Asymptotic Synchronization of Memristive Cohen-Grossberg Neural Networks with Time-Varying Delays via Event-Triggered Control Scheme
Abstract
:1. Introduction
- (1)
- This paper designs a state-feedback controller, and some ETC conditions were provided based on the state-feedback controller.
- (2)
- Some sufficient conditions are presented to guarantee asymptotic synchronization of MCGNNs with time-varying delays under ETC condition.
- (3)
- Furthermore, the MCGNNs under ETC schemes can effectively reduce the update times of controllers and decrease computing cost.
2. Preliminaries
3. Synchronization of Memristive Cohen-Grossberg Neural Networks
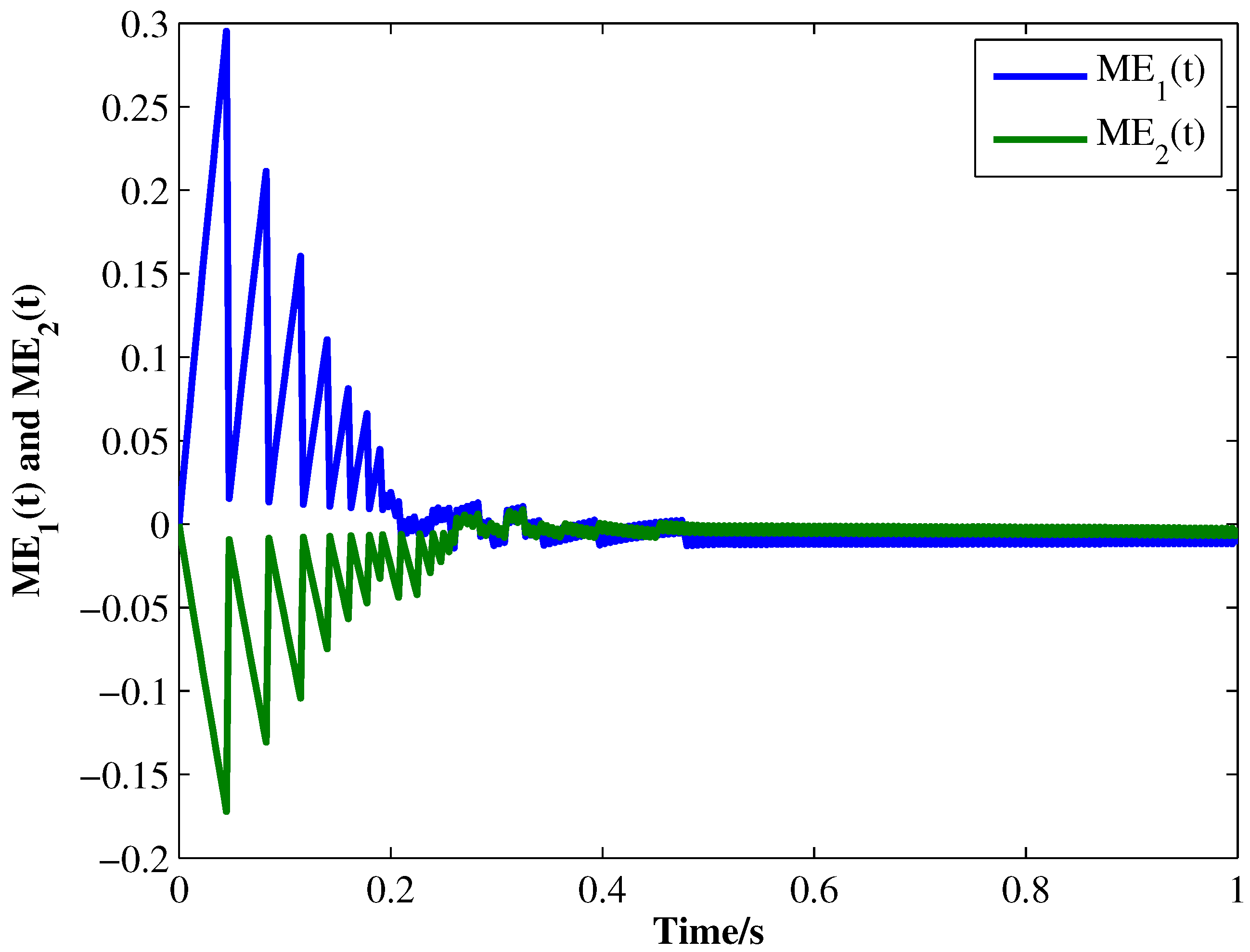
4. Numerical Simulations
5. Conclusions
Author Contributions
Funding
Conflicts of Interest
References
- Yu, F.; Shen, H.; Zhang, Z.N.; Huang, Y.Y.; Cai, S.; Du, S.C. A new multi-scroll Chua’s circuit with composite hyperbolic tangent-cubic nonlinearity: Complex dynamics, Hardware implementation and Image encryption application. Integration 2021, 81, 71–83. [Google Scholar] [CrossRef]
- Yu, F.; Liu, L.; Xiao, L.; Li, K.L.; Cai, S. A robust and fixed-time zeroing neural dynamics for computing time-variant nonlinear equation using a novel nonlinear activation function. Neurocomputing 2019, 350, 108–116. [Google Scholar] [CrossRef]
- Long, M.; Zeng, Y. Detecting iris liveness with batch normalized convolutional neural network. CMC-Comput. Mater. Continua 2019, 58, 493–504. [Google Scholar] [CrossRef]
- Yu, F.; Kong, X.X.; Chen, H.F.; Yu, Q.L.; Cai, S.; Huang, Y.Y.; Du, S.C. A 6D fractional-order memristive Hopfield neural network and its application in image encryption. Front. Phys. 2022, 10, 847385. [Google Scholar] [CrossRef]
- Wang, J.; Zou, Y.S.; Lei, P.; Sherratt, R.S.; Wang, L. Research on recurrent neural network based crack opening prediction of concrete dam. J. Internet Technol. 2020, 21, 1161–1169. [Google Scholar]
- Zhou, L.; Wang, C.H.; Zhou, L.L. A novel no-equilibrium hyperchaotic multi-wing system via introducing memristor. Int. J. Circuit Theory Appl. 2018, 46, 84–98. [Google Scholar] [CrossRef]
- Yu, F.; Li, L.X.; He, B.Y.; Liu, L.; Qian, S.; Zhang, Z.N.; Shen, H.; Cai, S.; Li, Y. Pseudorandom number generator based on a 5D hyperchaotic four-wing memristive system and its FPGA implementation. Eur. Phys. J. Spec. Top. 2021, 230, 1763–1772. [Google Scholar] [CrossRef]
- Zhou, L.; Wang, C.H.; Zhou, L.L. Generating hyperchaotic multi-wing attractor in a 4D memristive circuit. Nonlinear Dyn. 2016, 85, 2653–2663. [Google Scholar] [CrossRef]
