A Substrate Integrated Waveguide-Based W-Band Antenna for Microwave Power Transmission
Abstract
:1. Introduction
2. Antenna Design
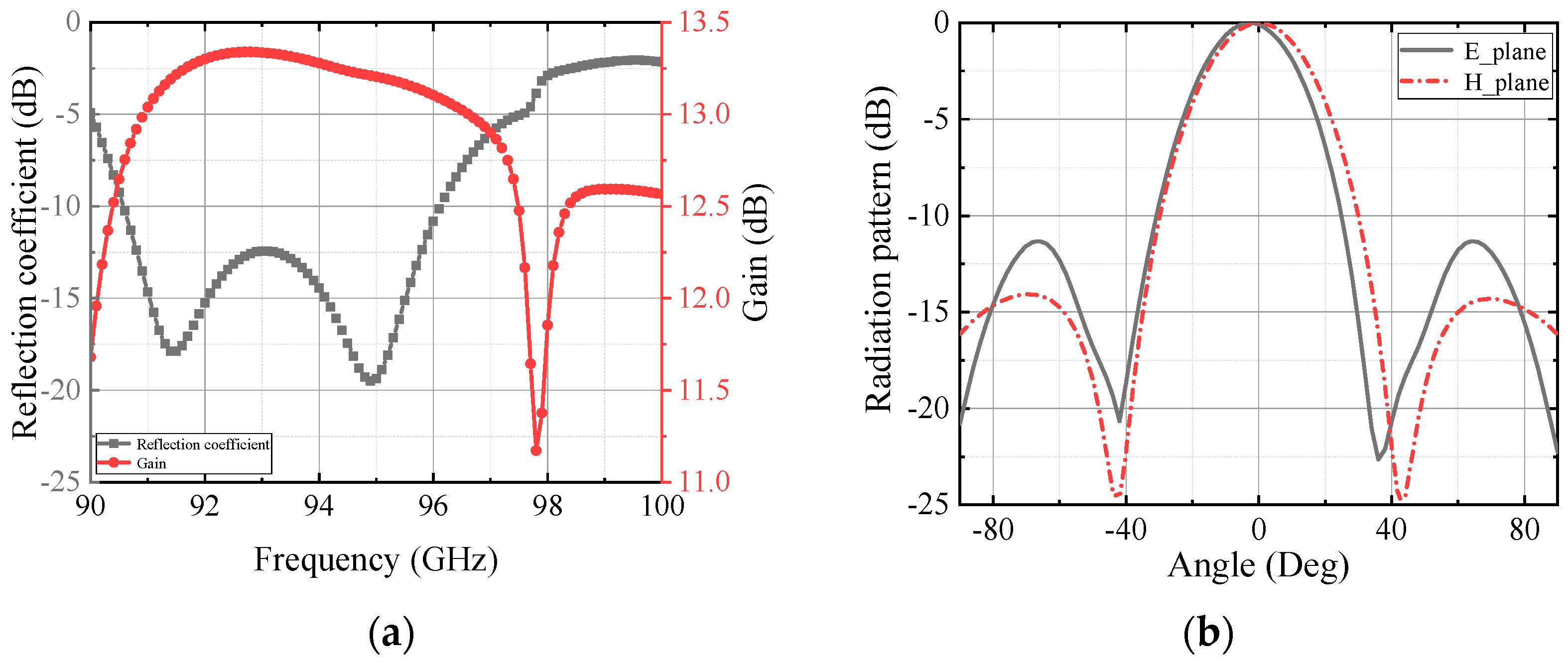
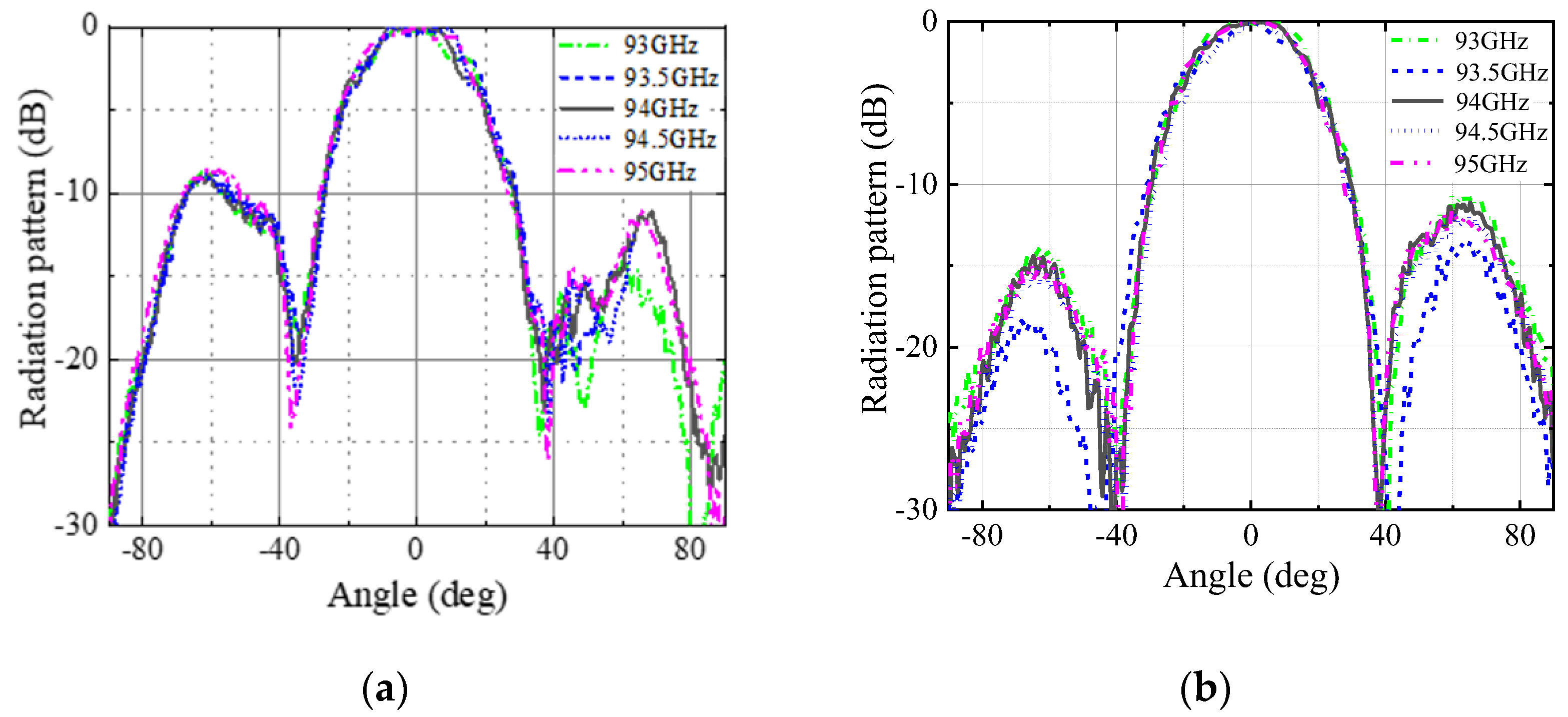
3. Measured Results
4. Conclusions
Author Contributions
Funding
Data Availability Statement
Conflicts of Interest
References
- Yu, F.; Yang, X.-X. Progress of Rectenna Arrays for Microwave Power Transmission Systems. Adv. Astronaut. Sci. Technol. 2022, 5, 49–58. [Google Scholar] [CrossRef]
- Zhai, Z.; Jin, K.; Zhou, W.; Wang, X. A Novel Power Combining Strategy for Rectenna Array of Microwave Power Transmission System. In Proceedings of the 2022 IEEE Applied Power Electronics Conference and Exposition (APEC), Houston, TX, USA, 20–24 March 2022; pp. 1870–1873. [Google Scholar] [CrossRef]
- Takabayashi, N.; Kawai, K.; Mase, M.; Shinohara, N.; Mitani, T. Large-Scale Sequentially-Fed Array Antenna Radiating Flat-Top Beam for Microwave Power Transmission to Drones. IEEE J. Microw. 2022, 2, 297–306. [Google Scholar] [CrossRef]
- Assogba, O.; Mbodji, A.K.; Bréard, A.; Diallo, A.K.; Duroc, Y. Tri-Band Rectenna Dedicated to UHF RFID, GSM-1800 and UMTS-2100 Frequency Bands. Sensors 2022, 22, 3565. [Google Scholar] [CrossRef] [PubMed]
- Dat, P.D.; Le, M.T.; Quoc, C.N. Polarization-Insensitive 2.45 GHz Rectenna Using Hybrid Coupler for Wi-Fi Energy Harvesting Application. Meas. Control Autom. 2022, 3, 36–40. Available online: https://mca-journal.org/index.php/mca/article/view/79 (accessed on 6 June 2022).
