An Inductorless Gain-Controllable Wideband LNA Based on CCCIIs
Abstract
1. Introduction
2. Operational Principle and Circuit Implementation
2.1. Current Conveyor Principle of Operation
2.2. The CCCII-Based LNA Principle of Operation
2.3. The CCCII-Based LNA Circuit Design
2.4. The Output Impedance Matching Design
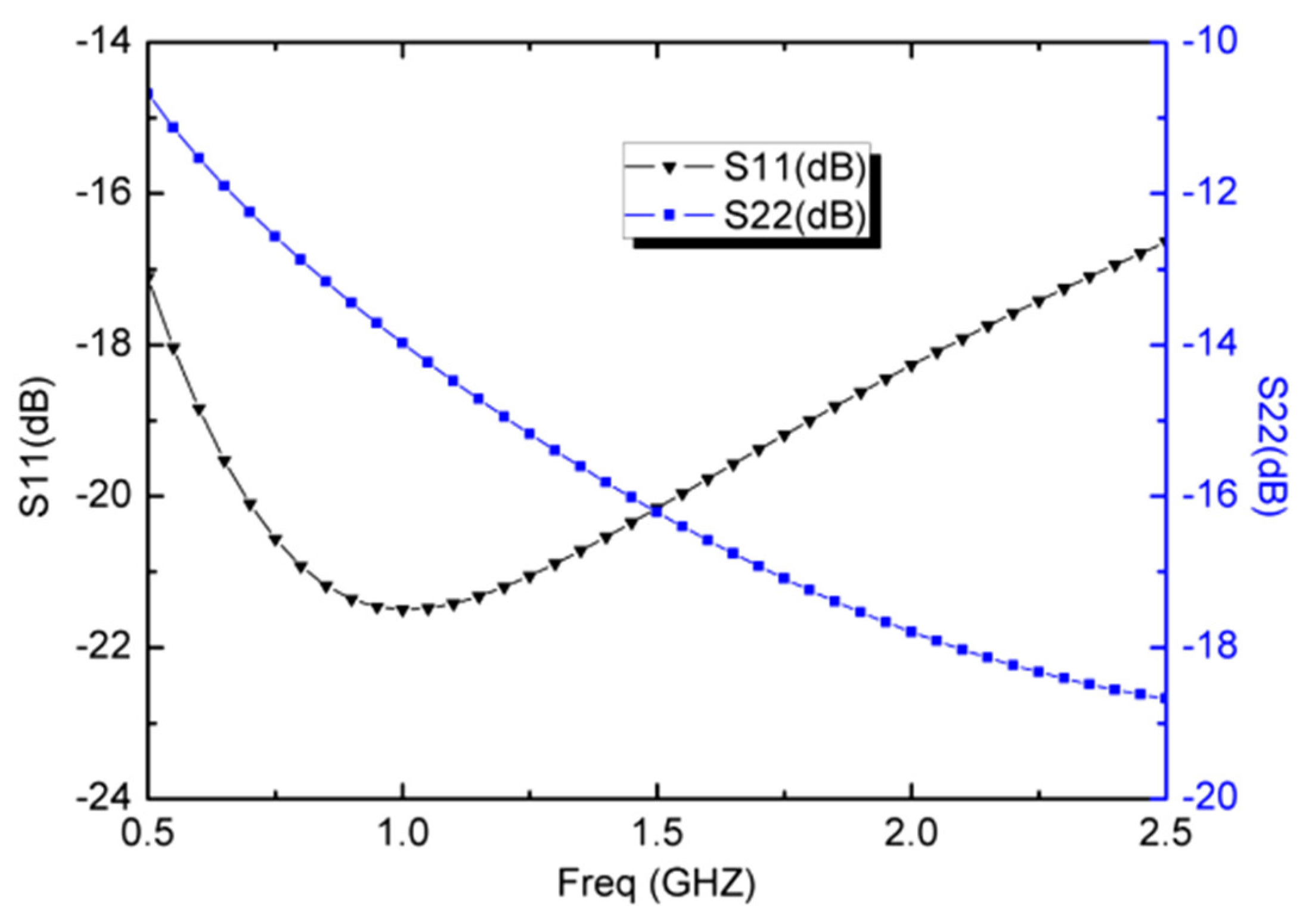
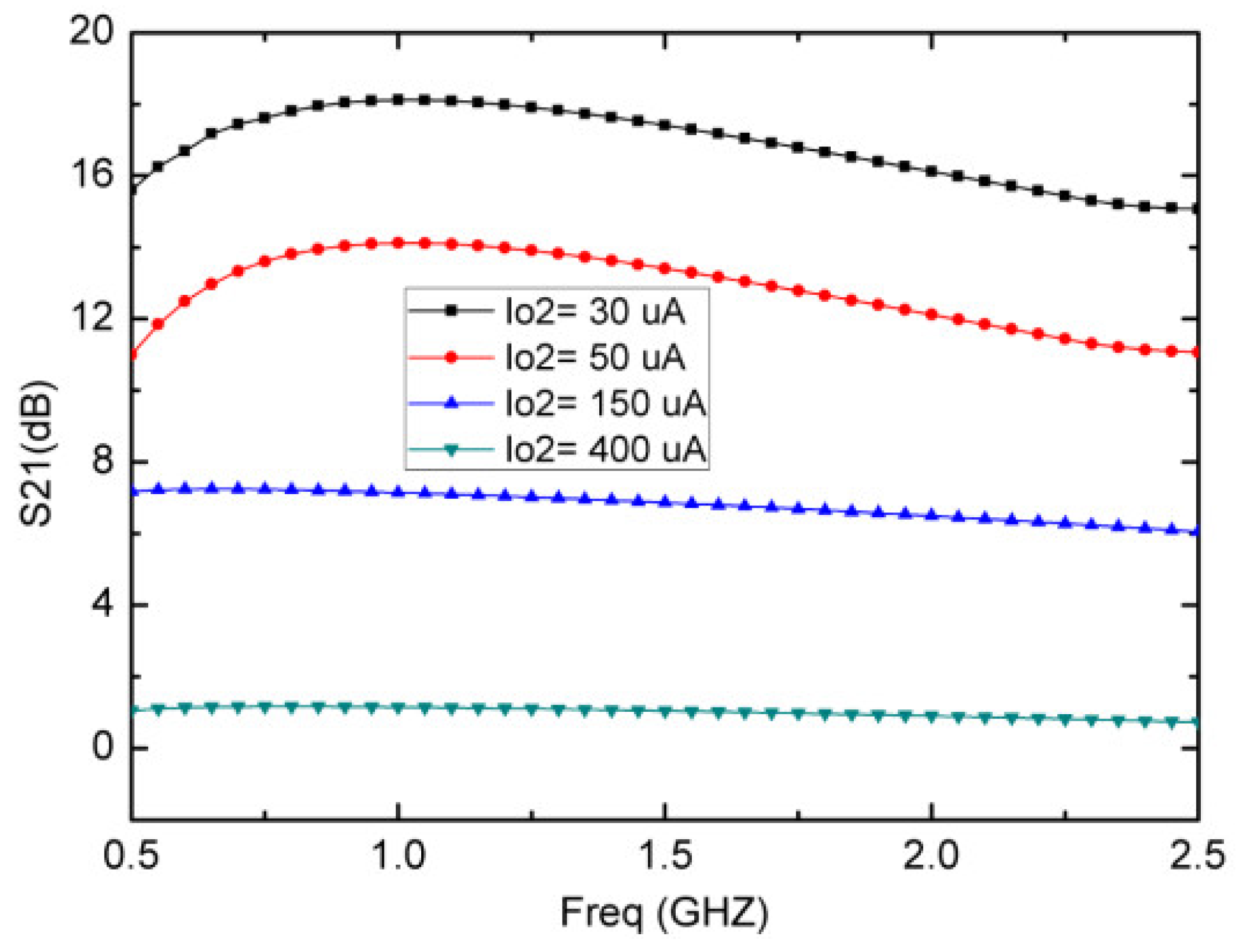
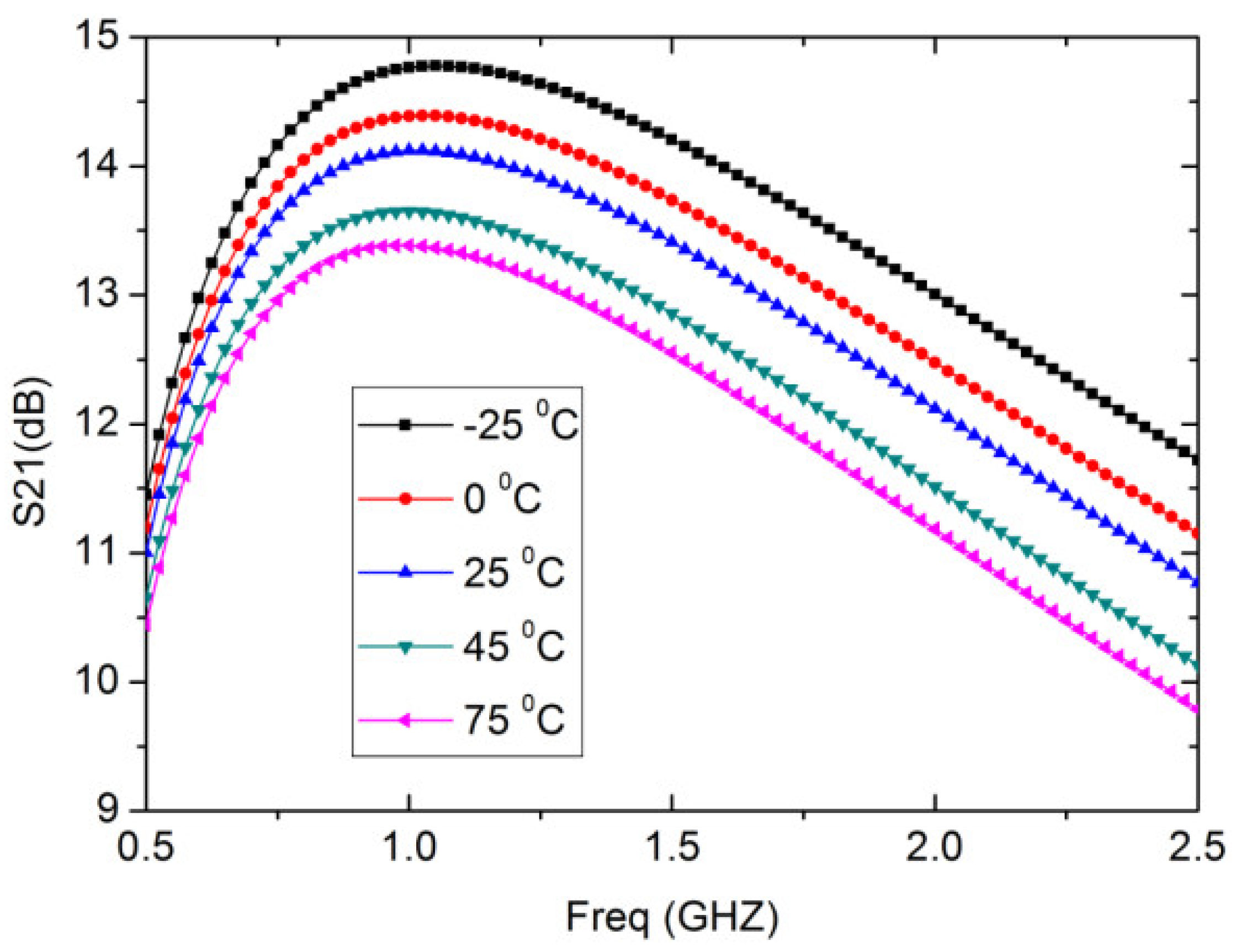
3. Simulation Results and Discussion
4. Conclusions
Author Contributions
Funding
Data Availability Statement
Acknowledgments
Conflicts of Interest
References
- Hussain, I.; Wu, K. Concurrent Dual-Band Heterodyne Interferometric Receiver for Multistandard and Multifunction Wireless Systems. IEEE Trans. Microw. Theory Tech. 2021, 69, 4995–5007. [Google Scholar] [CrossRef]
- Kanchetla, V.K.; Kharalkar, A.; Jain, S.; Khyalia, S.K.; Joy, J.; Jose, S.; Zele, R. A Compact, Reconfigurable CMOS RF Receiver for NavIC/GPS/Galileo/BeiDou. IEEE Trans. Microw. Theory Tech. 2022, 70, 3361–3373. [Google Scholar] [CrossRef]
- Wan, Q.Z.; Yan, Z.D.; Li, F.; Liu, J.; Chen, S.M. Multistable dynamics in a Hopfield neural network under electromagnetic radiation and dual bias currents. Nonlinear Dyn. 2022, 109, 2085–2101. [Google Scholar] [CrossRef]
- Wan, Q.Z.; Yan, Z.D.; Li, F.; Chen, S.M.; Liu, J. Complex dynamics in a Hopfield neural network under electromagnetic induction and electromagnetic radiation. Chaos 2022, 32, 073107. [Google Scholar] [CrossRef] [PubMed]
