A Tuneable Pressure-Based Energy Harvester for Powering the Environmental Internet of Things
Abstract
1. Introduction
2. Background
3. System Design
3.1. Actuator Design
3.2. Converter Design
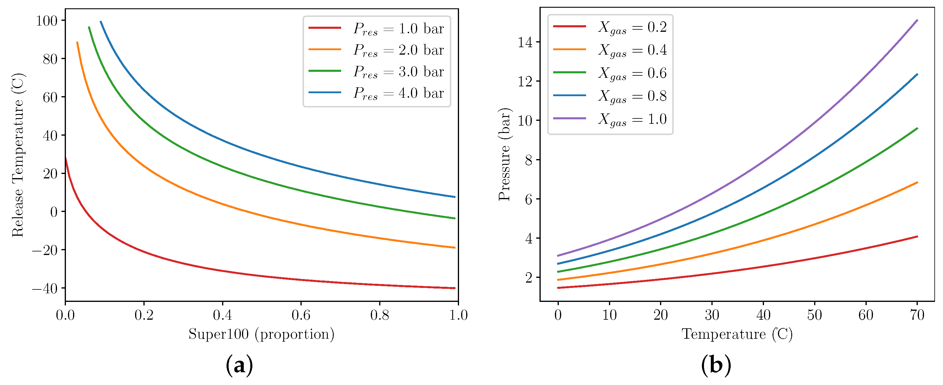
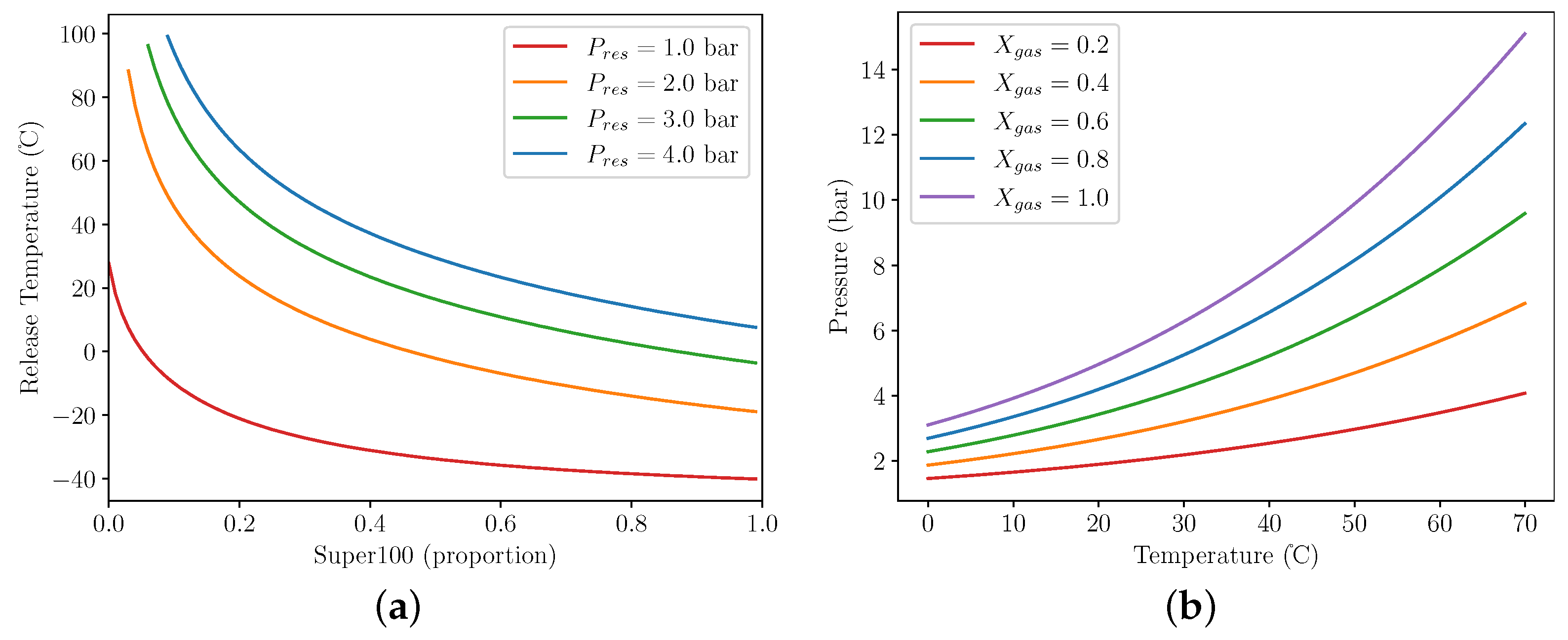
3.3. System Modelling
4. Methodology
5. Results and Discussion
6. Conclusions
Author Contributions
Funding
Data Availability Statement
Conflicts of Interest
Abbreviations
| IoT | Internet of Things |
| SOC | System On Chip |
References
- Martinez, K.; Ong, R.; Hart, J. Glacsweb: A sensor network for hostile environments. In Proceedings of the 2004 First Annual IEEE Communications Society Conference on Sensor and Ad Hoc Communications and Networks, IEEE SECON 2004, Santa Clara, CA, USA, 4–7 October 2004; pp. 81–87. [Google Scholar] [CrossRef]
- Sadowski, S.; Spachos, P. Solar-Powered Smart Agricultural Monitoring System Using Internet of Things Devices. In Proceedings of the 2018 IEEE 9th Annual Information Technology, Electronics and Mobile Communication Conference (IEMCON), Vancouver, BC, Canada, 1–3 November 2018; pp. 18–23. [Google Scholar] [CrossRef]