- Surender, D.; Halimi, A.; Khan, T.; Talukdar, F.A.; Antar, Y.M.M. A triple band rectenna for RF energy harvesting in smart city applications. Int. J. Electron. 2022, 1–15. [Google Scholar] [CrossRef]
- Saito, K.; Nishiyama, E.; Toyoda, I. A 2.45- and 5.8-GHz Dual-Band Stacked Differential Rectenna With High Conversion Efficiency in Low Power Density Environment. IEEE Open J. Antennas Propag. 2022, 3, 627–636. [Google Scholar] [CrossRef]
- Takabayashi, N.; Yang, B.; Shinohara, N.; Mitani, T. Lightweight and Compact Rectenna Array with 20W-class Output at C-band for Micro-drone Wireless Charging. IEICE Trans. Electron. 2022; online ahead of print. [Google Scholar] [CrossRef]
- Yi, X.; Chen, Q.; Hao, S.; Chen, X. An efficient 5.8 GHz microwave wireless power transmission system. Int. J. RF Microw. Comput. Aided Eng. 2022, 32, e23094. [Google Scholar] [CrossRef]
- Xu, C.; Fan, Y.; Liu, X. A Circularly Polarized Implantable Rectenna for Microwave Wireless Power Transfer. Micromachines 2022, 13, 121. [Google Scholar] [CrossRef]
- Wagih, M.; Hilton, G.S.; Weddell, A.S.; Beeby, S. Millimeter-Wave Power Transmission for Compact and Large-Area Wearable IoT Devices Based on a Higher Order Mode Wearable Antenna. IEEE Internet Things J. 2022, 9, 5229–5239. [Google Scholar] [CrossRef]
- Wang, Y.; Yang, X.-X.; Tan, G.-N.; Gao, S. Study on millimeter-wave SIW rectenna and arrays with high conversion efficiency. IEEE Trans. Antennas Propag. 2021, 69, 5503–5511. [Google Scholar] [CrossRef]
- Ren, Y.-J.; Li, M.-Y.; Chang, K. 35 GHz rectifying antenna for wireless power transmission. Electron. Lett. 2007, 43, 602–603. [Google Scholar] [CrossRef]
- Wei, H.; Ke, W. Substrate integrated waveguide rectenna array using antipodal linearly tapered slot antenna. Sci. Online 2008, 3, 59–64. [Google Scholar]
- Chen, Q.; Liu, Z.; Cui, Y.; Cai, H.; Chen, X. A Metallic Waveguide-Integrated 35-GHz Rectenna With High Conversion Efficiency. IEEE Microw. Wirel. Compon. Lett. 2020, 30, 821–824. [Google Scholar] [CrossRef]
- Hoque, M.U.; Kumar, D.; Audet, Y.; Savaria, Y. Design and Analysis of a 35 GHz Rectenna System for Wireless Power Transfer to an Unmanned Air Vehicle. Energies 2022, 15, 320. [Google Scholar] [CrossRef]
- Chiou, H.-K.; Chen, I.-S. High-Efficiency Dual-Band On-Chip Rectenna for 35-and 94-GHz Wireless Power Transmission in 0.13-μm CMOS Technology. IEEE Trans. Microw. Theory Tech. 2010, 58, 3598–3606. [Google Scholar] [CrossRef]
- Shaulov, E.; Jameson, S.; Socher, E. W-band energy harvesting rectenna array in 65-nm CMOS. In Proceedings of the 2017 IEEE MTT-S International Microwave Symposium (IMS), Honololu, HI, USA, 4–9 June 2017; pp. 307–310. [Google Scholar] [CrossRef]
- Esquius-Morote, M.; Fuchs, B.; Zürcher, J.; Mosig, J.R. A Printed Transition for Matching Improvement of SIW Horn Antennas. IEEE Trans. Antennas Propag. 2013, 61, 1923–1930. [Google Scholar] [CrossRef] [Green Version]
- Liu, B.; Hong, W.; Kuai, Z.; Yin, X.; Luo, G.; Chen, J.; Tang, H.; Wu, K. Substrate Integrated Waveguide (SIW) Monopulse Slot Antenna Array. IEEE Trans. Antennas Propag. 2009, 57, 275–279. [Google Scholar] [CrossRef]
