A Shear-Mode Magnetoelectric Heterostructure with Enhanced Magnetoelectric Response for Stray Power-Frequency Magnetic Field Energy Harvesting
Abstract
1. Introduction
2. Magnetoelectric Heterostructure
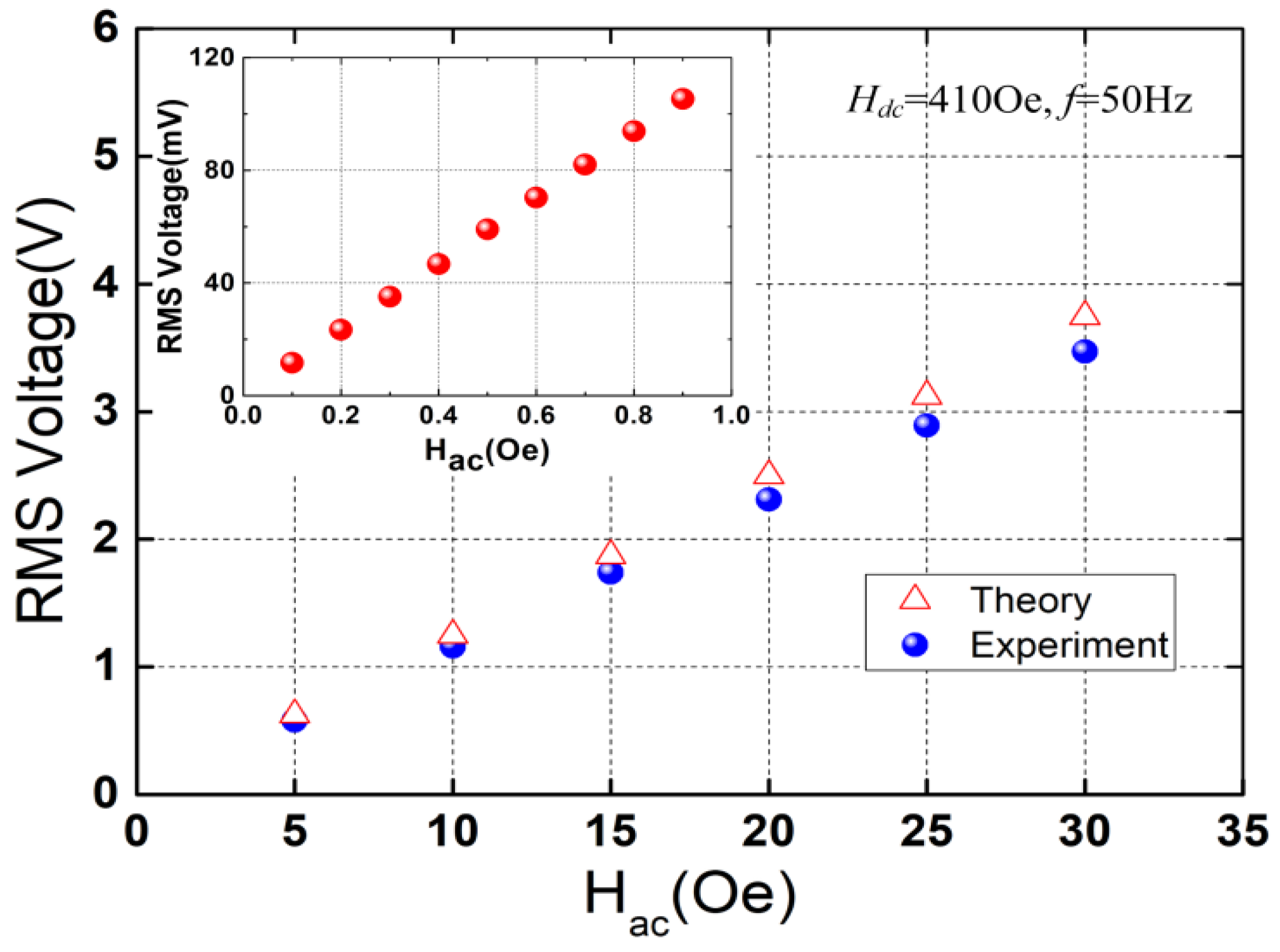
3. Results and Discussions
4. Conclusions
Funding
Data Availability Statement
Conflicts of Interest
References
- Zhang, Q.; Liu, X.; Chaker, M.; Ma, D. Advancing graphitic carbon nitride-based photocatalysts toward broadband solar energy harvesting. ACS Mater. Lett. 2021, 3, 663–697. [Google Scholar] [CrossRef]
- Zhou, Z.; Qin, W.; Zhu, P. Harvesting acoustic energy by coherence resonance of a bi-stable piezoelectric harvester. Energy 2017, 126, 527–534. [Google Scholar] [CrossRef]
- Liu, G.S.; Peng, Y.Y.; Liu, M.H.; Zou, X.Y.; Cheng, J.C. Broadband acoustic energy harvesting metasurface with coupled Helmholtz resonators. Appl. Phys. Lett. 2018, 113, 153503. [Google Scholar] [CrossRef]
- Ge, M.; Li, Z.; Zhao, Y.; Xuan, Z.; Li, Y.; Zhao, Y. Experimental study of thermoelectric generator with different numbers of modules for waste heat recovery. Appl. Energy 2022, 322, 119523. [Google Scholar] [CrossRef]
- Zhao, Y.; Fan, Y.; Li, W.; Li, Y.; Ge, M.; Xie, L. Experimental investigation of heat pipe thermoelectric generator. Energy Convers. Manage. 2022, 252, 115123. [Google Scholar] [CrossRef]
- Zhou, N.; Hou, Z.; Zhang, Y.; Cao, J.; Bowen, C.R. Enhanced swing electromagnetic energy harvesting from human motion. Energy 2021, 228, 120591. [Google Scholar] [CrossRef]
- He, W.; Liu, S. A magnetoelectric energy harvester for low-frequency vibrations and human walking. J. Magn. Magn. Mater. 2022, 542, 168609. [Google Scholar] [CrossRef]
- He, W. A Piezoelectric Heterostructure Scavenging Mechanical Energy from Human Foot Strikes. Micromachines 2022, 13, 1353. [Google Scholar] [CrossRef]
- Zhang, Y.; Wang, T.; Luo, A.; Hu, Y.; Li, X.; Wang, F. Micro electrostatic energy harvester with both broad bandwidth and high normalized power density. Appl. Energy 2018, 212, 362–371. [Google Scholar] [CrossRef]
- Huang, X.; Zhang, C.; Dai, K. A Multi-Mode Broadband Vibration Energy Harvester Composed of Symmetrically Distributed U-Shaped Cantilever Beams. Micromachines 2021, 12, 203. [Google Scholar] [CrossRef]
- Zhou, J.; Zhao, X.; Wang, K.; Chang, Y.; Xu, D.; Wen, G. Bio-inspired bistable piezoelectric vibration energy harvester: Design and experimental investigation. Energy 2021, 228, 120595. [Google Scholar] [CrossRef]
- Qian, M.; Li, Z.; Fan, L.; Wang, H.; Xu, J.; Zhao, W.; Huang, F. Ultra-light graphene tile-based phase-change material for efficient thermal and solar energy harvest. ACS Appl. Energy Mater. 2020, 3, 5517–5522. [Google Scholar] [CrossRef]