- Parvizi, M.; Allidina, K.; El-Gamal, M.N. An ultra-low-power wideband inductorless CMOS LNA with tunable active shunt-feedback. IEEE Trans. Microw. Theory Tech. 2016, 64, 1843–1853. [Google Scholar] [CrossRef]
- Mauludin, M.F.; Lee, D.-H.; Kim, J. A Wideband Low-Power Balun-LNA with Feedback and Current Reuse Technique. Electronics 2022, 11, 1372. [Google Scholar] [CrossRef]
- Akbar, F.; Atarodi, M.; Saeedi, S. Design method for a reconfigurable CMOS LNA with input tuning and active balun. AEU—Int. J. Electron. Commun. 2015, 69, 424–431. [Google Scholar] [CrossRef]
- Khurram, M.; Hasan, S.M.R. A 3–5 GHz current-reuse gm-boosted CG LNA for ultrawideband in 130 nm CMOS. IEEE Trans. Very Large Scale Integr. (VLSI) Syst. 2012, 20, 400–409. [Google Scholar] [CrossRef]
- Cen, M.C.; Song, S.X. A high gain, low-power low-noise amplifier for ultra-wideband wireless systems. Circuits Syst. Signal Process. 2014, 33, 3251–3262. [Google Scholar] [CrossRef]
- Ghadiri, A.; Moez, K. Gain-enhanced distributed amplifier using negative capacitance. IEEE Trans. Circuits Syst. I Regul. Pap. 2010, 57, 2834–2843. [Google Scholar] [CrossRef]
- Huang, J.-C.; Chen, P.; Kao, P.-C.; Wang, H. A novel distributed amplifier with high gain, low noise and high output power in 0.18-µm CMOS technology. IEEE Trans. Microw. Theory Tech. 2013, 61, 1533–1542. [Google Scholar]