- Ma, W.; Cao, W.; Tong, Y.; Zhang, B. Sidelobe Suppression for Wideband Slotted SIW Cavity-Backed Antenna Array. IEICE Electron. Express 2022, advpub, 19.20220184. [Google Scholar] [CrossRef]
- Wu, Y.W.; Hao, Z.C.; Miao, Z.W. A Planar W-Band Large-Scale High-Gain Substrate-Integrated Waveguide Slot Array. IEEE Trans. Antennas Propag. 2020, 68, 6429–6434. [Google Scholar] [CrossRef]
- Liu, L.; Yu, C.; Meng, F.; Zheng, Q. W-Band rectenna array based on SIW slot antenna. In Proceedings of the 2020 International Conference on Microwave and Millimeter Wave Technology (ICMMT), Shanghai, China, 20–23 September 2020; pp. 1–3. [Google Scholar] [CrossRef]
- Kazemi, R.; Fathy, A.E.; Yang, S.; Sadeghzadeh, R.A. Development of an ultra wide band GCPW to SIW transition. In Proceedings of the 2012 IEEE Radio and Wireless Symposium, Santa Clara, CA, USA, 15–18 January 2012; pp. 171–174. [Google Scholar] [CrossRef]
- He, P.; Zhao, D.; Liu, L.; Xu, J.; Zheng, Q.; Yu, C.; You, X. A W-Band 2 × 2 Rectenna Array With On-Chip CMOS Switching Rectifier and On-PCB Tapered Slot Antenna for Wireless Power Transfer. IEEE Trans. Microw. Theory Tech. 2021, 69, 969–979. [Google Scholar] [CrossRef]











| Parameters | Value | Parameters | Value | Parameters | Value |
|---|---|---|---|---|---|
| w (mm) | 4.62 | w8 (mm) | 0.23 | d (mm) | 0.25 |
| w1 (mm) | 1.52 | l1 (mm) | 1.42 | p1 (mm) | 0.43 |
| w2 (mm) | 0.94 | l2 (mm) | 0.82 | p2 (mm) | 0.43 |
| w3 (mm) | 0.79 | l3 (mm) | 1.62 | p3 (mm) | 0.43 |
| w4 (mm) | 2.33 | l4 (mm) | 1.80 | a (mm) | 2.54 |
| w5 (mm) | 3.00 | l5 (mm) | 1.11 | b (mm) | 1.27 |
| w6 (mm) | 1.10 | l6 (mm) | 0.56 | a1 (mm) | 0.75 |
| w7 (mm) | 2.28 | l7 (mm) | 5.39 | b1 (mm) | 0.50 |
Publisher’s Note: MDPI stays neutral with regard to jurisdictional claims in published maps and institutional affiliations. |
© 2022 by the authors. Licensee MDPI, Basel, Switzerland. This article is an open access article distributed under the terms and conditions of the Creative Commons Attribution (CC BY) license (https://creativecommons.org/licenses/by/4.0/).
Share and Cite
Liu, L.; Yang, Y.; Yu, C.; Li, S.; Wu, H.; Sun, L.; Meng, F. A Substrate Integrated Waveguide-Based W-Band Antenna for Microwave Power Transmission. Micromachines 2022, 13, 986. https://doi.org/10.3390/mi13070986
Liu L, Yang Y, Yu C, Li S, Wu H, Sun L, Meng F. A Substrate Integrated Waveguide-Based W-Band Antenna for Microwave Power Transmission. Micromachines. 2022; 13(7):986. https://doi.org/10.3390/mi13070986
Chicago/Turabian StyleLiu, Liang, Yu Yang, Chuan Yu, Shifeng Li, Hao Wu, Limin Sun, and Fanbao Meng. 2022. "A Substrate Integrated Waveguide-Based W-Band Antenna for Microwave Power Transmission" Micromachines 13, no. 7: 986. https://doi.org/10.3390/mi13070986
APA StyleLiu, L., Yang, Y., Yu, C., Li, S., Wu, H., Sun, L., & Meng, F. (2022). A Substrate Integrated Waveguide-Based W-Band Antenna for Microwave Power Transmission. Micromachines, 13(7), 986. https://doi.org/10.3390/mi13070986