- Ouellette, S.A.; Todd, M.D. Cement Seawater Battery Energy Harvester for Marine Infrastructure Monitoring. IEEE Sens. J. 2014, 14, 865–872. [Google Scholar] [CrossRef]
- Valecce, G.; Petruzzi, P.; Strazzella, S.; Grieco, L.A. NB-IoT for Smart Agriculture: Experiments from the Field. In Proceedings of the 2020 7th International Conference on Control, Decision and Information Technologies (CoDIT), Prague, Czech Republic, 29 June–2 July 2020; Volume 1, pp. 71–75. [Google Scholar] [CrossRef]
- Harris, N.; Joshua, S.C. Development and range testing of a LoRaWAN system in an urban environment. Int. J. Electron. Commun. Eng. 2018, 12. [Google Scholar]
- swarm.space. Swarm Case Study: Optiweigh. Available online: https://web.archive.org/web/20220905113552/https://swarm.space/wp-content/uploads/2022/02/Swarm-Agriculture-Case-Study-Optiweigh.pdf (accessed on 20 September 2022).
- swarm.space. Swarm Case Study: Dryad Networks. Available online: https://web.archive.org/web/20220905113753/https://swarm.space/wp-content/uploads/2022/02/Swarm-Environmental-Case-Study-Dryad.pdf (accessed on 20 September 2022).
