resonators by Electric Dc Bias Field. IEEE T Ultrason. Ferr. 2005, 52, 1627–1631. [Google Scholar] [CrossRef] [PubMed]
- Aleksandrov, K.S.; Zaitseva, M.P.; Sysoev, A.M.; Kokorin, Y.I. The Piezoelectric Resonator in a Dc Electric-Field. Ferroelectrics 1982, 41, 137–142. [Google Scholar] [CrossRef]
- Leland, E.S.; Wright, P.K. Resonance Tuning of Piezoelectric Vibration Energy Scavenging Generators Using Compressive Axial Preload. Smart Mater. Struct. 2006, 15, 1413–1420. [Google Scholar]
- Dhote, S.; Zu, J.; Zhu, Y. A Nonlinear Multi-Mode Wideband Piezoelectric Vibration-Based Energy Harvester Using Compliant Orthoplanar Spring. Appl. Phys. Lett. 2015, 106, 163903. [Google Scholar]
- Fan, K.Q.; Tan, Q.X.; Zhang, Y.W.; Liu, S.H.; Cai, M.L.; Zhu, Y.M. A Monostable Piezoelectric Energy Harvester for Broadband Low-Level Excitations. Appl. Phys. Lett. 2018, 112, 123901. [Google Scholar] [CrossRef]
- Cao, J.Y.; Wang, W.; Zhou, S.X.; Inman, D.J.; Lin, J. Nonlinear Time-Varying Potential Bistable Energy Harvesting from Human Motion. Appl. Phys. Lett. 2015, 107, 143904. [Google Scholar]
- Peng, Y.; Xu, Z.B.; Wang, M.; Li, Z.J.; Peng, J.L.; Luo, J.; Xie, S.R.; Pu, H.Y.; Yang, Z.B. Investigation of Frequency-up Conversion Effect on the Performance Improvement of Stack-Based Piezoelectric Generators. Renew. Energy 2021, 172, 551–563. [Google Scholar] [CrossRef]
- Guan, D.; Li, Y.; Tan, C. Tuning the Resonance Frequency of Piezoelectric Energy Harvesters by Applying Direct Current Electric Field on Piezoelectric Elements. AIP Adv. 2022, 12, 055319. [Google Scholar]
- Lesieutre, G.A.; Davis, C.L. Can a Coupling Coefficient of a Piezoelectric Device Be Higher Than Those of Its Active Material? J. Intel. Mat. Syst. Str. 1997, 8, 859–867. [Google Scholar] [CrossRef]
- Bedekar, V.; Oliver, J.; Zhang, S.J.; Priya, S. Comparative Study of Energy Harvesting from High Temperature Piezoelectric Single Crystals. JPN J. Appl. Phys. 2009, 48, 091406. [Google Scholar] [CrossRef]






| Symbol | Description | Value | Units |
|---|---|---|---|
| b | Bimorph width | 5 | mm |
| L | Bimorph length | 56 | mm |
| Piezo layer thickness | 0.2 | mm | |
| Brass layer thickness | 0.1 | mm | |
| Piezo Young’s modulus | 65 | GPa | |
| Brass Young’s modulus | 126 | GPa | |
| Piezo density | 7750 | kg/m−3 | |
| Brass density | 7850 | kg/m−3 | |
| Stiffness of load sensor | 20 | kg/mm | |
| Elastic compliance | 1.65 × 10−11 | m2/N | |
| Piezoelectric coefficient | 2.74 × 10−10 | C/N | |
| g | Gravity acceleration | 9.8 | N/kg |
Publisher’s Note: MDPI stays neutral with regard to jurisdictional claims in published maps and institutional affiliations. |
© 2022 by the authors. Licensee MDPI, Basel, Switzerland. This article is an open access article distributed under the terms and conditions of the Creative Commons Attribution (CC BY) license (https://creativecommons.org/licenses/by/4.0/).
Share and Cite
Duan, G.; Li, Y.; Tan, C. A Bridge-Shaped Vibration Energy Harvester with Resonance Frequency Tunability under DC Bias Electric Field. Micromachines 2022, 13, 1227. https://doi.org/10.3390/mi13081227
Duan G, Li Y, Tan C. A Bridge-Shaped Vibration Energy Harvester with Resonance Frequency Tunability under DC Bias Electric Field. Micromachines. 2022; 13(8):1227. https://doi.org/10.3390/mi13081227
Chicago/Turabian StyleDuan, Guan, Yingwei Li, and Chi Tan. 2022. "A Bridge-Shaped Vibration Energy Harvester with Resonance Frequency Tunability under DC Bias Electric Field" Micromachines 13, no. 8: 1227. https://doi.org/10.3390/mi13081227
APA StyleDuan, G., Li, Y., & Tan, C. (2022). A Bridge-Shaped Vibration Energy Harvester with Resonance Frequency Tunability under DC Bias Electric Field. Micromachines, 13(8), 1227. https://doi.org/10.3390/mi13081227