- Wu, A.L.; Zhang, J.E. Multistability of memristive neural networks with time-varying delays. Complexity 2015, 21, 177–186. [Google Scholar] [CrossRef]
- Yao, W.; Wang, C.H.; Cao, J.D.; Sun, Y.C.; Zhou, C. Hybrid multisynchronization of coupled multistable memristive neural networks with time delays. Neurocomputing 2019, 363, 281–294. [Google Scholar] [CrossRef]
- Itoh, M.; Chua, L.O. Memristor cellular automata and memristor discrete-time cellular neural networks. Int. J. Bifurc. Chaos 2009, 19, 3605–3656. [Google Scholar] [CrossRef]
- Nie, X.B.; Zheng, W.X.; Cao, J.D. Coexistence and local μ-stability of multiple equilibrium points for memristive neural networks with nonmonotonic piecewise linear activation functions and unbounded time-varying delays. Neural Netw. 2016, 84, 172–180. [Google Scholar] [CrossRef] [PubMed]
- Yao, W.; Wang, C.H.; Sun, Y.C.; Zhou, C. Robust multimode function synchronization of memristive neural networks with parameter perturbations and time-varying delays. IEEE Trans. Syst. Man Cybern. Syst. 2022, 52, 260–274. [Google Scholar] [CrossRef]
- Lv, X.X.; Li, X.D.; Cao, J.D.; Perc, M. Dynamical and static multisynchronization of coupled multistable neural networks via impulsive control. IEEE Trans. Neural. Learn. Syst. 2018, 29, 6062–60729. [Google Scholar] [CrossRef] [PubMed]
- Yu, F.; Chen, H.F.; Kong, X.X.; Yu, Q.L.; Cai, S.; Huang, Y.Y.; Du, S.C. Dynamic analysis and application in medical digital image watermarking of a new multi-scroll neural network with quartic nonlinear memristor. Eur. Phys. J. Plus 2022, 137, 434. [Google Scholar] [CrossRef] [PubMed]
- Duan, S.K.; Hu, X.F.; Dong, Z.K.; Wang, L.D.; Mazumder, P. Memristor-based cellular nonlinear/neural network: Design, analysis, and applications. IEEE Trans. Neural Netw. Learn. Syst. 2015, 26, 1202–1213. [Google Scholar] [CrossRef]
- Cohen, M.A.; Grossberg, S. Absolute stability of global pattern formation and parallel memory storage by competitive neural networks. IEEE Trans. Syst. Man Cybern. 1983, 13, 815–826. [Google Scholar]
- Yang, W.; Wang, Y.W.; Zeng, Z.G.; Zheng, D.F. Multistability of discrete-time delayed Cohen-Grossberg neural networks with second-order synaptic connectivity. Neurocomputing 2015, 164, 252–261. [Google Scholar] [CrossRef]
- Gopalsamy, K. Global asymptotic stability in a periodic Lotka-Volterra system. J. Aust. Math. Soc. 1985, 27, 66–72. [Google Scholar] [CrossRef] [Green Version]
- Yao, W.; Wang, C.H.; Sun, Y.C.; Zhou, C.; Lin, H.R. Exponential multistability of memristive Cohen-Grossberg neural networks with stochastic parameter perturbations. Appl. Math. Comput. 2020, 38, 125483. [Google Scholar] [CrossRef]