- Me-ead, C.; McNeil, R. Pattern and Trend of Night Land Surface Temperature in Africa. Sci. Rep. 2019, 9, 18302. [Google Scholar] [CrossRef] [PubMed]
- Curry, J.; Harris, N. Powering the Environmental Internet of Things. Sensors 2019, 19, 1940. [Google Scholar] [CrossRef] [PubMed]
- Curry, J.; Harris, N.; White, N. A novel energy harvesting actuator for self-powered environmental sensors. In Proceedings of the 2021 IEEE Sensors Applications Symposium (SAS), Sundsvall, Sweden, 23–25 August 2021; pp. 1–6. [Google Scholar] [CrossRef]
- Patel, S.; Moline, D.; Wagner, J. Modeling and analysis of an atmospheric driven Atmos clock with mechanical escapement control. In Proceedings of the 2013 European Control Conference (ECC), Zurich, Switzerland, 17–19 July 2013; pp. 281–287. [Google Scholar] [CrossRef]
- Ali, G.; Wagner, J.; Moline, D.; Schweisinger, T. Energy harvesting from atmospheric variations—Theory and test. Renew. Energy 2015, 74, 528–535. [Google Scholar] [CrossRef]
- Ganesh, S.; Ali, G.; Moline, D.; Schweisinger, T.; Wagner, J. Conversion of atmospheric variations into electric power—Design and analysis of an electric power generator system. Renew. Energy 2018, 120, 478–487. [Google Scholar] [CrossRef]
- Zhao, C.; Yisrael, S.; Smith, J.R.; Patel, S.N. Powering Wireless Sensor Nodes with Ambient Temperature Changes. In Proceedings of the 2014 ACM International Joint Conference on Pervasive and Ubiquitous Computing, Seattle, WA, USA, 13–17 September 2014; ACM: New York, NY, USA, 2014. UbiComp’14. pp. 383–387. [Google Scholar] [CrossRef]
- Xiao, C.; Naclerio, N.D.; Hawkes, E.W. Energy Harvesting across Temporal Temperature Gradients using Vaporization. In Proceedings of the 2019 IEEE/RSJ International Conference on Intelligent Robots and Systems (IROS), Macau, China, 4–8 November 2019; pp. 7170–7175. [Google Scholar]
- Schrader, R.; Ax, T.; Röhrig, C.; Fühner, C. Advertising power consumption of bluetooth low energy systems. In Proceedings of the 2016 3rd International Symposium on Wireless Systems within the Conferences on Intelligent Data Acquisition and Advanced Computing Systems (IDAACS-SWS), Offenburg, Germany, 26–27 September 2016; pp. 62–68. [Google Scholar] [CrossRef]
- Antoine, C. Tensions des vapeurs: Nouvelle relation entre les tensions et les températures. C. r. Held Seanc. Acad. Sci. Paris 1888, 107, 681–684, 778–780, 836–837. [Google Scholar]
- National Institute of Standards and Technology. NIST Webbook: Butane. Available online: https://webbook.nist.gov/cgi/inchi/InChI%3D1S/C4H10/c1-3-4-2/h3-4H2%2C1-2H3 (accessed on 20 September 2022).
- Rothenberger. Rofilll Super 100 SDS. Available online: http://data.laboshop.com/fileadmin/media/sdb/20134_sdb_enu.pdf (accessed on 20 September 2022).
- Geiger, R.; Hofmann, H. Energy harvesting using AC machines with high effective pole count. In Proceedings of the 2008 IEEE Power Electronics Specialists Conference, Rhodes, Greece, 15–19 June 2008; pp. 2229–2234. [Google Scholar] [CrossRef]









Publisher’s Note: MDPI stays neutral with regard to jurisdictional claims in published maps and institutional affiliations. |
© 2022 by the authors. Licensee MDPI, Basel, Switzerland. This article is an open access article distributed under the terms and conditions of the Creative Commons Attribution (CC BY) license (https://creativecommons.org/licenses/by/4.0/).
Share and Cite
Curry, J.; Harris, N.; White, N. A Tuneable Pressure-Based Energy Harvester for Powering the Environmental Internet of Things. Micromachines 2022, 13, 1973. https://doi.org/10.3390/mi13111973
Curry J, Harris N, White N. A Tuneable Pressure-Based Energy Harvester for Powering the Environmental Internet of Things. Micromachines. 2022; 13(11):1973. https://doi.org/10.3390/mi13111973
Chicago/Turabian StyleCurry, Joshua, Nick Harris, and Neil White. 2022. "A Tuneable Pressure-Based Energy Harvester for Powering the Environmental Internet of Things" Micromachines 13, no. 11: 1973. https://doi.org/10.3390/mi13111973
APA StyleCurry, J., Harris, N., & White, N. (2022). A Tuneable Pressure-Based Energy Harvester for Powering the Environmental Internet of Things. Micromachines, 13(11), 1973. https://doi.org/10.3390/mi13111973