- Maharjan, P.; Bhatta, T.; Rasel, M.S.; Salauddin, M.; Rahman, M.T.; Park, J.Y. High-performance cycloid inspired wearable electromagnetic energy harvester for scavenging human motion energy. Appl. Energy 2019, 256, 113987. [Google Scholar] [CrossRef]
- Mi, J.; Li, Q.; Liu, M.; Li, X.; Zuo, L. Design, modelling, and testing of a vibration energy harvester using a novel half-wave mechanical rectification. Appl. Energy 2020, 279, 115726. [Google Scholar] [CrossRef]
- Bhuiyan, R.H.; Dougal, R.A.; Ali, M. A miniature energy harvesting device for wireless sensors in electric power system. IEEE Sens. J. 2010, 10, 1249–1258. [Google Scholar] [CrossRef]
- Leland, E.S.; Wright, P.K.; White, R.M. Energy scavenging power sources for household electrical monitoring. In Proceedings of the The Sixth International Workshop on Micro and Nanotechnology for Power Generation and Energy Conversion Applications, Berkeley, CA, USA, 9 November–1 December 2006; pp. 165–168. [Google Scholar]
- He, W.; Lu, Y.; Zhang, J.; Qu, C.; Che, G.; Peng, J. Energy harvesting from stray power-frequency magnetic field employing a piezoelectric unimorph based heterostructure. Eur. Phys. J. Appl. Phys. 2016, 73, 30903. [Google Scholar] [CrossRef]
- Li, M.; Wen, Y.; Li, P.; Yang, J. A resonant frequency self-tunable rotation energy harvester based on magnetoelectric transducer. Sens. Actuators A Phys. 2013, 194, 16–24. [Google Scholar] [CrossRef]
- He, W.; Qu, C. A magnetically levitated magnetoelectric vibration generator using a Halbach array. Sens. Actuators A Phys. 2020, 315, 112301. [Google Scholar] [CrossRef]
- He, W.; Li, P.; Wen, Y.; Zhang, J.; Yang, A.; Lu, C. A noncontact magnetoelectric generator for energy harvesting from power lines. IEEE Trans. Magn. 2014, 50, 8204604. [Google Scholar] [CrossRef]
- He, W.; Li, P.; Wen, Y.; Zhang, J.; Yang, A.; Lu, C. Energy harvesting from two-wire power cords using magnetoelectric transduction. IEEE Trans. Magn. 2014, 50, 4004805. [Google Scholar] [CrossRef]
- Chen, L.; Li, P.; Wen, Y. Enhanced magnetoelectric effects in laminate composites of Terfenol-D/Pb (Zr, TiO)3 with high-permeability FeCuNbSiB ribbon. Smart Mater. Struct. 2010, 19, 115003. [Google Scholar] [CrossRef]
- Wang, Y.; Hasanyan, D.; Li, J.; Viehland, D.; Luo, H. Shear-mode magnetostrictive/piezoelectric composite with an enhanced magnetoelectric coefficient. Appl. Phys. Lett. 2012, 100, 202903. [Google Scholar] [CrossRef]
- Ding, B.; Ma, T.; Hua, L.; Hu, J.; Zhang, M.; Du, J. Magnetoelectric effects in shear-mode magnetostrictive/piezoelectric composite with a Z-type structure. Mech. Adv. Mater. Struc. 2022, 1–8. [Google Scholar] [CrossRef]
- Bi, K.; Wang, Y.G.; Pan, D.A.; Wu, W. Large magnetoelectric effect in mechanically mediated structure of TbFe2, Pb(Zr,Ti)O3, and nonmagnetic flakes. Appl. Phys. Lett. 2011, 98, 133504. [Google Scholar] [CrossRef]