- Nie, X.B.; Zheng, W.X.; Cao, J.D. Multistability of memristive Cohen-Grossberg neural networks with non-monotonic piecewise linear activation functions and time-varying delays. Neural Netw. 2015, 71, 27–36. [Google Scholar] [CrossRef]
- Zhou, Y.H.; Li, C.D.; Chen, L.; Huang, T.W. Global exponential stability of memristive Cohen-Grossberg neural networks with mixed delays and impulse time window. Neurocomputing 2018, 275, 2384–2391. [Google Scholar] [CrossRef]
- Qin, S.T.; Ma, Q.; Feng, J.Q.; Xu, C. Multistability of almost periodic solution for memristive Cohen-Grossberg neural networks with mixed delays. IEEE Trans. Neural Netw. Learn. Syst. 2020, 31, 1914–1926. [Google Scholar] [CrossRef]
- Yang, X.S.; Cao, J.D.; Yu, W.W. Exponential synchronization of memristive Cohen-Grossberg neural networks with mixed delays. Cogn. Neurodyn. 2014, 8, 239–249. [Google Scholar] [CrossRef] [Green Version]
- Wei, R.Y.; Cao, J.D.; Alsaedi, A. Fixed-time synchronization of memristive Cohen-Grossberg neural networks with impulsive effects. Int. J. Control. Autom. Syst. 2018, 16, 2214–2224. [Google Scholar] [CrossRef]
- Liu, M.; Jiang, H.J.; Hu, C. New results for exponential synchronization of memristive Cohen-Grossberg neural networks with time-varying delays. Neural Process. Lett. 2019, 49, 79–102. [Google Scholar] [CrossRef]
- Ren, F.M.; Jiang, M.H.; Xu, H.; Fang, X. New finite-time synchronization of memristive Cohen-Grossberg neural network with reaction-diffusion term based on time-varying delay. Neural Comput. Appl. 2021, 33, 4315–4328. [Google Scholar] [CrossRef]
- Ren, F.M.; Jiang, M.H.; Xu, H.; Li, M.Q. Quasi fixed-time synchronization of memristive Cohen-Grossberg neural networks with reaction-diffusion. Neurocomputing 2020, 415, 74–83. [Google Scholar] [CrossRef]
- Wei, R.; Cao, J.; Alsaedi, A. Finite-time and fixed-time synchronization analysis of inertial memristive neural networks with time-varying delays. Cogn. Neurodyn. 2017, 12, 121–134. [Google Scholar] [CrossRef]
- Huang, D.; Jiang, M.; Jian, J. Finite-time synchronization of inertial memristive neural networks with time-varying delays via sampled-date control. Neurocomputing 2017, 266, 527–539. [Google Scholar] [CrossRef]
- Gong, S.; Yang, S.; Guo, Z.; Huang, T. Global exponential synchronization of inertial memristive neural networks with time-varying delay via nonlinear controller. Neural Netw. 2018, 102, 138–148. [Google Scholar] [CrossRef]
- Guo, Z.; Gong, S.; Yang, S.; Huang, T. Global exponential synchronization of multiple coupled inertial memristive neural networks with time-varying delay via nonlinear coupling. Neural Netw. 2018, 108, 260–271. [Google Scholar] [CrossRef]