- Saberkari, A.; Shirmohammadli, V.; Yagoub, M.C.E. A 3–6 GHz Current Reused Noise Canceling Low Noise Amplifier for WLAN and WPAN Applications. Wirel. Pers. Commun. 2016, 86, 1359–1376. [Google Scholar] [CrossRef]
- Atakan, A.; Deniz, T.; Okan, Z.B.; Gunhan, D. A 2.55-mW on-chip passive balun-LNA in 180-nm CMOS. Analog Integr. Circuits Signal Process. 2022, 111, 223–234. [Google Scholar]
- Chang, J.F.; Lin, Y.S. Complementary Current-Reused 3.7–11.9 GHz LNA Using Body-Floating and Self-Bias Technique for Sub-6 GHz 5G Communications. Circuits Syst. Signal Process. 2022, 41, 5968–5989. [Google Scholar] [CrossRef]
- Jin, T.H.; Han, H.G.; Kim, T.W. A 0.7-dB NF, +8.2-dBm IIP3 CMOS low noise amplifier using frequency selective feedback. Int. J. Circuit Theory Appl. 2016, 44, 21–37. [Google Scholar] [CrossRef]
- Koushick, M.; Sandhya, P.; Rabindranath, N. Electronically Tunable Dual-Input Integrator: Synthetic Immittance Function Realizability. IETE J. Res. 2017, 63, 713–718. [Google Scholar]
- Rana, C.; Prasad, D.; Afzal, N. High-performance programmable grounded resistor and its applications. Automatika 2018, 59, 71–77. [Google Scholar] [CrossRef]
- Godara, B.; Fabre, A. A highly compact active wideband balun with impedance transformation in SiGe BiCMOS. IEEE Trans. Microw. Theory Tech. 2008, 56, 22–30. [Google Scholar] [CrossRef]
- Arslan, E.; Morgül, A. Self-Biasing Current Conveyor for High Frequency Applications. J. Circuits Syst. Comput. 2012, 21, 1250039. [Google Scholar] [CrossRef]