- Xu, Y.; Jiang, Z.S.; Wang, Q.; Xu, X.; Sun, D.; Zhou, J.; Yang, G. Three dimensional magnetostatic field calculation using equivalent magnetic charge method. IEEE Trans. Magn. 1991, 27, 5010–5012. [Google Scholar] [CrossRef]
- Zheng, X.J.; Liu, X.E. A nonlinear constitutive model for Terfenol-D rods. J. Appl. Phys. 2005, 97, 053901. [Google Scholar] [CrossRef]
- Virkar, A.V.; Huang, J.L.; Cutler, R.A. Strengthening of Oxide Ceramics by Transformation-Induced Stress. J. Am. Ceram. Soc. 1987, 70, 164–170. [Google Scholar] [CrossRef]
- Engdahl, G. Handbook of Giant Magnetostrictive Materials; Academic Press: San Diego, CA, USA, 2000; Chapter 2. [Google Scholar]
- Ikeda, T. Fundamentals of Piezoelectricity; Oxford University Press: Oxford, UK, 1990; pp. 38–39. [Google Scholar]
- Dong, S.; Li, J.F.; Viehland, D. Characterization of magnetoelectric laminate composites operated in longitudinal-transverse and transverse–transverse modes. J. Appl. Phys. 2004, 95, 2625–2630. [Google Scholar] [CrossRef]
- Dong, S.; Li, J.F.; Viehland, D. Longitudinal and transverse magnetoelectric voltage coefficients of magnetostrictive/piezoelectric laminate composite: Experiments. IEEE Trans. Ultrason. Ferroelectr. Freq. Control 2004, 51, 794–799. [Google Scholar] [CrossRef]
- Yang, F.; Wen, Y.M.; Li, P.; Zheng, M.; Bian, L.X. Resonant magnetoelectric response of magnetostrictive/piezoelectric laminate composite in consideration of losses. Sens. Actuators A Phys. 2008, 141, 129–135. [Google Scholar] [CrossRef]








Publisher’s Note: MDPI stays neutral with regard to jurisdictional claims in published maps and institutional affiliations. |
© 2022 by the author. Licensee MDPI, Basel, Switzerland. This article is an open access article distributed under the terms and conditions of the Creative Commons Attribution (CC BY) license (https://creativecommons.org/licenses/by/4.0/).
Share and Cite
He, W. A Shear-Mode Magnetoelectric Heterostructure with Enhanced Magnetoelectric Response for Stray Power-Frequency Magnetic Field Energy Harvesting. Micromachines 2022, 13, 1882. https://doi.org/10.3390/mi13111882
He W. A Shear-Mode Magnetoelectric Heterostructure with Enhanced Magnetoelectric Response for Stray Power-Frequency Magnetic Field Energy Harvesting. Micromachines. 2022; 13(11):1882. https://doi.org/10.3390/mi13111882
Chicago/Turabian StyleHe, Wei. 2022. "A Shear-Mode Magnetoelectric Heterostructure with Enhanced Magnetoelectric Response for Stray Power-Frequency Magnetic Field Energy Harvesting" Micromachines 13, no. 11: 1882. https://doi.org/10.3390/mi13111882
APA StyleHe, W. (2022). A Shear-Mode Magnetoelectric Heterostructure with Enhanced Magnetoelectric Response for Stray Power-Frequency Magnetic Field Energy Harvesting. Micromachines, 13(11), 1882. https://doi.org/10.3390/mi13111882