- Zhou, J.; Dong, H.; Feng, J. Event-triggered communication for synchronization of Markovian jump delayed complex networks with partially unknown transition rates. Appl. Math. Comput. 2017, 293, 617–629. [Google Scholar] [CrossRef]
- Wen, S.; Zeng, Z.; Chen, M.Z.Q.; Huang, T. Synchronization of switched neural networks with communication delays via the event-triggered control. IEEE Trans. Neural Netw. Learn. Syst. 2017, 28, 2334–2343. [Google Scholar] [CrossRef]
- Yue, D.; Tian, E.; Han, Q.L. A delay system method for designing event-triggered controllers of networked control systems. IEEE Trans. Autom. Control 2013, 58, 475–481. [Google Scholar] [CrossRef]
- Zhang, R.; Zeng, D.; Zhong, S.; Yu, Y. Event-triggered sampling control for stability and stabilization of memristive neural networks with communication delays. Appl. Math. Comput. 2017, 310, 57–74. [Google Scholar] [CrossRef]
- Zhou, Y.; Zeng, Z. Event-triggered impulsive control on quasi-synchronization of memristive neural networks with time-varying delays. Neural Netw. 2019, 110, 55–65. [Google Scholar] [CrossRef]
- Guo, Z.; Gong, S.; Wen, S.; Huang, T. Event-based synchronization control for memristive neural networks with time-varying delay. IEEE Trans. Cybern. 2019, 49, 3268–3277. [Google Scholar] [CrossRef]
- Yao, W.; Wang, C.H.; Sun, Y.C.; Zhou, C.; Lin, H.R. Synchronization of inertial memristive neural networks with time-varying delays via static or dynamic event-triggered control. Neurocomputing 2020, 404, 367–380. [Google Scholar] [CrossRef]
- Liu, H.; Wang, Z.; Shen, B.; Liu, X. Event-triggered H∞ state estimation for delayed stochastic memristive neural networks with missing measurements: The discrete time case. IEEE Trans. Neural Netw. Learn. Syst. 2018, 29, 3726–3737. [Google Scholar]
- Xie, X.; Zhou, Q.; Yue, D.; Li, H. Relaxed control design of discrete-time Takagi-Sugeno fuzzy systems: An event-triggered real-time scheduling approach. IEEE Trans. Syst. Man Cybern. Syst. 2018, 48, 2251–2262. [Google Scholar] [CrossRef]
- Aubin, J.P.; Cellina, A. Differential Inclusions; Springer: Berlin, Germany, 1984. [Google Scholar]
- Senan, S.; Ali, M.S.; Vadivel, R.; Arik, S. Decentralized event-triggered synchronization of uncertain markovian jumping neutral-type neural networks with mixed delays. Neural Netw. 2017, 86, 32–41. [Google Scholar] [CrossRef]
- Vadivel, R.; Hammachukiattikul, P.; Gunasekaran, N.; Saravanakumar, R.; Dutta, H. Strict dissipativity synchronization for delayed static neural networks: An event-triggered scheme. Chaos Solitons Fractals 2021, 150, 111212. [Google Scholar] [CrossRef]