- Abbas, Z.; Olivieri, M.; Yakupov, M.; Ripp, A. Design centering/yield optimization of power aware band pass filter based on CMOS current controlled current conveyor (CCCII+). Microelectron. J. 2013, 44, 321–331. [Google Scholar] [CrossRef]
- Seguin, F.; Godara, B.; Alicalapa, F.; Fabre, A. A gain-controllable wide-band low-noise amplifier in low-cost 0.8 um Si BiCMOS Technology. IEEE Trans. Microw. Theory Tech. 2004, 52, 154–160. [Google Scholar] [CrossRef]
- Jin, J.; Zhou, K.; Zhao, L. Designing RF Ring Oscillator Using Current-Mode Technology. IEEE Access 2017, 5, 5306–5312. [Google Scholar] [CrossRef]
- Seguin, F.; Fabre, A. 2 GHz controlled current conveyor in standard 0.8 μm BiCMOS technology. Electron. Lett. 2001, 37, 329–330. [Google Scholar] [CrossRef]
- Abidi, A.A.; Leete, J.C. De-embedding the noise figure of differential amplifiers. IEEE J. Solid-State Circuits 1999, 34, 882–885. [Google Scholar] [CrossRef]










| Specification | [6] S | [7] S | [8] M | [13] S | [14] M | This Work S |
|---|---|---|---|---|---|---|
| Technology | 65 nm CMOS | 0.18 μm CMOS | 0.13 μm CMOS | 0.18 μm CMOS | 0.18 μm CMOS | 0.18 μm CMOS |
| Frequency (GHz) | 0.5~5 | 2.3~4.8 | 3.1~4.8 | 2~3.3 | 3.7~11.9 | 0.5~2.5 |
| Input return loss S11 (dB) | <−10 | <−10 | <−8.4 | <−10 | <−8.5 | <−16.6 |
| Output return loss S22 (dB) | <−10 | -- | <−14 | -- | <−10 | <−10.6 |