- Song, Y.W.; Cao, J.D.; Rutkowski, L. A fixed-time distributed optimization algorithm based on event-triggered strategy. IEEE Trans. Netw. Sci. Eng. 2021; in press. [Google Scholar] [CrossRef]
- Yang, Y.C.; Tu, Z.W.; Wang, L.W.; Cao, J.D.; Qian, W.H. H-infinity synchronization of delayed neural networks via event-triggered dynamic output control. Neural Netw. 2021, 142, 231–237. [Google Scholar] [CrossRef]
- Anbuvithya, R.; Sri, S.D.; Vadivel, R.; Gunasekaran, N.; Hammachukiattikul, P. Extended dissipativity and non-fragile synchronization for recurrent neural networks with multiple time-varying delays via sampled-data control. IEEE Access. 2021, 9, 31454–31466. [Google Scholar] [CrossRef]
- Ali, M.S.; Gunasekaran, N.; Aruna, B. Design of sampled-data control for multiple-time delayed generalised neural networks based on delay-partitioning approach. Int. J. Syst. Sci. 2017, 48, 2794–2810. [Google Scholar] [CrossRef]
- Liu, X.Y.; Ho, D.W.C.; Xie, C.L. Prespecified-time cluster synchronization of complex networks via a smooth control approach. IEEE Trans. Cybern. 2020, 50, 1771–1775. [Google Scholar] [CrossRef]
- Liu, X.Y.; Ho, D.W.C.; Song, Q.; Wu, W.Y. Finite/fixed-time pinning synchronization of complex networks with stochastic disturbances. IEEE Trans. Cybern. 2019, 49, 2398–2403. [Google Scholar] [CrossRef]









Publisher’s Note: MDPI stays neutral with regard to jurisdictional claims in published maps and institutional affiliations. |
© 2022 by the authors. Licensee MDPI, Basel, Switzerland. This article is an open access article distributed under the terms and conditions of the Creative Commons Attribution (CC BY) license (https://creativecommons.org/licenses/by/4.0/).
Share and Cite
Yao, W.; Yu, F.; Zhang, J.; Zhou, L. Asymptotic Synchronization of Memristive Cohen-Grossberg Neural Networks with Time-Varying Delays via Event-Triggered Control Scheme. Micromachines 2022, 13, 726. https://doi.org/10.3390/mi13050726
Yao W, Yu F, Zhang J, Zhou L. Asymptotic Synchronization of Memristive Cohen-Grossberg Neural Networks with Time-Varying Delays via Event-Triggered Control Scheme. Micromachines. 2022; 13(5):726. https://doi.org/10.3390/mi13050726
Chicago/Turabian StyleYao, Wei, Fei Yu, Jin Zhang, and Ling Zhou. 2022. "Asymptotic Synchronization of Memristive Cohen-Grossberg Neural Networks with Time-Varying Delays via Event-Triggered Control Scheme" Micromachines 13, no. 5: 726. https://doi.org/10.3390/mi13050726
APA StyleYao, W., Yu, F., Zhang, J., & Zhou, L. (2022). Asymptotic Synchronization of Memristive Cohen-Grossberg Neural Networks with Time-Varying Delays via Event-Triggered Control Scheme. Micromachines, 13(5), 726. https://doi.org/10.3390/mi13050726