| Voltage gain maximum (dB) | 13 | 24 | 13 | 16.8 | 8.1 | 14.1 |
| Reverse isolation S12 (dB) | -- | -- | <−40 | -- | <−30.3 | <−39.5 |
| NF (dB) | 4~4.5 | 2.8–3.7 | 3.5~4.5 | 5.55~6 | 3.02~3.86 | 4.05~4.35 |
| IIP3 (dBm) | −10 | −3.2 | −6.1 | 0.5 | −1.3 | −2.5 |
| Power dissipation (mW) | 5.0 # | 13.1 | 3.4 | 2.55 # | 7.3 | 12.0 |
| Die size (mm2) | 0.173 | 0.34 | 0.40 | 0.283 | 0.34 | 0.096 |
Publisher’s Note: MDPI stays neutral with regard to jurisdictional claims in published maps and institutional affiliations. |
© 2022 by the authors. Licensee MDPI, Basel, Switzerland. This article is an open access article distributed under the terms and conditions of the Creative Commons Attribution (CC BY) license (https://creativecommons.org/licenses/by/4.0/).
Share and Cite
Wan, Q.; Liu, J.; Chen, S. An Inductorless Gain-Controllable Wideband LNA Based on CCCIIs. Micromachines 2022, 13, 1832. https://doi.org/10.3390/mi13111832
Wan Q, Liu J, Chen S. An Inductorless Gain-Controllable Wideband LNA Based on CCCIIs. Micromachines. 2022; 13(11):1832. https://doi.org/10.3390/mi13111832
Chicago/Turabian StyleWan, Qiuzhen, Jiong Liu, and Simiao Chen. 2022. "An Inductorless Gain-Controllable Wideband LNA Based on CCCIIs" Micromachines 13, no. 11: 1832. https://doi.org/10.3390/mi13111832
APA StyleWan, Q., Liu, J., & Chen, S. (2022). An Inductorless Gain-Controllable Wideband LNA Based on CCCIIs. Micromachines, 13(11), 1832. https://doi.org/10.3390/mi13111832

